通过调节非水力根系信号和抗氧化防御,叶面喷施绞股蓝内酯可提高旱地小麦的干燥耐受性、谷物产量和水分利用效率。

IF 5.8
Sha Guo, Xiaofei Wei, Baoluo Ma, Yongqing Ma, Zihan Yu, Pufang Li
{"title":"通过调节非水力根系信号和抗氧化防御,叶面喷施绞股蓝内酯可提高旱地小麦的干燥耐受性、谷物产量和水分利用效率。","authors":"Sha Guo, Xiaofei Wei, Baoluo Ma, Yongqing Ma, Zihan Yu, Pufang Li","doi":"10.1007/s44154-023-00127-9","DOIUrl":null,"url":null,"abstract":"<p><p>Non-hydraulic root signals (nHRS) are affirmed as a unique positive response to soil drying, and play a crucial role in regulating water use efficiency and yield formation in dryland wheat production. Strigolactones (SLs) can enhance plant drought adaptability. However, the question of whether strigolactones enhance grain yield and water use efficiency by regulating nHRS and antioxidant defense systems in dryland wheat remains unanswered. In this study, pot experiments were conducted to investigate the effects of strigolactones on nHRS, antioxidant defense system, and grain yield and water use efficiency in dryland wheat. The results showed that external application of SLs increased drought-induced abscisic acid (ABA) accumulation and activated an earlier trigger of nHRS at 73.4% field capacity (FC), compared to 68.5% FC in the control group (CK). This phenomenon was mechanically associated with the physiological mediation of SLs. The application of SLs significantly enhanced the activities of leaf antioxidant enzymes, reduced ROS production, and mitigated oxidative damage to lipid membrane. Additionally, root biomass, root length density, and root to shoot ratio were increased under strigolactone treatment. Furthermore, exogenous application of SLs significantly increased grain yield by 34.9% under moderate drought stress. Water use efficiency was also increased by 21.5% and 33.3% under moderate and severe drought conditions respectively, compared to the control group (CK). The results suggested that the application of strigolactones triggered earlier drought-sensing mechanism and improved the antioxidant defense ability, thus enhancing grain yield and water use efficiency in dryland wheat production.</p>","PeriodicalId":74874,"journal":{"name":"Stress biology","volume":"3 1","pages":"54"},"PeriodicalIF":5.8000,"publicationDate":"2023-12-06","publicationTypes":"Journal Article","fieldsOfStudy":null,"isOpenAccess":false,"openAccessPdf":"https://www.ncbi.nlm.nih.gov/pmc/articles/PMC10700292/pdf/","citationCount":"0","resultStr":"{\"title\":\"Foliar application of strigolactones improves the desiccation tolerance, grain yield and water use efficiency in dryland wheat through modulation of non-hydraulic root signals and antioxidant defense.\",\"authors\":\"Sha Guo, Xiaofei Wei, Baoluo Ma, Yongqing Ma, Zihan Yu, Pufang Li\",\"doi\":\"10.1007/s44154-023-00127-9\",\"DOIUrl\":null,\"url\":null,\"abstract\":\"<p><p>Non-hydraulic root signals (nHRS) are affirmed as a unique positive response to soil drying, and play a crucial role in regulating water use efficiency and yield formation in dryland wheat production. Strigolactones (SLs) can enhance plant drought adaptability. However, the question of whether strigolactones enhance grain yield and water use efficiency by regulating nHRS and antioxidant defense systems in dryland wheat remains unanswered. In this study, pot experiments were conducted to investigate the effects of strigolactones on nHRS, antioxidant defense system, and grain yield and water use efficiency in dryland wheat. The results showed that external application of SLs increased drought-induced abscisic acid (ABA) accumulation and activated an earlier trigger of nHRS at 73.4% field capacity (FC), compared to 68.5% FC in the control group (CK). This phenomenon was mechanically associated with the physiological mediation of SLs. The application of SLs significantly enhanced the activities of leaf antioxidant enzymes, reduced ROS production, and mitigated oxidative damage to lipid membrane. Additionally, root biomass, root length density, and root to shoot ratio were increased under strigolactone treatment. Furthermore, exogenous application of SLs significantly increased grain yield by 34.9% under moderate drought stress. Water use efficiency was also increased by 21.5% and 33.3% under moderate and severe drought conditions respectively, compared to the control group (CK). The results suggested that the application of strigolactones triggered earlier drought-sensing mechanism and improved the antioxidant defense ability, thus enhancing grain yield and water use efficiency in dryland wheat production.</p>\",\"PeriodicalId\":74874,\"journal\":{\"name\":\"Stress biology\",\"volume\":\"3 1\",\"pages\":\"54\"},\"PeriodicalIF\":5.8000,\"publicationDate\":\"2023-12-06\",\"publicationTypes\":\"Journal Article\",\"fieldsOfStudy\":null,\"isOpenAccess\":false,\"openAccessPdf\":\"https://www.ncbi.nlm.nih.gov/pmc/articles/PMC10700292/pdf/\",\"citationCount\":\"0\",\"resultStr\":null,\"platform\":\"Semanticscholar\",\"paperid\":null,\"PeriodicalName\":\"Stress biology\",\"FirstCategoryId\":\"1085\",\"ListUrlMain\":\"https://doi.org/10.1007/s44154-023-00127-9\",\"RegionNum\":0,\"RegionCategory\":null,\"ArticlePicture\":[],\"TitleCN\":null,\"AbstractTextCN\":null,\"PMCID\":null,\"EPubDate\":\"\",\"PubModel\":\"\",\"JCR\":\"\",\"JCRName\":\"\",\"Score\":null,\"Total\":0}","platform":"Semanticscholar","paperid":null,"PeriodicalName":"Stress biology","FirstCategoryId":"1085","ListUrlMain":"https://doi.org/10.1007/s44154-023-00127-9","RegionNum":0,"RegionCategory":null,"ArticlePicture":[],"TitleCN":null,"AbstractTextCN":null,"PMCID":null,"EPubDate":"","PubModel":"","JCR":"","JCRName":"","Score":null,"Total":0}
引用次数: 0

摘要

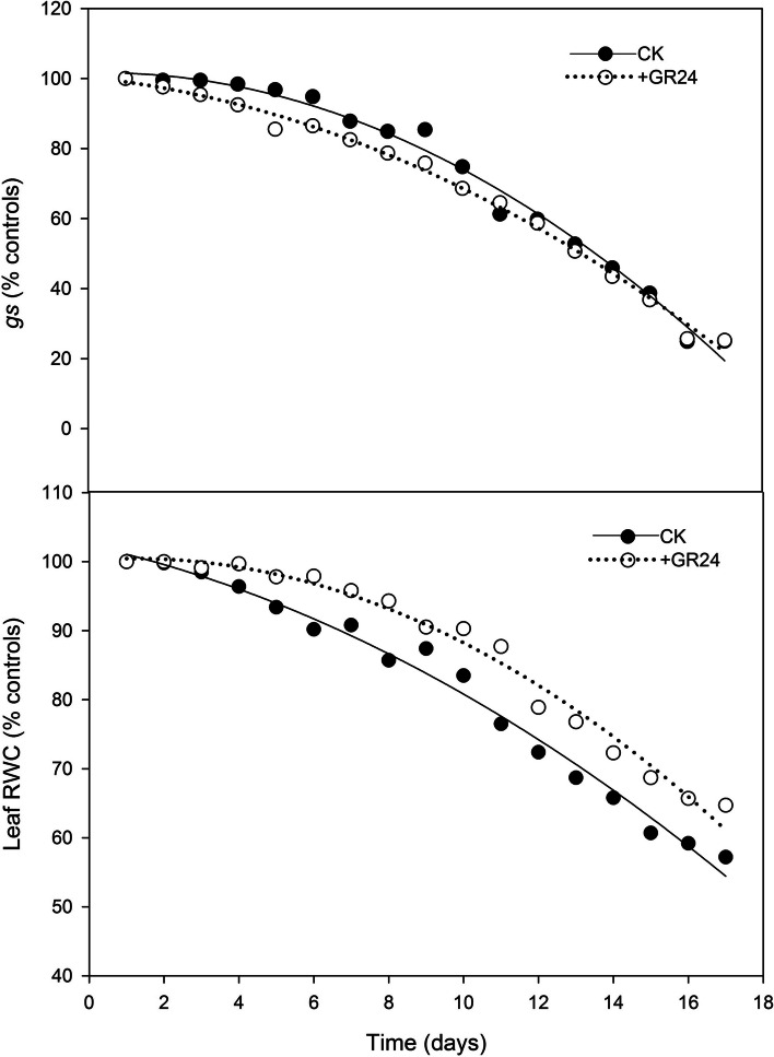
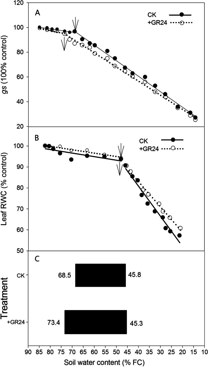
非水力根信号(nHRS)被认为是对土壤干燥的一种独特的积极反应,在调节旱地小麦生产的水分利用效率和产量形成方面发挥着至关重要的作用。绞股蓝内酯(SLs)可以提高植物对干旱的适应能力。然而,绞股蓝内酯是否能通过调节旱地小麦的nHRS和抗氧化防御系统来提高谷物产量和水分利用效率这一问题仍未得到解答。本研究通过盆栽实验研究了绞股蓝内酯对旱地小麦nHRS、抗氧化防御系统以及谷物产量和水分利用效率的影响。结果表明,与对照组(CK)的68.5%田间能力(FC)相比,外施SLs增加了干旱诱导的脱落酸(ABA)积累,并提前激活了nHRS的触发,田间能力(FC)为73.4%。这一现象与SLs的生理调解作用有关。施用 SLs 能明显提高叶片抗氧化酶的活性,减少 ROS 的产生,减轻脂膜的氧化损伤。此外,在绞股蓝内酯处理下,根的生物量、根长密度和根芽比都有所增加。此外,在中度干旱胁迫下,外源施用 SLs 能使谷物产量显著提高 34.9%。在中度和重度干旱条件下,与对照组(CK)相比,水分利用效率也分别提高了 21.5%和 33.3%。结果表明,施用绞股蓝内酯可提前触发干旱感应机制,提高抗氧化防御能力,从而提高旱地小麦的产量和水分利用效率。
本文章由计算机程序翻译,如有差异,请以英文原文为准。

Foliar application of strigolactones improves the desiccation tolerance, grain yield and water use efficiency in dryland wheat through modulation of non-hydraulic root signals and antioxidant defense.

Foliar application of strigolactones improves the desiccation tolerance, grain yield and water use efficiency in dryland wheat through modulation of non-hydraulic root signals and antioxidant defense.

Foliar application of strigolactones improves the desiccation tolerance, grain yield and water use efficiency in dryland wheat through modulation of non-hydraulic root signals and antioxidant defense.

Foliar application of strigolactones improves the desiccation tolerance, grain yield and water use efficiency in dryland wheat through modulation of non-hydraulic root signals and antioxidant defense.

Non-hydraulic root signals (nHRS) are affirmed as a unique positive response to soil drying, and play a crucial role in regulating water use efficiency and yield formation in dryland wheat production. Strigolactones (SLs) can enhance plant drought adaptability. However, the question of whether strigolactones enhance grain yield and water use efficiency by regulating nHRS and antioxidant defense systems in dryland wheat remains unanswered. In this study, pot experiments were conducted to investigate the effects of strigolactones on nHRS, antioxidant defense system, and grain yield and water use efficiency in dryland wheat. The results showed that external application of SLs increased drought-induced abscisic acid (ABA) accumulation and activated an earlier trigger of nHRS at 73.4% field capacity (FC), compared to 68.5% FC in the control group (CK). This phenomenon was mechanically associated with the physiological mediation of SLs. The application of SLs significantly enhanced the activities of leaf antioxidant enzymes, reduced ROS production, and mitigated oxidative damage to lipid membrane. Additionally, root biomass, root length density, and root to shoot ratio were increased under strigolactone treatment. Furthermore, exogenous application of SLs significantly increased grain yield by 34.9% under moderate drought stress. Water use efficiency was also increased by 21.5% and 33.3% under moderate and severe drought conditions respectively, compared to the control group (CK). The results suggested that the application of strigolactones triggered earlier drought-sensing mechanism and improved the antioxidant defense ability, thus enhancing grain yield and water use efficiency in dryland wheat production.

求助全文
通过发布文献求助,成功后即可免费获取论文全文。 去求助
来源期刊
CiteScore
3.10
自引率
0.00%
发文量
0
×
引用
GB/T 7714-2015
复制
MLA
复制
APA
复制
导出至
BibTeX EndNote RefMan NoteFirst NoteExpress
×
提示
您的信息不完整,为了账户安全,请先补充。
现在去补充
×
提示
您因"违规操作"
具体请查看互助需知
我知道了
×
提示
确定
请完成安全验证×
copy
已复制链接
快去分享给好友吧!
我知道了
右上角分享
点击右上角分享
0
联系我们:info@booksci.cn Book学术提供免费学术资源搜索服务,方便国内外学者检索中英文文献。致力于提供最便捷和优质的服务体验。 Copyright © 2023 布克学术 All rights reserved.
京ICP备2023020795号-1
ghs 京公网安备 11010802042870号
Book学术文献互助
Book学术文献互助群
群 号:604180095
Book学术官方微信