在自由生活环境中监测老年体弱个体的步态和身体活动:可行性研究。

IF 3 3区 医学 Q3 GERIATRICS & GERONTOLOGY
Gerontology Pub Date : 2024-01-01 Epub Date: 2023-11-20 DOI:10.1159/000535283
Nunzio Camerlingo, Nina Shaafi Kabiri, Dimitrios J Psaltos, Meredith Kelly, Madisen K Wicker, Isabelle Messina, Sanford H Auerbach, Hao Zhang, Andrew Messere, Fikret Isik Karahanoglu, Mar Santamaria, Charmaine Demanuele, David Caouette, Kevin C Thomas
{"title":"在自由生活环境中监测老年体弱个体的步态和身体活动:可行性研究。","authors":"Nunzio Camerlingo, Nina Shaafi Kabiri, Dimitrios J Psaltos, Meredith Kelly, Madisen K Wicker, Isabelle Messina, Sanford H Auerbach, Hao Zhang, Andrew Messere, Fikret Isik Karahanoglu, Mar Santamaria, Charmaine Demanuele, David Caouette, Kevin C Thomas","doi":"10.1159/000535283","DOIUrl":null,"url":null,"abstract":"<p><strong>Introduction: </strong>Frailty is conventionally diagnosed using clinical tests and self-reported assessments. However, digital health technologies (DHTs), such as wearable accelerometers, can capture physical activity and gait during daily life, enabling more objective assessments. In this study, we assess the feasibility of deploying DHTs in community-dwelling older individuals, and investigate the relationship between digital measurements of physical activity and gait in naturalistic environments and participants' frailty status, as measured by conventional assessments.</p><p><strong>Methods: </strong>Fried Frailty Score (FFS) was used to classify fifty healthy individuals as non-frail (FFS = 0, n/female = 21/11, mean ± SD age: 71.10 ± 3.59 years), pre-frail (FFS = 1-2, n/female = 23/9, age: 73.74 ± 5.52 years), or frail (FFS = 3+, n/female = 6/6, age: 70.70 ± 6.53 years). Participants wore wrist-worn and lumbar-worn GENEActiv accelerometers (Activinsights Ltd., Kimbolton, UK) during three in-laboratory visits, and at-home for 2 weeks, to measure physical activity and gait. After this period, they completed a comfort and usability questionnaire. Compliant days at-home were defined as follows: those with ≥18 h of wear time, for the wrist-worn accelerometer, and those with ≥1 detected walking bout, for the lumbar-worn accelerometer. For each at-home measurement, a group analysis was performed using a linear regression model followed by ANOVA, to investigate the effect of frailty on physical activity and gait. Correlation between at-home digital measurements and conventional in-laboratory assessments was also investigated.</p><p><strong>Results: </strong>Participants were highly compliant in wearing the accelerometers, as 94% indicated willingness to wear the wrist device, and 66% the lumbar device, for at least 1 week. Time spent in sedentary activity and time spent in moderate activity as measured from the wrist device, as well as average gait speed and its 95th percentile from the lumbar device were significantly different between frailty groups. Moderate correlations between digital measurements and self-reported physical activity were found.</p><p><strong>Conclusions: </strong>This work highlights the feasibility of deploying DHTs in studies involving older individuals. The potential of digital measurements in distinguishing frailty phenotypes, while unobtrusively collecting unbiased data, thus minimizing participants' travels to sites, will be further assessed in a follow-up study.</p>","PeriodicalId":12662,"journal":{"name":"Gerontology","volume":" ","pages":"439-454"},"PeriodicalIF":3.0000,"publicationDate":"2024-01-01","publicationTypes":"Journal Article","fieldsOfStudy":null,"isOpenAccess":false,"openAccessPdf":"https://www.ncbi.nlm.nih.gov/pmc/articles/PMC11014463/pdf/","citationCount":"0","resultStr":"{\"title\":\"Monitoring Gait and Physical Activity of Elderly Frail Individuals in Free-Living Environment: A Feasibility Study.\",\"authors\":\"Nunzio Camerlingo, Nina Shaafi Kabiri, Dimitrios J Psaltos, Meredith Kelly, Madisen K Wicker, Isabelle Messina, Sanford H Auerbach, Hao Zhang, Andrew Messere, Fikret Isik Karahanoglu, Mar Santamaria, Charmaine Demanuele, David Caouette, Kevin C Thomas\",\"doi\":\"10.1159/000535283\",\"DOIUrl\":null,\"url\":null,\"abstract\":\"<p><strong>Introduction: </strong>Frailty is conventionally diagnosed using clinical tests and self-reported assessments. However, digital health technologies (DHTs), such as wearable accelerometers, can capture physical activity and gait during daily life, enabling more objective assessments. In this study, we assess the feasibility of deploying DHTs in community-dwelling older individuals, and investigate the relationship between digital measurements of physical activity and gait in naturalistic environments and participants' frailty status, as measured by conventional assessments.</p><p><strong>Methods: </strong>Fried Frailty Score (FFS) was used to classify fifty healthy individuals as non-frail (FFS = 0, n/female = 21/11, mean ± SD age: 71.10 ± 3.59 years), pre-frail (FFS = 1-2, n/female = 23/9, age: 73.74 ± 5.52 years), or frail (FFS = 3+, n/female = 6/6, age: 70.70 ± 6.53 years). Participants wore wrist-worn and lumbar-worn GENEActiv accelerometers (Activinsights Ltd., Kimbolton, UK) during three in-laboratory visits, and at-home for 2 weeks, to measure physical activity and gait. After this period, they completed a comfort and usability questionnaire. Compliant days at-home were defined as follows: those with ≥18 h of wear time, for the wrist-worn accelerometer, and those with ≥1 detected walking bout, for the lumbar-worn accelerometer. For each at-home measurement, a group analysis was performed using a linear regression model followed by ANOVA, to investigate the effect of frailty on physical activity and gait. Correlation between at-home digital measurements and conventional in-laboratory assessments was also investigated.</p><p><strong>Results: </strong>Participants were highly compliant in wearing the accelerometers, as 94% indicated willingness to wear the wrist device, and 66% the lumbar device, for at least 1 week. Time spent in sedentary activity and time spent in moderate activity as measured from the wrist device, as well as average gait speed and its 95th percentile from the lumbar device were significantly different between frailty groups. Moderate correlations between digital measurements and self-reported physical activity were found.</p><p><strong>Conclusions: </strong>This work highlights the feasibility of deploying DHTs in studies involving older individuals. The potential of digital measurements in distinguishing frailty phenotypes, while unobtrusively collecting unbiased data, thus minimizing participants' travels to sites, will be further assessed in a follow-up study.</p>\",\"PeriodicalId\":12662,\"journal\":{\"name\":\"Gerontology\",\"volume\":\" \",\"pages\":\"439-454\"},\"PeriodicalIF\":3.0000,\"publicationDate\":\"2024-01-01\",\"publicationTypes\":\"Journal Article\",\"fieldsOfStudy\":null,\"isOpenAccess\":false,\"openAccessPdf\":\"https://www.ncbi.nlm.nih.gov/pmc/articles/PMC11014463/pdf/\",\"citationCount\":\"0\",\"resultStr\":null,\"platform\":\"Semanticscholar\",\"paperid\":null,\"PeriodicalName\":\"Gerontology\",\"FirstCategoryId\":\"3\",\"ListUrlMain\":\"https://doi.org/10.1159/000535283\",\"RegionNum\":3,\"RegionCategory\":\"医学\",\"ArticlePicture\":[],\"TitleCN\":null,\"AbstractTextCN\":null,\"PMCID\":null,\"EPubDate\":\"2023/11/20 0:00:00\",\"PubModel\":\"Epub\",\"JCR\":\"Q3\",\"JCRName\":\"GERIATRICS & GERONTOLOGY\",\"Score\":null,\"Total\":0}","platform":"Semanticscholar","paperid":null,"PeriodicalName":"Gerontology","FirstCategoryId":"3","ListUrlMain":"https://doi.org/10.1159/000535283","RegionNum":3,"RegionCategory":"医学","ArticlePicture":[],"TitleCN":null,"AbstractTextCN":null,"PMCID":null,"EPubDate":"2023/11/20 0:00:00","PubModel":"Epub","JCR":"Q3","JCRName":"GERIATRICS & GERONTOLOGY","Score":null,"Total":0}
引用次数: 0

摘要

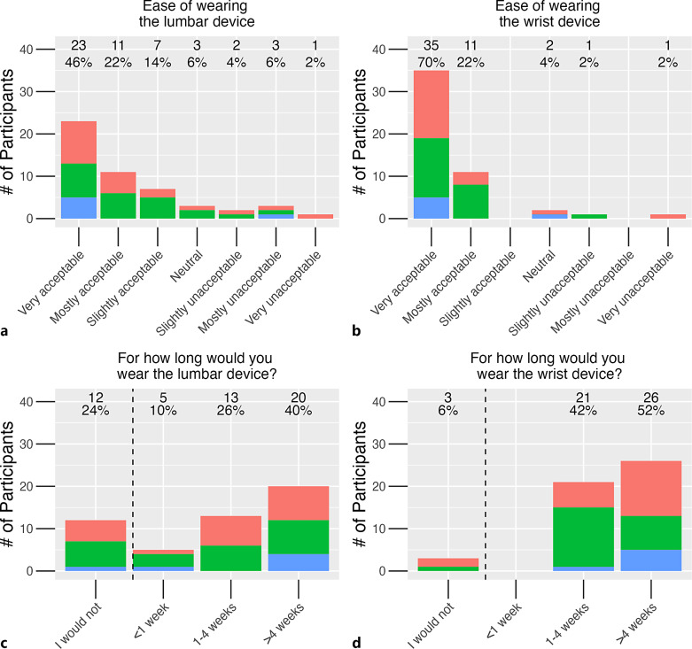
简介:虚弱通常是通过临床测试和自我报告评估来诊断的。然而,数字健康技术(dht),如可穿戴加速度计,可以捕捉日常生活中的身体活动和步态,从而实现更客观的评估。在这项研究中,我们评估了在社区居住的老年人中部署dht的可行性,并调查了自然环境中体力活动和步态的数字测量与参与者虚弱状态之间的关系。方法:采用油炸虚弱评分(FFS)将50例健康个体分为非虚弱(FFS=0, n/女=21/11,平均±sd年龄:71.10±3.59岁)、虚弱前期(FFS=1-2, n/女=23/9,年龄:73.74±5.52岁)和虚弱(FFS=3+, n/女=6/6,年龄:70.70±6.53岁)。参与者在三次实验室访问期间佩戴腕带和腰带geneactive加速计(Activinsights Ltd., Kimbolton, UK),并在家中进行两周,以测量身体活动和步态。在这段时间之后,他们完成了一份舒适度和可用性调查问卷。居家适应天数定义如下:腕带加速度计佩戴时间≥18小时,腰带加速度计检测到行走次数≥1次。对于每次在家测量,使用线性回归模型和方差分析进行分组分析,以调查虚弱对身体活动和步态的影响。还研究了家庭数字测量与常规实验室评估之间的相关性。结果:参与者对佩戴加速度计的依从性很高,94%的人表示愿意佩戴手腕装置,66%的人表示愿意佩戴腰部装置,至少1周。通过腕部装置测量的久坐活动时间和适度活动时间,以及腰椎装置测量的平均步态速度及其第95百分位数在虚弱组之间存在显著差异。数字测量与自我报告的身体活动之间存在适度的相关性。结论:这项工作强调了在涉及老年人的研究中部署dht的可行性。数字测量在区分脆弱表型方面的潜力将在后续研究中进一步评估,同时不引人注目地收集无偏倚的数据,从而最大限度地减少参与者到现场的旅行。
本文章由计算机程序翻译,如有差异,请以英文原文为准。

Monitoring Gait and Physical Activity of Elderly Frail Individuals in Free-Living Environment: A Feasibility Study.

Monitoring Gait and Physical Activity of Elderly Frail Individuals in Free-Living Environment: A Feasibility Study.

Monitoring Gait and Physical Activity of Elderly Frail Individuals in Free-Living Environment: A Feasibility Study.

Monitoring Gait and Physical Activity of Elderly Frail Individuals in Free-Living Environment: A Feasibility Study.

Introduction: Frailty is conventionally diagnosed using clinical tests and self-reported assessments. However, digital health technologies (DHTs), such as wearable accelerometers, can capture physical activity and gait during daily life, enabling more objective assessments. In this study, we assess the feasibility of deploying DHTs in community-dwelling older individuals, and investigate the relationship between digital measurements of physical activity and gait in naturalistic environments and participants' frailty status, as measured by conventional assessments.

Methods: Fried Frailty Score (FFS) was used to classify fifty healthy individuals as non-frail (FFS = 0, n/female = 21/11, mean ± SD age: 71.10 ± 3.59 years), pre-frail (FFS = 1-2, n/female = 23/9, age: 73.74 ± 5.52 years), or frail (FFS = 3+, n/female = 6/6, age: 70.70 ± 6.53 years). Participants wore wrist-worn and lumbar-worn GENEActiv accelerometers (Activinsights Ltd., Kimbolton, UK) during three in-laboratory visits, and at-home for 2 weeks, to measure physical activity and gait. After this period, they completed a comfort and usability questionnaire. Compliant days at-home were defined as follows: those with ≥18 h of wear time, for the wrist-worn accelerometer, and those with ≥1 detected walking bout, for the lumbar-worn accelerometer. For each at-home measurement, a group analysis was performed using a linear regression model followed by ANOVA, to investigate the effect of frailty on physical activity and gait. Correlation between at-home digital measurements and conventional in-laboratory assessments was also investigated.

Results: Participants were highly compliant in wearing the accelerometers, as 94% indicated willingness to wear the wrist device, and 66% the lumbar device, for at least 1 week. Time spent in sedentary activity and time spent in moderate activity as measured from the wrist device, as well as average gait speed and its 95th percentile from the lumbar device were significantly different between frailty groups. Moderate correlations between digital measurements and self-reported physical activity were found.

Conclusions: This work highlights the feasibility of deploying DHTs in studies involving older individuals. The potential of digital measurements in distinguishing frailty phenotypes, while unobtrusively collecting unbiased data, thus minimizing participants' travels to sites, will be further assessed in a follow-up study.

求助全文
通过发布文献求助,成功后即可免费获取论文全文。 去求助
来源期刊
Gerontology
Gerontology 医学-老年医学
CiteScore
6.00
自引率
0.00%
发文量
94
审稿时长
6-12 weeks
期刊介绍: In view of the ever-increasing fraction of elderly people, understanding the mechanisms of aging and age-related diseases has become a matter of urgent necessity. ''Gerontology'', the oldest journal in the field, responds to this need by drawing topical contributions from multiple disciplines to support the fundamental goals of extending active life and enhancing its quality. The range of papers is classified into four sections. In the Clinical Section, the aetiology, pathogenesis, prevention and treatment of agerelated diseases are discussed from a gerontological rather than a geriatric viewpoint. The Experimental Section contains up-to-date contributions from basic gerontological research. Papers dealing with behavioural development and related topics are placed in the Behavioural Science Section. Basic aspects of regeneration in different experimental biological systems as well as in the context of medical applications are dealt with in a special section that also contains information on technological advances for the elderly. Providing a primary source of high-quality papers covering all aspects of aging in humans and animals, ''Gerontology'' serves as an ideal information tool for all readers interested in the topic of aging from a broad perspective.
×
引用
GB/T 7714-2015
复制
MLA
复制
APA
复制
导出至
BibTeX EndNote RefMan NoteFirst NoteExpress
×
提示
您的信息不完整,为了账户安全,请先补充。
现在去补充
×
提示
您因"违规操作"
具体请查看互助需知
我知道了
×
提示
确定
请完成安全验证×
copy
已复制链接
快去分享给好友吧!
我知道了
右上角分享
点击右上角分享
0
联系我们:info@booksci.cn Book学术提供免费学术资源搜索服务,方便国内外学者检索中英文文献。致力于提供最便捷和优质的服务体验。 Copyright © 2023 布克学术 All rights reserved.
京ICP备2023020795号-1
ghs 京公网安备 11010802042870号
Book学术文献互助
Book学术文献互助群
群 号:604180095
Book学术官方微信