扫描源OCT图像中光信号不连续区揭示的人体晶状体几何形状和透明度的年龄相关变化。

IF 4 1区 医学 Q1 OPHTHALMOLOGY
Ashish Gupta, Daniel Ruminski, Alfonso Jimenez Villar, Raúl Duarte Toledo, Grzegorz Gondek, Barbara Pierscionek, Pablo Artal, Ireneusz Grulkowski
{"title":"扫描源OCT图像中光信号不连续区揭示的人体晶状体几何形状和透明度的年龄相关变化。","authors":"Ashish Gupta, Daniel Ruminski, Alfonso Jimenez Villar, Raúl Duarte Toledo, Grzegorz Gondek, Barbara Pierscionek, Pablo Artal, Ireneusz Grulkowski","doi":"10.1186/s40662-023-00365-y","DOIUrl":null,"url":null,"abstract":"<p><strong>Background: </strong>The shape and microstructure of the human crystalline lens alter with ageing, and this has an effect on the optical properties of the eye. The aim of this study was to characterise the age-related differences in the morphology and transparency of the eye lenses of healthy subjects through the optical signal discontinuity (OSD) zones in optical coherence tomography (OCT) images. We also investigated the association of those changes with the optical quality of the eye and visual function.</p><p><strong>Methods: </strong>OCT images of the anterior segment of 49 eyes of subjects (9-78 years) were acquired, and the OSD zones (nucleus, C1-C4 cortical zones) were identified. Central thickness, curvature and optical density were measured. The eye's optical quality was evaluated by the objective scatter index (OSI). Contrast sensitivity and visual acuity tests were performed. The correlation between extracted parameters and age was assessed.</p><p><strong>Results: </strong>The increase in lens thickness with age was dominated by the thickening of the cortical zone C3 (0.0146 mm/year). The curvature radii of the anterior lens surface and both anterior and posterior nucleo-cortical interfaces decreased with age (- 0.053 mm/year, - 0.013 mm/year and - 0.006 mm/year, respectively), and no change was observed for the posterior lens radius. OCT-based densitometry revealed significant correlations with age for all zones except for C1β, and the highest increase in density was in the C2-C4 zones (R = 0.45, 0.74, 0.56, respectively, P < 0.001). Increase in OSI was associated with the degradation of visual function.</p><p><strong>Conclusions: </strong>OCT enables the identification of OSD zones of the crystalline lens. The most significant age-related changes occur in the C3 zone as it thickens with age at a faster rate and becomes more opaque than other OSD zones. The changes are associated with optical quality deterioration and reduction of visual performance. These findings contribute to a better understanding of the structure-function relationship of the ageing lens and offer insights into both pathological and aging alterations.</p>","PeriodicalId":12194,"journal":{"name":"Eye and Vision","volume":"10 1","pages":"46"},"PeriodicalIF":4.0000,"publicationDate":"2023-12-01","publicationTypes":"Journal Article","fieldsOfStudy":null,"isOpenAccess":false,"openAccessPdf":"https://www.ncbi.nlm.nih.gov/pmc/articles/PMC10691129/pdf/","citationCount":"0","resultStr":"{\"title\":\"Age-related changes in geometry and transparency of human crystalline lens revealed by optical signal discontinuity zones in swept-source OCT images.\",\"authors\":\"Ashish Gupta, Daniel Ruminski, Alfonso Jimenez Villar, Raúl Duarte Toledo, Grzegorz Gondek, Barbara Pierscionek, Pablo Artal, Ireneusz Grulkowski\",\"doi\":\"10.1186/s40662-023-00365-y\",\"DOIUrl\":null,\"url\":null,\"abstract\":\"<p><strong>Background: </strong>The shape and microstructure of the human crystalline lens alter with ageing, and this has an effect on the optical properties of the eye. The aim of this study was to characterise the age-related differences in the morphology and transparency of the eye lenses of healthy subjects through the optical signal discontinuity (OSD) zones in optical coherence tomography (OCT) images. We also investigated the association of those changes with the optical quality of the eye and visual function.</p><p><strong>Methods: </strong>OCT images of the anterior segment of 49 eyes of subjects (9-78 years) were acquired, and the OSD zones (nucleus, C1-C4 cortical zones) were identified. Central thickness, curvature and optical density were measured. The eye's optical quality was evaluated by the objective scatter index (OSI). Contrast sensitivity and visual acuity tests were performed. The correlation between extracted parameters and age was assessed.</p><p><strong>Results: </strong>The increase in lens thickness with age was dominated by the thickening of the cortical zone C3 (0.0146 mm/year). The curvature radii of the anterior lens surface and both anterior and posterior nucleo-cortical interfaces decreased with age (- 0.053 mm/year, - 0.013 mm/year and - 0.006 mm/year, respectively), and no change was observed for the posterior lens radius. OCT-based densitometry revealed significant correlations with age for all zones except for C1β, and the highest increase in density was in the C2-C4 zones (R = 0.45, 0.74, 0.56, respectively, P < 0.001). Increase in OSI was associated with the degradation of visual function.</p><p><strong>Conclusions: </strong>OCT enables the identification of OSD zones of the crystalline lens. The most significant age-related changes occur in the C3 zone as it thickens with age at a faster rate and becomes more opaque than other OSD zones. The changes are associated with optical quality deterioration and reduction of visual performance. These findings contribute to a better understanding of the structure-function relationship of the ageing lens and offer insights into both pathological and aging alterations.</p>\",\"PeriodicalId\":12194,\"journal\":{\"name\":\"Eye and Vision\",\"volume\":\"10 1\",\"pages\":\"46\"},\"PeriodicalIF\":4.0000,\"publicationDate\":\"2023-12-01\",\"publicationTypes\":\"Journal Article\",\"fieldsOfStudy\":null,\"isOpenAccess\":false,\"openAccessPdf\":\"https://www.ncbi.nlm.nih.gov/pmc/articles/PMC10691129/pdf/\",\"citationCount\":\"0\",\"resultStr\":null,\"platform\":\"Semanticscholar\",\"paperid\":null,\"PeriodicalName\":\"Eye and Vision\",\"FirstCategoryId\":\"3\",\"ListUrlMain\":\"https://doi.org/10.1186/s40662-023-00365-y\",\"RegionNum\":1,\"RegionCategory\":\"医学\",\"ArticlePicture\":[],\"TitleCN\":null,\"AbstractTextCN\":null,\"PMCID\":null,\"EPubDate\":\"\",\"PubModel\":\"\",\"JCR\":\"Q1\",\"JCRName\":\"OPHTHALMOLOGY\",\"Score\":null,\"Total\":0}","platform":"Semanticscholar","paperid":null,"PeriodicalName":"Eye and Vision","FirstCategoryId":"3","ListUrlMain":"https://doi.org/10.1186/s40662-023-00365-y","RegionNum":1,"RegionCategory":"医学","ArticlePicture":[],"TitleCN":null,"AbstractTextCN":null,"PMCID":null,"EPubDate":"","PubModel":"","JCR":"Q1","JCRName":"OPHTHALMOLOGY","Score":null,"Total":0}
引用次数: 0

摘要

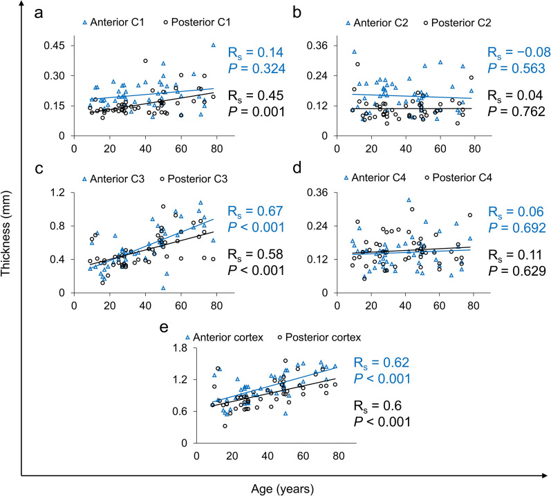
背景:人类晶状体的形状和微观结构随着年龄的增长而改变,这对眼睛的光学特性有影响。本研究的目的是通过光学相干断层扫描(OCT)图像中的光信号不连续(OSD)区来表征健康受试者眼睛晶状体形态和透明度的年龄相关差异。我们还研究了这些变化与眼睛的光学质量和视觉功能的关系。方法:获取49例受试者(9 ~ 78岁)眼前段OCT图像,识别OSD区(皮质核、c1 ~ c4区)。测量了中心厚度、曲率和光密度。用客观散射指数(OSI)评价眼睛的光学质量。进行对比敏感度和视力测试。评估提取参数与年龄的相关性。结果:晶状体厚度随年龄增长以皮质C3区增厚为主(0.0146 mm/年)。晶状体前表面和前后核皮质界面曲率半径随年龄的增长而减小(分别为- 0.053 mm/年、- 0.013 mm/年和- 0.006 mm/年),晶状体后半径无变化。基于OCT的密度测量结果显示,除c1 - β外,其他区域的密度与年龄均有显著相关性,其中C2-C4区域的密度增加最高(R分别为0.45,0.74,0.56)。最显著的与年龄相关的变化发生在C3区,随着年龄的增长,它增厚的速度更快,比其他OSD区变得更不透明。这些变化与光学质量恶化和视觉性能下降有关。这些发现有助于更好地理解老化晶状体的结构-功能关系,并为病理和衰老改变提供见解。
本文章由计算机程序翻译,如有差异,请以英文原文为准。

Age-related changes in geometry and transparency of human crystalline lens revealed by optical signal discontinuity zones in swept-source OCT images.

Age-related changes in geometry and transparency of human crystalline lens revealed by optical signal discontinuity zones in swept-source OCT images.

Age-related changes in geometry and transparency of human crystalline lens revealed by optical signal discontinuity zones in swept-source OCT images.

Age-related changes in geometry and transparency of human crystalline lens revealed by optical signal discontinuity zones in swept-source OCT images.

Background: The shape and microstructure of the human crystalline lens alter with ageing, and this has an effect on the optical properties of the eye. The aim of this study was to characterise the age-related differences in the morphology and transparency of the eye lenses of healthy subjects through the optical signal discontinuity (OSD) zones in optical coherence tomography (OCT) images. We also investigated the association of those changes with the optical quality of the eye and visual function.

Methods: OCT images of the anterior segment of 49 eyes of subjects (9-78 years) were acquired, and the OSD zones (nucleus, C1-C4 cortical zones) were identified. Central thickness, curvature and optical density were measured. The eye's optical quality was evaluated by the objective scatter index (OSI). Contrast sensitivity and visual acuity tests were performed. The correlation between extracted parameters and age was assessed.

Results: The increase in lens thickness with age was dominated by the thickening of the cortical zone C3 (0.0146 mm/year). The curvature radii of the anterior lens surface and both anterior and posterior nucleo-cortical interfaces decreased with age (- 0.053 mm/year, - 0.013 mm/year and - 0.006 mm/year, respectively), and no change was observed for the posterior lens radius. OCT-based densitometry revealed significant correlations with age for all zones except for C1β, and the highest increase in density was in the C2-C4 zones (R = 0.45, 0.74, 0.56, respectively, P < 0.001). Increase in OSI was associated with the degradation of visual function.

Conclusions: OCT enables the identification of OSD zones of the crystalline lens. The most significant age-related changes occur in the C3 zone as it thickens with age at a faster rate and becomes more opaque than other OSD zones. The changes are associated with optical quality deterioration and reduction of visual performance. These findings contribute to a better understanding of the structure-function relationship of the ageing lens and offer insights into both pathological and aging alterations.

求助全文
通过发布文献求助,成功后即可免费获取论文全文。 去求助
来源期刊
Eye and Vision
Eye and Vision OPHTHALMOLOGY-
CiteScore
8.60
自引率
2.40%
发文量
89
审稿时长
15 weeks
期刊介绍: Eye and Vision is an open access, peer-reviewed journal for ophthalmologists and visual science specialists. It welcomes research articles, reviews, methodologies, commentaries, case reports, perspectives and short reports encompassing all aspects of eye and vision. Topics of interest include but are not limited to: current developments of theoretical, experimental and clinical investigations in ophthalmology, optometry and vision science which focus on novel and high-impact findings on central issues pertaining to biology, pathophysiology and etiology of eye diseases as well as advances in diagnostic techniques, surgical treatment, instrument updates, the latest drug findings, results of clinical trials and research findings. It aims to provide ophthalmologists and visual science specialists with the latest developments in theoretical, experimental and clinical investigations in eye and vision.
×
引用
GB/T 7714-2015
复制
MLA
复制
APA
复制
导出至
BibTeX EndNote RefMan NoteFirst NoteExpress
×
提示
您的信息不完整,为了账户安全,请先补充。
现在去补充
×
提示
您因"违规操作"
具体请查看互助需知
我知道了
×
提示
确定
请完成安全验证×
copy
已复制链接
快去分享给好友吧!
我知道了
右上角分享
点击右上角分享
0
联系我们:info@booksci.cn Book学术提供免费学术资源搜索服务,方便国内外学者检索中英文文献。致力于提供最便捷和优质的服务体验。 Copyright © 2023 布克学术 All rights reserved.
京ICP备2023020795号-1
ghs 京公网安备 11010802042870号
Book学术文献互助
Book学术文献互助群
群 号:604180095
Book学术官方微信