青春期前男孩身体特征、肌肉肌腱结构特性和骨骼年龄的纵向研究。

IF 1.6 4区 医学 Q4 NEUROSCIENCES
Keitaro Kubo, Takanori Teshima, Norikazu Hirose, Naoya Tsunoda
{"title":"青春期前男孩身体特征、肌肉肌腱结构特性和骨骼年龄的纵向研究。","authors":"Keitaro Kubo, Takanori Teshima, Norikazu Hirose, Naoya Tsunoda","doi":"","DOIUrl":null,"url":null,"abstract":"<p><strong>Objectives: </strong>The purpose of this study was to examine longitudinal growth changes in physical characteristics, muscle-tendon structure properties, and skeletal age in preadolescent boys and to compare the relationship between the changes in physical characteristics and muscle-tendon properties and the changes in chronological and skeletal ages.</p><p><strong>Methods: </strong>Fourteen prepubescent boys (10.9 ± 1.1 years old at the onset of the study) participated in this study over two years (yearly). Maximal muscle strength and maximal strain of tendon structure during ramp isometric contraction and muscle and tendon thickness for knee extensors and plantar flexors were measured. In addition, skeletal age was assessed using Tanner-Whitehouse three method.</p><p><strong>Results: </strong>Changes in height, thigh length, and lower leg length were highly correlated with changes in skeletal age but not chronological age. However, changes in the morphological and mechanical properties of muscle and tendon structure were not significantly associated with changes in chronological and skeletal ages.</p><p><strong>Conclusion: </strong>The present preliminary results suggest that longitudinal growth changes in the long-axis of the body are highly correlated with skeletal age change, whereas those in the muscle-tendon structure properties were not.</p>","PeriodicalId":16430,"journal":{"name":"Journal of musculoskeletal & neuronal interactions","volume":"23 4","pages":"407-416"},"PeriodicalIF":1.6000,"publicationDate":"2023-12-01","publicationTypes":"Journal Article","fieldsOfStudy":null,"isOpenAccess":false,"openAccessPdf":"https://www.ncbi.nlm.nih.gov/pmc/articles/PMC10696368/pdf/","citationCount":"0","resultStr":"{\"title\":\"A Longitudinal Study of the Physical Characteristics, Muscle-Tendon Structure Properties, and Skeletal Age in Preadolescent Boys.\",\"authors\":\"Keitaro Kubo, Takanori Teshima, Norikazu Hirose, Naoya Tsunoda\",\"doi\":\"\",\"DOIUrl\":null,\"url\":null,\"abstract\":\"<p><strong>Objectives: </strong>The purpose of this study was to examine longitudinal growth changes in physical characteristics, muscle-tendon structure properties, and skeletal age in preadolescent boys and to compare the relationship between the changes in physical characteristics and muscle-tendon properties and the changes in chronological and skeletal ages.</p><p><strong>Methods: </strong>Fourteen prepubescent boys (10.9 ± 1.1 years old at the onset of the study) participated in this study over two years (yearly). Maximal muscle strength and maximal strain of tendon structure during ramp isometric contraction and muscle and tendon thickness for knee extensors and plantar flexors were measured. In addition, skeletal age was assessed using Tanner-Whitehouse three method.</p><p><strong>Results: </strong>Changes in height, thigh length, and lower leg length were highly correlated with changes in skeletal age but not chronological age. However, changes in the morphological and mechanical properties of muscle and tendon structure were not significantly associated with changes in chronological and skeletal ages.</p><p><strong>Conclusion: </strong>The present preliminary results suggest that longitudinal growth changes in the long-axis of the body are highly correlated with skeletal age change, whereas those in the muscle-tendon structure properties were not.</p>\",\"PeriodicalId\":16430,\"journal\":{\"name\":\"Journal of musculoskeletal & neuronal interactions\",\"volume\":\"23 4\",\"pages\":\"407-416\"},\"PeriodicalIF\":1.6000,\"publicationDate\":\"2023-12-01\",\"publicationTypes\":\"Journal Article\",\"fieldsOfStudy\":null,\"isOpenAccess\":false,\"openAccessPdf\":\"https://www.ncbi.nlm.nih.gov/pmc/articles/PMC10696368/pdf/\",\"citationCount\":\"0\",\"resultStr\":null,\"platform\":\"Semanticscholar\",\"paperid\":null,\"PeriodicalName\":\"Journal of musculoskeletal & neuronal interactions\",\"FirstCategoryId\":\"3\",\"ListUrlMain\":\"\",\"RegionNum\":4,\"RegionCategory\":\"医学\",\"ArticlePicture\":[],\"TitleCN\":null,\"AbstractTextCN\":null,\"PMCID\":null,\"EPubDate\":\"\",\"PubModel\":\"\",\"JCR\":\"Q4\",\"JCRName\":\"NEUROSCIENCES\",\"Score\":null,\"Total\":0}","platform":"Semanticscholar","paperid":null,"PeriodicalName":"Journal of musculoskeletal & neuronal interactions","FirstCategoryId":"3","ListUrlMain":"","RegionNum":4,"RegionCategory":"医学","ArticlePicture":[],"TitleCN":null,"AbstractTextCN":null,"PMCID":null,"EPubDate":"","PubModel":"","JCR":"Q4","JCRName":"NEUROSCIENCES","Score":null,"Total":0}
引用次数: 0

摘要

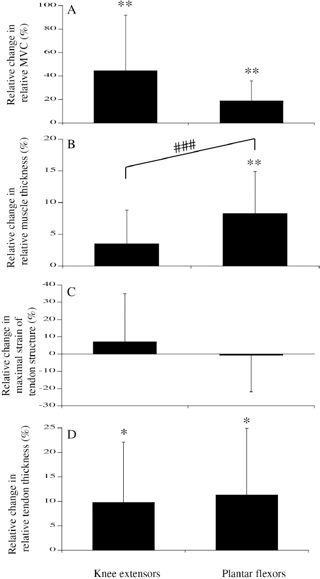
目的:本研究的目的是研究青春期前男孩的身体特征、肌肉肌腱结构特性和骨骼年龄的纵向生长变化,并比较身体特征和肌肉肌腱特性的变化与时间和骨骼年龄的变化之间的关系。方法:14名青春期前男孩(研究开始时年龄为10.9±1.1岁)参加了为期两年(每年一次)的研究。测量斜面等距收缩时肌腱结构的最大肌力和最大应变,以及膝关节伸肌和足底屈肌的肌肉和肌腱厚度。此外,骨骼年龄评估采用坦纳-怀特豪斯三法。结果:身高、大腿长度和小腿长度的变化与骨骼年龄的变化高度相关,但与实足年龄无关。然而,肌肉和肌腱结构的形态学和力学特性的变化与时间和骨骼年龄的变化没有显著相关。结论:目前的初步结果表明,身体长轴纵向生长的变化与骨骼年龄的变化高度相关,而肌肉-肌腱结构特性的变化与骨骼年龄的变化无关。
本文章由计算机程序翻译,如有差异,请以英文原文为准。

A Longitudinal Study of the Physical Characteristics, Muscle-Tendon Structure Properties, and Skeletal Age in Preadolescent Boys.

A Longitudinal Study of the Physical Characteristics, Muscle-Tendon Structure Properties, and Skeletal Age in Preadolescent Boys.

A Longitudinal Study of the Physical Characteristics, Muscle-Tendon Structure Properties, and Skeletal Age in Preadolescent Boys.

A Longitudinal Study of the Physical Characteristics, Muscle-Tendon Structure Properties, and Skeletal Age in Preadolescent Boys.

Objectives: The purpose of this study was to examine longitudinal growth changes in physical characteristics, muscle-tendon structure properties, and skeletal age in preadolescent boys and to compare the relationship between the changes in physical characteristics and muscle-tendon properties and the changes in chronological and skeletal ages.

Methods: Fourteen prepubescent boys (10.9 ± 1.1 years old at the onset of the study) participated in this study over two years (yearly). Maximal muscle strength and maximal strain of tendon structure during ramp isometric contraction and muscle and tendon thickness for knee extensors and plantar flexors were measured. In addition, skeletal age was assessed using Tanner-Whitehouse three method.

Results: Changes in height, thigh length, and lower leg length were highly correlated with changes in skeletal age but not chronological age. However, changes in the morphological and mechanical properties of muscle and tendon structure were not significantly associated with changes in chronological and skeletal ages.

Conclusion: The present preliminary results suggest that longitudinal growth changes in the long-axis of the body are highly correlated with skeletal age change, whereas those in the muscle-tendon structure properties were not.

求助全文
通过发布文献求助,成功后即可免费获取论文全文。 去求助
来源期刊
CiteScore
3.40
自引率
0.00%
发文量
67
审稿时长
>12 weeks
期刊介绍: The Journal of Musculoskeletal and Neuronal Interactions (JMNI) is an academic journal dealing with the pathophysiology and treatment of musculoskeletal disorders. It is published quarterly (months of issue March, June, September, December). Its purpose is to publish original, peer-reviewed papers of research and clinical experience in all areas of the musculoskeletal system and its interactions with the nervous system, especially metabolic bone diseases, with particular emphasis on osteoporosis. Additionally, JMNI publishes the Abstracts from the biannual meetings of the International Society of Musculoskeletal and Neuronal Interactions, and hosts Abstracts of other meetings on topics related to the aims and scope of JMNI.
×
引用
GB/T 7714-2015
复制
MLA
复制
APA
复制
导出至
BibTeX EndNote RefMan NoteFirst NoteExpress
×
提示
您的信息不完整,为了账户安全,请先补充。
现在去补充
×
提示
您因"违规操作"
具体请查看互助需知
我知道了
×
提示
确定
请完成安全验证×
copy
已复制链接
快去分享给好友吧!
我知道了
右上角分享
点击右上角分享
0
联系我们:info@booksci.cn Book学术提供免费学术资源搜索服务,方便国内外学者检索中英文文献。致力于提供最便捷和优质的服务体验。 Copyright © 2023 布克学术 All rights reserved.
京ICP备2023020795号-1
ghs 京公网安备 11010802042870号
Book学术文献互助
Book学术文献互助群
群 号:604180095
Book学术官方微信