维生素D与COVID-19严重程度和结局的关系:临床和实验证据

IF 3 3区 医学 Q2 IMMUNOLOGY
Journal of Innate Immunity Pub Date : 2024-01-01 Epub Date: 2023-11-26 DOI:10.1159/000535302
Georgios Renieris, Spyros Foutadakis, Theano Andriopoulou, Victoria-Marina Spanou, Dionyssia-Eirini Droggiti, Dionysios Kafousopoulos, Theologia Gkavogianni, Georgia Damoraki, Giannis Vatsellas, Evangelos J Giamarellos-Bourboulis
{"title":"维生素D与COVID-19严重程度和结局的关系:临床和实验证据","authors":"Georgios Renieris, Spyros Foutadakis, Theano Andriopoulou, Victoria-Marina Spanou, Dionyssia-Eirini Droggiti, Dionysios Kafousopoulos, Theologia Gkavogianni, Georgia Damoraki, Giannis Vatsellas, Evangelos J Giamarellos-Bourboulis","doi":"10.1159/000535302","DOIUrl":null,"url":null,"abstract":"<p><strong>Introduction: </strong>The role of vitamin in COVID-19 remains controversial. We investigated the association between endogenous vitamin D and the severity of COVID-19 as well as the mechanisms of action of vitamin D supplementation.</p><p><strong>Methods: </strong>25(OH)D3 in serum was associated with disease severity and outcome in 190 COVID-19 patients. In a COVID-19 animal model using intravenous injection of plasma from patients with COVID-19 acute respiratory distress syndrome into C57/BL6 mice, mice were treated with 0.25 μg human 1,25(OH)D3 or vehicle. Mice were sacrificed on day 4. Cytokines and myeloperoxidase (MPO) in tissues were measured. Changes in gene expression after vitamin D supplementation were measured.</p><p><strong>Results: </strong>Vitamin D deficiency and insufficiency were associated with increased severity and unfavorable outcome after 28 days. Vitamin D levels were negatively associated with biomarkers of COVID-19 severity. Vitamin D supplementation after challenge of mice with COVID-19 plasma led to reduced levels of TNFα, IL-6, IFNγ, and MPO in the lung, as well as down-regulation of pro-inflammatory pathways.</p><p><strong>Conclusion: </strong>Normal levels of endogenous vitamin D are associated with reduced severity and risk of unfavorable outcome in COVID-19, possibly through attenuation of tissue-specific hyperinflammation.</p>","PeriodicalId":16113,"journal":{"name":"Journal of Innate Immunity","volume":" ","pages":"1-11"},"PeriodicalIF":3.0000,"publicationDate":"2024-01-01","publicationTypes":"Journal Article","fieldsOfStudy":null,"isOpenAccess":false,"openAccessPdf":"https://www.ncbi.nlm.nih.gov/pmc/articles/PMC10764091/pdf/","citationCount":"0","resultStr":"{\"title\":\"Association of Vitamin D with Severity and Outcome of COVID-19: Clinical and Experimental Evidence.\",\"authors\":\"Georgios Renieris, Spyros Foutadakis, Theano Andriopoulou, Victoria-Marina Spanou, Dionyssia-Eirini Droggiti, Dionysios Kafousopoulos, Theologia Gkavogianni, Georgia Damoraki, Giannis Vatsellas, Evangelos J Giamarellos-Bourboulis\",\"doi\":\"10.1159/000535302\",\"DOIUrl\":null,\"url\":null,\"abstract\":\"<p><strong>Introduction: </strong>The role of vitamin in COVID-19 remains controversial. We investigated the association between endogenous vitamin D and the severity of COVID-19 as well as the mechanisms of action of vitamin D supplementation.</p><p><strong>Methods: </strong>25(OH)D3 in serum was associated with disease severity and outcome in 190 COVID-19 patients. In a COVID-19 animal model using intravenous injection of plasma from patients with COVID-19 acute respiratory distress syndrome into C57/BL6 mice, mice were treated with 0.25 μg human 1,25(OH)D3 or vehicle. Mice were sacrificed on day 4. Cytokines and myeloperoxidase (MPO) in tissues were measured. Changes in gene expression after vitamin D supplementation were measured.</p><p><strong>Results: </strong>Vitamin D deficiency and insufficiency were associated with increased severity and unfavorable outcome after 28 days. Vitamin D levels were negatively associated with biomarkers of COVID-19 severity. Vitamin D supplementation after challenge of mice with COVID-19 plasma led to reduced levels of TNFα, IL-6, IFNγ, and MPO in the lung, as well as down-regulation of pro-inflammatory pathways.</p><p><strong>Conclusion: </strong>Normal levels of endogenous vitamin D are associated with reduced severity and risk of unfavorable outcome in COVID-19, possibly through attenuation of tissue-specific hyperinflammation.</p>\",\"PeriodicalId\":16113,\"journal\":{\"name\":\"Journal of Innate Immunity\",\"volume\":\" \",\"pages\":\"1-11\"},\"PeriodicalIF\":3.0000,\"publicationDate\":\"2024-01-01\",\"publicationTypes\":\"Journal Article\",\"fieldsOfStudy\":null,\"isOpenAccess\":false,\"openAccessPdf\":\"https://www.ncbi.nlm.nih.gov/pmc/articles/PMC10764091/pdf/\",\"citationCount\":\"0\",\"resultStr\":null,\"platform\":\"Semanticscholar\",\"paperid\":null,\"PeriodicalName\":\"Journal of Innate Immunity\",\"FirstCategoryId\":\"3\",\"ListUrlMain\":\"https://doi.org/10.1159/000535302\",\"RegionNum\":3,\"RegionCategory\":\"医学\",\"ArticlePicture\":[],\"TitleCN\":null,\"AbstractTextCN\":null,\"PMCID\":null,\"EPubDate\":\"2023/11/26 0:00:00\",\"PubModel\":\"Epub\",\"JCR\":\"Q2\",\"JCRName\":\"IMMUNOLOGY\",\"Score\":null,\"Total\":0}","platform":"Semanticscholar","paperid":null,"PeriodicalName":"Journal of Innate Immunity","FirstCategoryId":"3","ListUrlMain":"https://doi.org/10.1159/000535302","RegionNum":3,"RegionCategory":"医学","ArticlePicture":[],"TitleCN":null,"AbstractTextCN":null,"PMCID":null,"EPubDate":"2023/11/26 0:00:00","PubModel":"Epub","JCR":"Q2","JCRName":"IMMUNOLOGY","Score":null,"Total":0}
引用次数: 0

摘要

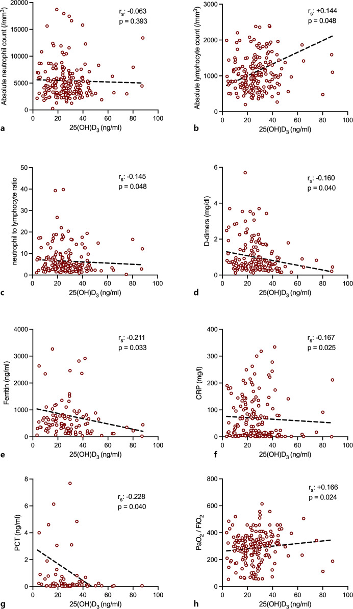
维生素在COVID-19中的作用仍存在争议。我们研究了内源性维生素D与COVID-19严重程度之间的关系,以及补充维生素D的作用机制。方法:190例COVID-19患者血清25(OH)D3水平与病情严重程度及转归相关。在C57/BL6小鼠静脉注射COVID-19 ARDS患者血浆的COVID-19动物模型中,小鼠分别接受0.25μg人1,25(OH)D3或对照物治疗。第4天处死小鼠。检测组织细胞因子和髓过氧化物酶(MPO)水平。测量补充维生素D后基因表达的变化。结果:维生素D缺乏和不足与28天后严重程度增加和不良结果相关。维生素D水平与COVID-19严重程度的生物标志物呈负相关。在感染COVID-19的小鼠血浆后补充维生素D导致肺中TNFα、IL-6、IFNγ和MPO水平降低,并下调促炎通路。结论:正常水平的内源性维生素D与降低COVID-19的严重程度和不良结局的风险有关,可能是通过减轻组织特异性高炎症来实现的。
本文章由计算机程序翻译,如有差异,请以英文原文为准。

Association of Vitamin D with Severity and Outcome of COVID-19: Clinical and Experimental Evidence.

Association of Vitamin D with Severity and Outcome of COVID-19: Clinical and Experimental Evidence.

Association of Vitamin D with Severity and Outcome of COVID-19: Clinical and Experimental Evidence.

Association of Vitamin D with Severity and Outcome of COVID-19: Clinical and Experimental Evidence.

Introduction: The role of vitamin in COVID-19 remains controversial. We investigated the association between endogenous vitamin D and the severity of COVID-19 as well as the mechanisms of action of vitamin D supplementation.

Methods: 25(OH)D3 in serum was associated with disease severity and outcome in 190 COVID-19 patients. In a COVID-19 animal model using intravenous injection of plasma from patients with COVID-19 acute respiratory distress syndrome into C57/BL6 mice, mice were treated with 0.25 μg human 1,25(OH)D3 or vehicle. Mice were sacrificed on day 4. Cytokines and myeloperoxidase (MPO) in tissues were measured. Changes in gene expression after vitamin D supplementation were measured.

Results: Vitamin D deficiency and insufficiency were associated with increased severity and unfavorable outcome after 28 days. Vitamin D levels were negatively associated with biomarkers of COVID-19 severity. Vitamin D supplementation after challenge of mice with COVID-19 plasma led to reduced levels of TNFα, IL-6, IFNγ, and MPO in the lung, as well as down-regulation of pro-inflammatory pathways.

Conclusion: Normal levels of endogenous vitamin D are associated with reduced severity and risk of unfavorable outcome in COVID-19, possibly through attenuation of tissue-specific hyperinflammation.

求助全文
通过发布文献求助,成功后即可免费获取论文全文。 去求助
来源期刊
Journal of Innate Immunity
Journal of Innate Immunity 医学-免疫学
CiteScore
10.50
自引率
1.90%
发文量
35
审稿时长
7.5 months
期刊介绍: The ''Journal of Innate Immunity'' is a bimonthly journal covering all aspects within the area of innate immunity, including evolution of the immune system, molecular biology of cells involved in innate immunity, pattern recognition and signals of ‘danger’, microbial corruption, host response and inflammation, mucosal immunity, complement and coagulation, sepsis and septic shock, molecular genomics, and development of immunotherapies. The journal publishes original research articles, short communications, reviews, commentaries and letters to the editors. In addition to regular papers, some issues feature a special section with a thematic focus.
×
引用
GB/T 7714-2015
复制
MLA
复制
APA
复制
导出至
BibTeX EndNote RefMan NoteFirst NoteExpress
×
提示
您的信息不完整,为了账户安全,请先补充。
现在去补充
×
提示
您因"违规操作"
具体请查看互助需知
我知道了
×
提示
确定
请完成安全验证×
copy
已复制链接
快去分享给好友吧!
我知道了
右上角分享
点击右上角分享
0
联系我们:info@booksci.cn Book学术提供免费学术资源搜索服务,方便国内外学者检索中英文文献。致力于提供最便捷和优质的服务体验。 Copyright © 2023 布克学术 All rights reserved.
京ICP备2023020795号-1
ghs 京公网安备 11010802042870号
Book学术文献互助
Book学术文献互助群
群 号:604180095
Book学术官方微信