皮质类固醇对 Covid-19 后嗅觉丧失的影响:一项 Meta 分析。

Q3 Medicine
Mona Kabiri, Maryam Emadzadeh
{"title":"皮质类固醇对 Covid-19 后嗅觉丧失的影响:一项 Meta 分析。","authors":"Mona Kabiri, Maryam Emadzadeh","doi":"10.22038/IJORL.2023.72451.3456","DOIUrl":null,"url":null,"abstract":"<p><strong>Introduction: </strong>The rate of olfactory loss related to COVID-19 was reported between 4-89 percent. There is no approved treatment for patients who experience anosmia after the mentioned infection. This systematic review aimed to assess the therapeutic effects of corticosteroids on anosmia in COVID-19 patients.</p><p><strong>Materials and methods: </strong>Databases including PubMed, ISI Web of Sciences, Scopus, and Cochrane Library. Databases were searched up to September 2022 to find out randomized controlled trials that assessed the effect of corticosteroids on post-COVID anosmia/hyposmia. Only studies published in the English language were entered in this review.</p><p><strong>Results: </strong>Among the six relevant trials with a total population of 712, one study administered the combination therapy of both systemic and nasal corticosteroids, while others used intranasal corticosteroids. No significant difference was observed between the intervention (IG) and control (CG) groups in terms of duration of improvement from anosmia (mean difference:-1.799). The pooled effect of self-rating olfactory scores was assessed at 2 weeks and at the end point of the studies which revealed no significant effect in favor of the IG (pooled effect in 2 weeks: 0.739; in the endpoint: 1.32). The objective evaluation with different tools indicated that IG obtained higher scores at the endpoint of treatment. The pooled results showed that the number of patients who recovered from anosmia is higher in IG compared to CG (Odds Ratio: 1.719).</p><p><strong>Conclusion: </strong>It appears that the duration of corticosteroid therapy more than two weeks may be a considerable effect on the recovery of smell dysfunction in COVID-19 patients.</p>","PeriodicalId":14607,"journal":{"name":"Iranian Journal of Otorhinolaryngology","volume":"35 130","pages":"235-246"},"PeriodicalIF":0.0000,"publicationDate":"2023-09-01","publicationTypes":"Journal Article","fieldsOfStudy":null,"isOpenAccess":false,"openAccessPdf":"https://www.ncbi.nlm.nih.gov/pmc/articles/PMC10712548/pdf/","citationCount":"0","resultStr":"{\"title\":\"The Effect of Corticosteroids on Post-Covid-19 Smell Loss: A Meta-Analysis.\",\"authors\":\"Mona Kabiri, Maryam Emadzadeh\",\"doi\":\"10.22038/IJORL.2023.72451.3456\",\"DOIUrl\":null,\"url\":null,\"abstract\":\"<p><strong>Introduction: </strong>The rate of olfactory loss related to COVID-19 was reported between 4-89 percent. There is no approved treatment for patients who experience anosmia after the mentioned infection. This systematic review aimed to assess the therapeutic effects of corticosteroids on anosmia in COVID-19 patients.</p><p><strong>Materials and methods: </strong>Databases including PubMed, ISI Web of Sciences, Scopus, and Cochrane Library. Databases were searched up to September 2022 to find out randomized controlled trials that assessed the effect of corticosteroids on post-COVID anosmia/hyposmia. Only studies published in the English language were entered in this review.</p><p><strong>Results: </strong>Among the six relevant trials with a total population of 712, one study administered the combination therapy of both systemic and nasal corticosteroids, while others used intranasal corticosteroids. No significant difference was observed between the intervention (IG) and control (CG) groups in terms of duration of improvement from anosmia (mean difference:-1.799). The pooled effect of self-rating olfactory scores was assessed at 2 weeks and at the end point of the studies which revealed no significant effect in favor of the IG (pooled effect in 2 weeks: 0.739; in the endpoint: 1.32). The objective evaluation with different tools indicated that IG obtained higher scores at the endpoint of treatment. The pooled results showed that the number of patients who recovered from anosmia is higher in IG compared to CG (Odds Ratio: 1.719).</p><p><strong>Conclusion: </strong>It appears that the duration of corticosteroid therapy more than two weeks may be a considerable effect on the recovery of smell dysfunction in COVID-19 patients.</p>\",\"PeriodicalId\":14607,\"journal\":{\"name\":\"Iranian Journal of Otorhinolaryngology\",\"volume\":\"35 130\",\"pages\":\"235-246\"},\"PeriodicalIF\":0.0000,\"publicationDate\":\"2023-09-01\",\"publicationTypes\":\"Journal Article\",\"fieldsOfStudy\":null,\"isOpenAccess\":false,\"openAccessPdf\":\"https://www.ncbi.nlm.nih.gov/pmc/articles/PMC10712548/pdf/\",\"citationCount\":\"0\",\"resultStr\":null,\"platform\":\"Semanticscholar\",\"paperid\":null,\"PeriodicalName\":\"Iranian Journal of Otorhinolaryngology\",\"FirstCategoryId\":\"1085\",\"ListUrlMain\":\"https://doi.org/10.22038/IJORL.2023.72451.3456\",\"RegionNum\":0,\"RegionCategory\":null,\"ArticlePicture\":[],\"TitleCN\":null,\"AbstractTextCN\":null,\"PMCID\":null,\"EPubDate\":\"\",\"PubModel\":\"\",\"JCR\":\"Q3\",\"JCRName\":\"Medicine\",\"Score\":null,\"Total\":0}","platform":"Semanticscholar","paperid":null,"PeriodicalName":"Iranian Journal of Otorhinolaryngology","FirstCategoryId":"1085","ListUrlMain":"https://doi.org/10.22038/IJORL.2023.72451.3456","RegionNum":0,"RegionCategory":null,"ArticlePicture":[],"TitleCN":null,"AbstractTextCN":null,"PMCID":null,"EPubDate":"","PubModel":"","JCR":"Q3","JCRName":"Medicine","Score":null,"Total":0}
引用次数: 0

摘要

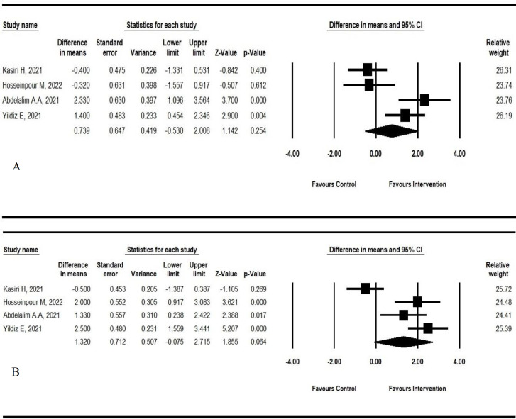
介绍:据报道,与 COVID-19 相关的嗅觉丧失率为 4%-89%。对于感染上述疾病后出现嗅觉缺失的患者,目前还没有获得批准的治疗方法。本系统综述旨在评估皮质类固醇对 COVID-19 患者嗅觉缺失的治疗效果:数据库包括 PubMed、ISI Web of Sciences、Scopus 和 Cochrane Library。对截至 2022 年 9 月的数据库进行了检索,以找出评估皮质类固醇对 COVID 后无嗅症/嗜嗅症影响的随机对照试验。本综述只收录了以英语发表的研究:在总人数为 712 人的六项相关试验中,一项研究采用了全身和鼻腔皮质类固醇联合疗法,而其他研究则使用了鼻内皮质类固醇。干预组(IG)和对照组(CG)在改善无嗅症状的持续时间上没有明显差异(平均差异:-1.799)。在 2 周和研究终点时,对自我嗅觉评分的综合效果进行了评估,结果显示 IG 的效果并不明显(2 周的综合效果:0.739;终点的综合效果:1.32)。使用不同工具进行的客观评估表明,IG 在治疗终点获得的分数更高。汇总结果显示,与 CG 相比,IG 中从嗅觉障碍中康复的患者人数更多(Odds Ratio:1.719):结论:皮质类固醇治疗时间超过两周似乎对 COVID-19 患者嗅觉功能障碍的恢复有相当大的影响。
本文章由计算机程序翻译,如有差异,请以英文原文为准。

The Effect of Corticosteroids on Post-Covid-19 Smell Loss: A Meta-Analysis.

The Effect of Corticosteroids on Post-Covid-19 Smell Loss: A Meta-Analysis.

The Effect of Corticosteroids on Post-Covid-19 Smell Loss: A Meta-Analysis.

The Effect of Corticosteroids on Post-Covid-19 Smell Loss: A Meta-Analysis.

Introduction: The rate of olfactory loss related to COVID-19 was reported between 4-89 percent. There is no approved treatment for patients who experience anosmia after the mentioned infection. This systematic review aimed to assess the therapeutic effects of corticosteroids on anosmia in COVID-19 patients.

Materials and methods: Databases including PubMed, ISI Web of Sciences, Scopus, and Cochrane Library. Databases were searched up to September 2022 to find out randomized controlled trials that assessed the effect of corticosteroids on post-COVID anosmia/hyposmia. Only studies published in the English language were entered in this review.

Results: Among the six relevant trials with a total population of 712, one study administered the combination therapy of both systemic and nasal corticosteroids, while others used intranasal corticosteroids. No significant difference was observed between the intervention (IG) and control (CG) groups in terms of duration of improvement from anosmia (mean difference:-1.799). The pooled effect of self-rating olfactory scores was assessed at 2 weeks and at the end point of the studies which revealed no significant effect in favor of the IG (pooled effect in 2 weeks: 0.739; in the endpoint: 1.32). The objective evaluation with different tools indicated that IG obtained higher scores at the endpoint of treatment. The pooled results showed that the number of patients who recovered from anosmia is higher in IG compared to CG (Odds Ratio: 1.719).

Conclusion: It appears that the duration of corticosteroid therapy more than two weeks may be a considerable effect on the recovery of smell dysfunction in COVID-19 patients.

求助全文
通过发布文献求助,成功后即可免费获取论文全文。 去求助
来源期刊
Iranian Journal of Otorhinolaryngology
Iranian Journal of Otorhinolaryngology Medicine-Otorhinolaryngology
CiteScore
1.30
自引率
0.00%
发文量
72
审稿时长
12 weeks
×
引用
GB/T 7714-2015
复制
MLA
复制
APA
复制
导出至
BibTeX EndNote RefMan NoteFirst NoteExpress
×
提示
您的信息不完整,为了账户安全,请先补充。
现在去补充
×
提示
您因"违规操作"
具体请查看互助需知
我知道了
×
提示
确定
请完成安全验证×
copy
已复制链接
快去分享给好友吧!
我知道了
右上角分享
点击右上角分享
0
联系我们:info@booksci.cn Book学术提供免费学术资源搜索服务,方便国内外学者检索中英文文献。致力于提供最便捷和优质的服务体验。 Copyright © 2023 布克学术 All rights reserved.
京ICP备2023020795号-1
ghs 京公网安备 11010802042870号
Book学术文献互助
Book学术文献互助群
群 号:604180095
Book学术官方微信