三聚氰胺加剧了d -半乳糖诱导的神经元SH-SY5Y细胞的神经毒性。

IF 2.1 Q4 GERIATRICS & GERONTOLOGY
Journal of Aging Research Pub Date : 2023-11-23 eCollection Date: 2023-01-01 DOI:10.1155/2023/6635370
Juhi Goyal, Preet Jain, Vivek Jain, Dibyajyoti Banerjee, Rajasri Bhattacharyya, Sharmistha Dey, Rambabu Sharma, Nitish Rai
{"title":"三聚氰胺加剧了d -半乳糖诱导的神经元SH-SY5Y细胞的神经毒性。","authors":"Juhi Goyal, Preet Jain, Vivek Jain, Dibyajyoti Banerjee, Rajasri Bhattacharyya, Sharmistha Dey, Rambabu Sharma, Nitish Rai","doi":"10.1155/2023/6635370","DOIUrl":null,"url":null,"abstract":"<p><p>Numerous studies have depicted the role of diet and environmental toxins in aging. Melamine (Mel) is a globally known notorious food adulterant, and its toxicity has been shown in several organs including the brain. However, till now, there are no reports regarding Mel neurotoxicity in aging neurons. So, this study examined the <i>in vitro</i> neurotoxicity caused by Mel in the D-galactose (DG)-induced aging model of neuronal SH-SY5Y cells. In the present study, the neuronal SH-SY5Y cells were treated with DG and Mel separately and in combination to assess the neurotoxicity potential using MTT assay and neurite length measurement. Further, the superoxide dismutase (SOD), catalase (CAT), and total antioxidant activities were evaluated followed by the determination of the intracellular reactive oxygen species (ROS), mitochondrial membrane potential (MMP), and caspase3 (Casp3) activity. The cotreatment of Mel and DG in neuronal SH-SY5Y cells showed maximum cell death than the cells treated with DG or Mel individually and untreated control cells. The neurite length shrinkage and ROS production were maximum in the DG and Mel cotreated cells showing exacerbated toxicity of Mel. The activity of SOD, CAT, and total antioxidants was also found to be lowered in the cotreatment group (Mel + DG) than in Mel- or DG-treated and untreated cells. Further, the combined toxicity of Mel and DG also elevated the Casp3 activity more than any other group. This is the first study showing the increased neurotoxic potential of Mel in an aging model of neuronal SH-SY5Y cells which implicates that Mel consumption by the elderly may lead to increased incidences of neurodegeneration like Alzheimer's disease and Parkinson's disease.</p>","PeriodicalId":14933,"journal":{"name":"Journal of Aging Research","volume":"2023 ","pages":"6635370"},"PeriodicalIF":2.1000,"publicationDate":"2023-11-23","publicationTypes":"Journal Article","fieldsOfStudy":null,"isOpenAccess":false,"openAccessPdf":"https://www.ncbi.nlm.nih.gov/pmc/articles/PMC10689074/pdf/","citationCount":"0","resultStr":"{\"title\":\"Melamine Exacerbates Neurotoxicity in D-Galactose-Induced Neuronal SH-SY5Y Cells.\",\"authors\":\"Juhi Goyal, Preet Jain, Vivek Jain, Dibyajyoti Banerjee, Rajasri Bhattacharyya, Sharmistha Dey, Rambabu Sharma, Nitish Rai\",\"doi\":\"10.1155/2023/6635370\",\"DOIUrl\":null,\"url\":null,\"abstract\":\"<p><p>Numerous studies have depicted the role of diet and environmental toxins in aging. Melamine (Mel) is a globally known notorious food adulterant, and its toxicity has been shown in several organs including the brain. However, till now, there are no reports regarding Mel neurotoxicity in aging neurons. So, this study examined the <i>in vitro</i> neurotoxicity caused by Mel in the D-galactose (DG)-induced aging model of neuronal SH-SY5Y cells. In the present study, the neuronal SH-SY5Y cells were treated with DG and Mel separately and in combination to assess the neurotoxicity potential using MTT assay and neurite length measurement. Further, the superoxide dismutase (SOD), catalase (CAT), and total antioxidant activities were evaluated followed by the determination of the intracellular reactive oxygen species (ROS), mitochondrial membrane potential (MMP), and caspase3 (Casp3) activity. The cotreatment of Mel and DG in neuronal SH-SY5Y cells showed maximum cell death than the cells treated with DG or Mel individually and untreated control cells. The neurite length shrinkage and ROS production were maximum in the DG and Mel cotreated cells showing exacerbated toxicity of Mel. The activity of SOD, CAT, and total antioxidants was also found to be lowered in the cotreatment group (Mel + DG) than in Mel- or DG-treated and untreated cells. Further, the combined toxicity of Mel and DG also elevated the Casp3 activity more than any other group. This is the first study showing the increased neurotoxic potential of Mel in an aging model of neuronal SH-SY5Y cells which implicates that Mel consumption by the elderly may lead to increased incidences of neurodegeneration like Alzheimer's disease and Parkinson's disease.</p>\",\"PeriodicalId\":14933,\"journal\":{\"name\":\"Journal of Aging Research\",\"volume\":\"2023 \",\"pages\":\"6635370\"},\"PeriodicalIF\":2.1000,\"publicationDate\":\"2023-11-23\",\"publicationTypes\":\"Journal Article\",\"fieldsOfStudy\":null,\"isOpenAccess\":false,\"openAccessPdf\":\"https://www.ncbi.nlm.nih.gov/pmc/articles/PMC10689074/pdf/\",\"citationCount\":\"0\",\"resultStr\":null,\"platform\":\"Semanticscholar\",\"paperid\":null,\"PeriodicalName\":\"Journal of Aging Research\",\"FirstCategoryId\":\"1085\",\"ListUrlMain\":\"https://doi.org/10.1155/2023/6635370\",\"RegionNum\":0,\"RegionCategory\":null,\"ArticlePicture\":[],\"TitleCN\":null,\"AbstractTextCN\":null,\"PMCID\":null,\"EPubDate\":\"2023/1/1 0:00:00\",\"PubModel\":\"eCollection\",\"JCR\":\"Q4\",\"JCRName\":\"GERIATRICS & GERONTOLOGY\",\"Score\":null,\"Total\":0}","platform":"Semanticscholar","paperid":null,"PeriodicalName":"Journal of Aging Research","FirstCategoryId":"1085","ListUrlMain":"https://doi.org/10.1155/2023/6635370","RegionNum":0,"RegionCategory":null,"ArticlePicture":[],"TitleCN":null,"AbstractTextCN":null,"PMCID":null,"EPubDate":"2023/1/1 0:00:00","PubModel":"eCollection","JCR":"Q4","JCRName":"GERIATRICS & GERONTOLOGY","Score":null,"Total":0}
引用次数: 0

摘要

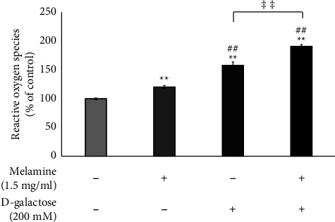
许多研究都描述了饮食和环境毒素在衰老中的作用。三聚氰胺(Mel)是一种全球闻名的臭名昭著的食品掺假,其毒性已在包括大脑在内的几个器官中显示出来。然而,到目前为止,还没有关于Mel对衰老神经元神经毒性的报道。因此,本研究在d -半乳糖(DG)诱导的神经元SH-SY5Y细胞衰老模型中检测Mel的体外神经毒性。本研究分别用DG和Mel处理神经元SH-SY5Y细胞,并用MTT法和神经突长度测定法评估其神经毒性潜能。进一步,测定细胞内活性氧(ROS)、线粒体膜电位(MMP)和caspase3 (Casp3)活性,评估超氧化物歧化酶(SOD)、过氧化氢酶(CAT)和总抗氧化活性。在SH-SY5Y神经元细胞中,Mel和DG共处理的细胞死亡率高于单独使用DG或Mel处理的细胞和未处理的对照细胞。在DG和Mel共处理的细胞中,神经突长度收缩和ROS产生最大,表明Mel的毒性加剧。与Mel或DG处理和未处理的细胞相比,Mel + DG共处理组的SOD、CAT和总抗氧化剂活性也降低。此外,Mel和DG的联合毒性也比其他任何组更能提高Casp3的活性。这是第一个在神经元SH-SY5Y细胞衰老模型中显示梅尔神经毒性潜力增加的研究,这意味着老年人摄入梅尔可能导致阿尔茨海默病和帕金森病等神经退行性疾病的发病率增加。
本文章由计算机程序翻译,如有差异,请以英文原文为准。

Melamine Exacerbates Neurotoxicity in D-Galactose-Induced Neuronal SH-SY5Y Cells.

Melamine Exacerbates Neurotoxicity in D-Galactose-Induced Neuronal SH-SY5Y Cells.

Melamine Exacerbates Neurotoxicity in D-Galactose-Induced Neuronal SH-SY5Y Cells.

Melamine Exacerbates Neurotoxicity in D-Galactose-Induced Neuronal SH-SY5Y Cells.

Numerous studies have depicted the role of diet and environmental toxins in aging. Melamine (Mel) is a globally known notorious food adulterant, and its toxicity has been shown in several organs including the brain. However, till now, there are no reports regarding Mel neurotoxicity in aging neurons. So, this study examined the in vitro neurotoxicity caused by Mel in the D-galactose (DG)-induced aging model of neuronal SH-SY5Y cells. In the present study, the neuronal SH-SY5Y cells were treated with DG and Mel separately and in combination to assess the neurotoxicity potential using MTT assay and neurite length measurement. Further, the superoxide dismutase (SOD), catalase (CAT), and total antioxidant activities were evaluated followed by the determination of the intracellular reactive oxygen species (ROS), mitochondrial membrane potential (MMP), and caspase3 (Casp3) activity. The cotreatment of Mel and DG in neuronal SH-SY5Y cells showed maximum cell death than the cells treated with DG or Mel individually and untreated control cells. The neurite length shrinkage and ROS production were maximum in the DG and Mel cotreated cells showing exacerbated toxicity of Mel. The activity of SOD, CAT, and total antioxidants was also found to be lowered in the cotreatment group (Mel + DG) than in Mel- or DG-treated and untreated cells. Further, the combined toxicity of Mel and DG also elevated the Casp3 activity more than any other group. This is the first study showing the increased neurotoxic potential of Mel in an aging model of neuronal SH-SY5Y cells which implicates that Mel consumption by the elderly may lead to increased incidences of neurodegeneration like Alzheimer's disease and Parkinson's disease.

求助全文
通过发布文献求助,成功后即可免费获取论文全文。 去求助
来源期刊
Journal of Aging Research
Journal of Aging Research Medicine-Geriatrics and Gerontology
CiteScore
5.40
自引率
0.00%
发文量
11
审稿时长
30 weeks
×
引用
GB/T 7714-2015
复制
MLA
复制
APA
复制
导出至
BibTeX EndNote RefMan NoteFirst NoteExpress
×
提示
您的信息不完整,为了账户安全,请先补充。
现在去补充
×
提示
您因"违规操作"
具体请查看互助需知
我知道了
×
提示
确定
请完成安全验证×
copy
已复制链接
快去分享给好友吧!
我知道了
右上角分享
点击右上角分享
0
联系我们:info@booksci.cn Book学术提供免费学术资源搜索服务,方便国内外学者检索中英文文献。致力于提供最便捷和优质的服务体验。 Copyright © 2023 布克学术 All rights reserved.
京ICP备2023020795号-1
ghs 京公网安备 11010802042870号
Book学术文献互助
Book学术文献互助群
群 号:604180095
Book学术官方微信