革兰氏阴性临床分离株生物膜产生的抑制和减少及其抗生素谱图。

IF 4.5 Q3 MATERIALS SCIENCE, BIOMATERIALS
International Journal of Biomaterials Pub Date : 2023-11-17 eCollection Date: 2023-01-01 DOI:10.1155/2023/6619268
Ojaswee Shrestha, Nabina Shrestha, Sadhana Khanal, Sushant Pokhrel, Sujina Maharjan, Tika Bahadur Thapa, Puspa Raj Khanal, Govardhan Joshi
{"title":"革兰氏阴性临床分离株生物膜产生的抑制和减少及其抗生素谱图。","authors":"Ojaswee Shrestha, Nabina Shrestha, Sadhana Khanal, Sushant Pokhrel, Sujina Maharjan, Tika Bahadur Thapa, Puspa Raj Khanal, Govardhan Joshi","doi":"10.1155/2023/6619268","DOIUrl":null,"url":null,"abstract":"<p><strong>Background: </strong>Bacterial biofilm is a significant virulence factor threatening patients, leading to chronic infections and economic burdens. Therefore, it is crucial to identify biofilm production, its inhibition, and reduction. In this study, we investigated biofilm production among Gram-negative isolates and assessed the inhibitory and reduction potential of ethylene diamine tetra acetic acid (EDTA) and dimethyl sulfoxide (DMSO) towards them. In addition, we studied the antimicrobial resistance pattern of the Gram-negative isolates.</p><p><strong>Methods: </strong>Bacterial isolation and identification was done using standard microbiological techniques, following the Clinical and Laboratory Standards Institute (CLSI) guideline, 28th edition. The Kirby-Bauer disk diffusion method was used to determine the antibiotic susceptibility pattern of the isolates, and <i>β</i>-lactamase production was tested via the combination disk method. Biofilm formation was detected through the tissue culture plate (TCP) method. Different concentrations of EDTA and DMSO were used to determine their inhibitory and reduction properties against the biofilm. Both inhibition and reduction by the various concentrations of EDTA and DMSO were analyzed using paired <i>t</i>-tests.</p><p><strong>Results: </strong>Among the 110 clinical isolates, 61.8% (68) were found to be multidrug resistant (MDR). 30% (33/110) of the isolates were extended-spectrum <i>β</i>-lactamase (ESBL) producers, 14.5% (16/110) were metallo-<i>β</i>-lactamase (MBL), and 8% (9/110) were <i>Klebsiella pneumoniae</i> carbapenemase (KPC) producers. Biofilm formation was detected in 35.4% of the isolates. Biofilm-producing organisms showed the highest resistance to antibiotics such as cephalosporins, chloramphenicol, gentamicin, and carbapenem. The inhibition and reduction of biofilm were significantly lower (<i>p</i> < 0.05) for 1 mM of EDTA and 2% of DMSO.</p><p><strong>Conclusion: </strong>Isolates forming biofilm had a higher resistance rate and <i>β</i>-lactamase production compared to biofilm nonproducers. EDTA and DMSO were found to be potential antibiofilm agents. Hence, EDTA and DMSO might be an effective antibiofilm agent to control biofilm-associated infections.</p>","PeriodicalId":13704,"journal":{"name":"International Journal of Biomaterials","volume":"2023 ","pages":"6619268"},"PeriodicalIF":4.5000,"publicationDate":"2023-11-17","publicationTypes":"Journal Article","fieldsOfStudy":null,"isOpenAccess":false,"openAccessPdf":"https://www.ncbi.nlm.nih.gov/pmc/articles/PMC10673669/pdf/","citationCount":"0","resultStr":"{\"title\":\"Inhibition and Reduction of Biofilm Production along with Their Antibiogram Pattern among Gram-Negative Clinical Isolates.\",\"authors\":\"Ojaswee Shrestha, Nabina Shrestha, Sadhana Khanal, Sushant Pokhrel, Sujina Maharjan, Tika Bahadur Thapa, Puspa Raj Khanal, Govardhan Joshi\",\"doi\":\"10.1155/2023/6619268\",\"DOIUrl\":null,\"url\":null,\"abstract\":\"<p><strong>Background: </strong>Bacterial biofilm is a significant virulence factor threatening patients, leading to chronic infections and economic burdens. Therefore, it is crucial to identify biofilm production, its inhibition, and reduction. In this study, we investigated biofilm production among Gram-negative isolates and assessed the inhibitory and reduction potential of ethylene diamine tetra acetic acid (EDTA) and dimethyl sulfoxide (DMSO) towards them. In addition, we studied the antimicrobial resistance pattern of the Gram-negative isolates.</p><p><strong>Methods: </strong>Bacterial isolation and identification was done using standard microbiological techniques, following the Clinical and Laboratory Standards Institute (CLSI) guideline, 28th edition. The Kirby-Bauer disk diffusion method was used to determine the antibiotic susceptibility pattern of the isolates, and <i>β</i>-lactamase production was tested via the combination disk method. Biofilm formation was detected through the tissue culture plate (TCP) method. Different concentrations of EDTA and DMSO were used to determine their inhibitory and reduction properties against the biofilm. Both inhibition and reduction by the various concentrations of EDTA and DMSO were analyzed using paired <i>t</i>-tests.</p><p><strong>Results: </strong>Among the 110 clinical isolates, 61.8% (68) were found to be multidrug resistant (MDR). 30% (33/110) of the isolates were extended-spectrum <i>β</i>-lactamase (ESBL) producers, 14.5% (16/110) were metallo-<i>β</i>-lactamase (MBL), and 8% (9/110) were <i>Klebsiella pneumoniae</i> carbapenemase (KPC) producers. Biofilm formation was detected in 35.4% of the isolates. Biofilm-producing organisms showed the highest resistance to antibiotics such as cephalosporins, chloramphenicol, gentamicin, and carbapenem. The inhibition and reduction of biofilm were significantly lower (<i>p</i> < 0.05) for 1 mM of EDTA and 2% of DMSO.</p><p><strong>Conclusion: </strong>Isolates forming biofilm had a higher resistance rate and <i>β</i>-lactamase production compared to biofilm nonproducers. EDTA and DMSO were found to be potential antibiofilm agents. Hence, EDTA and DMSO might be an effective antibiofilm agent to control biofilm-associated infections.</p>\",\"PeriodicalId\":13704,\"journal\":{\"name\":\"International Journal of Biomaterials\",\"volume\":\"2023 \",\"pages\":\"6619268\"},\"PeriodicalIF\":4.5000,\"publicationDate\":\"2023-11-17\",\"publicationTypes\":\"Journal Article\",\"fieldsOfStudy\":null,\"isOpenAccess\":false,\"openAccessPdf\":\"https://www.ncbi.nlm.nih.gov/pmc/articles/PMC10673669/pdf/\",\"citationCount\":\"0\",\"resultStr\":null,\"platform\":\"Semanticscholar\",\"paperid\":null,\"PeriodicalName\":\"International Journal of Biomaterials\",\"FirstCategoryId\":\"1085\",\"ListUrlMain\":\"https://doi.org/10.1155/2023/6619268\",\"RegionNum\":0,\"RegionCategory\":null,\"ArticlePicture\":[],\"TitleCN\":null,\"AbstractTextCN\":null,\"PMCID\":null,\"EPubDate\":\"2023/1/1 0:00:00\",\"PubModel\":\"eCollection\",\"JCR\":\"Q3\",\"JCRName\":\"MATERIALS SCIENCE, BIOMATERIALS\",\"Score\":null,\"Total\":0}","platform":"Semanticscholar","paperid":null,"PeriodicalName":"International Journal of Biomaterials","FirstCategoryId":"1085","ListUrlMain":"https://doi.org/10.1155/2023/6619268","RegionNum":0,"RegionCategory":null,"ArticlePicture":[],"TitleCN":null,"AbstractTextCN":null,"PMCID":null,"EPubDate":"2023/1/1 0:00:00","PubModel":"eCollection","JCR":"Q3","JCRName":"MATERIALS SCIENCE, BIOMATERIALS","Score":null,"Total":0}
引用次数: 0

摘要

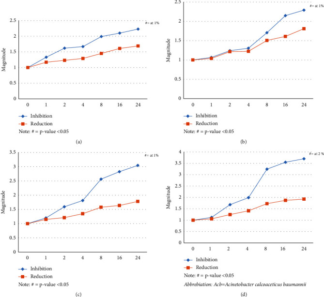
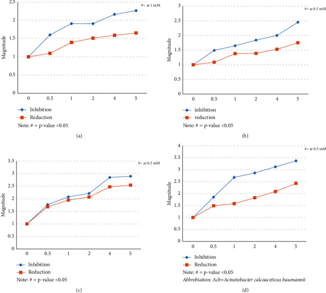
背景:细菌生物膜是威胁患者的重要毒力因子,可导致慢性感染和经济负担。因此,确定生物膜的产生、抑制和还原是至关重要的。在这项研究中,我们研究了革兰氏阴性菌株的生物膜生产,并评估了乙二胺四乙酸(EDTA)和二甲基亚砜(DMSO)对它们的抑制和还原潜力。此外,我们还研究了革兰氏阴性菌株的耐药模式。方法:按照临床与实验室标准协会(CLSI)第28版指南,采用标准微生物学技术进行细菌分离和鉴定。采用Kirby-Bauer纸片扩散法测定菌株的药敏模式,采用联合纸片法测定菌株β-内酰胺酶产量。采用组织培养板(TCP)法检测生物膜的形成。用不同浓度的EDTA和DMSO测定其对生物膜的抑制和还原性能。采用配对t检验分析不同浓度EDTA和DMSO的抑制和还原作用。结果:110株临床分离株中,61.8%(68株)发现多重耐药(MDR)。其中30%(33/110)为广谱β-内酰胺酶(ESBL)产生菌,14.5%(16/110)为金属β-内酰胺酶(MBL)产生菌,8%(9/110)为肺炎克雷伯菌碳青霉烯酶(KPC)产生菌。在35.4%的分离菌中检测到生物膜形成。产膜生物对头孢菌素、氯霉素、庆大霉素和碳青霉烯类抗生素的耐药性最高。结论:与未形成生物膜的菌株相比,形成生物膜的菌株具有更高的耐药率和β-内酰胺酶产量。EDTA和DMSO是潜在的抗膜剂。因此,EDTA和DMSO可能是一种有效的生物膜抗菌剂来控制生物膜相关感染。
本文章由计算机程序翻译,如有差异,请以英文原文为准。

Inhibition and Reduction of Biofilm Production along with Their Antibiogram Pattern among Gram-Negative Clinical Isolates.

Inhibition and Reduction of Biofilm Production along with Their Antibiogram Pattern among Gram-Negative Clinical Isolates.

Inhibition and Reduction of Biofilm Production along with Their Antibiogram Pattern among Gram-Negative Clinical Isolates.

Background: Bacterial biofilm is a significant virulence factor threatening patients, leading to chronic infections and economic burdens. Therefore, it is crucial to identify biofilm production, its inhibition, and reduction. In this study, we investigated biofilm production among Gram-negative isolates and assessed the inhibitory and reduction potential of ethylene diamine tetra acetic acid (EDTA) and dimethyl sulfoxide (DMSO) towards them. In addition, we studied the antimicrobial resistance pattern of the Gram-negative isolates.

Methods: Bacterial isolation and identification was done using standard microbiological techniques, following the Clinical and Laboratory Standards Institute (CLSI) guideline, 28th edition. The Kirby-Bauer disk diffusion method was used to determine the antibiotic susceptibility pattern of the isolates, and β-lactamase production was tested via the combination disk method. Biofilm formation was detected through the tissue culture plate (TCP) method. Different concentrations of EDTA and DMSO were used to determine their inhibitory and reduction properties against the biofilm. Both inhibition and reduction by the various concentrations of EDTA and DMSO were analyzed using paired t-tests.

Results: Among the 110 clinical isolates, 61.8% (68) were found to be multidrug resistant (MDR). 30% (33/110) of the isolates were extended-spectrum β-lactamase (ESBL) producers, 14.5% (16/110) were metallo-β-lactamase (MBL), and 8% (9/110) were Klebsiella pneumoniae carbapenemase (KPC) producers. Biofilm formation was detected in 35.4% of the isolates. Biofilm-producing organisms showed the highest resistance to antibiotics such as cephalosporins, chloramphenicol, gentamicin, and carbapenem. The inhibition and reduction of biofilm were significantly lower (p < 0.05) for 1 mM of EDTA and 2% of DMSO.

Conclusion: Isolates forming biofilm had a higher resistance rate and β-lactamase production compared to biofilm nonproducers. EDTA and DMSO were found to be potential antibiofilm agents. Hence, EDTA and DMSO might be an effective antibiofilm agent to control biofilm-associated infections.

求助全文
通过发布文献求助,成功后即可免费获取论文全文。 去求助
来源期刊
International Journal of Biomaterials
International Journal of Biomaterials MATERIALS SCIENCE, BIOMATERIALS-
CiteScore
4.30
自引率
3.20%
发文量
50
审稿时长
21 weeks
×
引用
GB/T 7714-2015
复制
MLA
复制
APA
复制
导出至
BibTeX EndNote RefMan NoteFirst NoteExpress
×
提示
您的信息不完整,为了账户安全,请先补充。
现在去补充
×
提示
您因"违规操作"
具体请查看互助需知
我知道了
×
提示
确定
请完成安全验证×
copy
已复制链接
快去分享给好友吧!
我知道了
右上角分享
点击右上角分享
0
联系我们:info@booksci.cn Book学术提供免费学术资源搜索服务,方便国内外学者检索中英文文献。致力于提供最便捷和优质的服务体验。 Copyright © 2023 布克学术 All rights reserved.
京ICP备2023020795号-1
ghs 京公网安备 11010802042870号
Book学术文献互助
Book学术文献互助群
群 号:604180095
Book学术官方微信