分子内相互作用和氨的中性损失从碰撞激活,质子化ω-氨基烷基-3-羟基呋喃烷。

IF 0.8 4区 化学 Q4 PHYSICS, ATOMIC, MOLECULAR & CHEMICAL
European Journal of Mass Spectrometry Pub Date : 2024-02-01 Epub Date: 2023-11-17 DOI:10.1177/14690667231214672
J Stuart Grossert, Donatella Boschi, Marco L Lolli, Robert L White
{"title":"分子内相互作用和氨的中性损失从碰撞激活,质子化ω-氨基烷基-3-羟基呋喃烷。","authors":"J Stuart Grossert, Donatella Boschi, Marco L Lolli, Robert L White","doi":"10.1177/14690667231214672","DOIUrl":null,"url":null,"abstract":"<p><p>Gas phase fragmentation reactions of monoprotonated 4-(3-aminopropyl)- and 4-(4-aminobutyl)-3-hydroxyfurazan were investigated to examine potential interactions between functional groups. The two heterocyclic alkyl amines were ionized by electrospray ionization (ESI, positive mode) and fragmented using tandem mass spectrometry (MS/MS). The fragmentation pathways were characterized using pseudo MS<sup>3</sup> experiments, precursor-ion scans, and density functional computations. For both heterocyclic ions, loss of ammonia was the only fragmentation process observed at low collision energies. Computational analysis indicated that the most feasible mechanism was intramolecular nucleophilic displacement of ammonia from the protonated ω-aminoalkyl side chain by N5 of the furazan ring. The alkylated nitrogen in the resulting bicyclic product ion facilitated N-O bond cleavage; subsequent neutral losses of nitric oxide (NO) and carbon monoxide (CO) occurred by homolytic bond cleavages. Next in the multistep sequence, neutral loss of ethylene from a radical cation was observed. A less favorable, competing fragmentation pathway of protonated 4-(3-aminopropyl)-3-hydroxyfurazan was consistent with cleavage of the 3-hydroxyfurazan ring and losses of NO and CO. Overall, the similar fragmentation behavior found for protonated 4-(3-aminopropyl)- and 4-(4-aminobutyl)-3-hydroxyfurazan differed from that previously characterized for furazan analogs with shorter alkyl chains. These observations demonstrate that a small change in the structure of multifunctional, heterocyclic alkyl amines may significantly influence interactions between distinct functional groups and the nature of the fragmentation process.</p>","PeriodicalId":12007,"journal":{"name":"European Journal of Mass Spectrometry","volume":" ","pages":"38-46"},"PeriodicalIF":0.8000,"publicationDate":"2024-02-01","publicationTypes":"Journal Article","fieldsOfStudy":null,"isOpenAccess":false,"openAccessPdf":"https://www.ncbi.nlm.nih.gov/pmc/articles/PMC10809737/pdf/","citationCount":"0","resultStr":"{\"title\":\"Intramolecular interactions and the neutral loss of ammonia from collisionally activated, protonated ω-aminoalkyl-3-hydroxyfurazans.\",\"authors\":\"J Stuart Grossert, Donatella Boschi, Marco L Lolli, Robert L White\",\"doi\":\"10.1177/14690667231214672\",\"DOIUrl\":null,\"url\":null,\"abstract\":\"<p><p>Gas phase fragmentation reactions of monoprotonated 4-(3-aminopropyl)- and 4-(4-aminobutyl)-3-hydroxyfurazan were investigated to examine potential interactions between functional groups. The two heterocyclic alkyl amines were ionized by electrospray ionization (ESI, positive mode) and fragmented using tandem mass spectrometry (MS/MS). The fragmentation pathways were characterized using pseudo MS<sup>3</sup> experiments, precursor-ion scans, and density functional computations. For both heterocyclic ions, loss of ammonia was the only fragmentation process observed at low collision energies. Computational analysis indicated that the most feasible mechanism was intramolecular nucleophilic displacement of ammonia from the protonated ω-aminoalkyl side chain by N5 of the furazan ring. The alkylated nitrogen in the resulting bicyclic product ion facilitated N-O bond cleavage; subsequent neutral losses of nitric oxide (NO) and carbon monoxide (CO) occurred by homolytic bond cleavages. Next in the multistep sequence, neutral loss of ethylene from a radical cation was observed. A less favorable, competing fragmentation pathway of protonated 4-(3-aminopropyl)-3-hydroxyfurazan was consistent with cleavage of the 3-hydroxyfurazan ring and losses of NO and CO. Overall, the similar fragmentation behavior found for protonated 4-(3-aminopropyl)- and 4-(4-aminobutyl)-3-hydroxyfurazan differed from that previously characterized for furazan analogs with shorter alkyl chains. These observations demonstrate that a small change in the structure of multifunctional, heterocyclic alkyl amines may significantly influence interactions between distinct functional groups and the nature of the fragmentation process.</p>\",\"PeriodicalId\":12007,\"journal\":{\"name\":\"European Journal of Mass Spectrometry\",\"volume\":\" \",\"pages\":\"38-46\"},\"PeriodicalIF\":0.8000,\"publicationDate\":\"2024-02-01\",\"publicationTypes\":\"Journal Article\",\"fieldsOfStudy\":null,\"isOpenAccess\":false,\"openAccessPdf\":\"https://www.ncbi.nlm.nih.gov/pmc/articles/PMC10809737/pdf/\",\"citationCount\":\"0\",\"resultStr\":null,\"platform\":\"Semanticscholar\",\"paperid\":null,\"PeriodicalName\":\"European Journal of Mass Spectrometry\",\"FirstCategoryId\":\"92\",\"ListUrlMain\":\"https://doi.org/10.1177/14690667231214672\",\"RegionNum\":4,\"RegionCategory\":\"化学\",\"ArticlePicture\":[],\"TitleCN\":null,\"AbstractTextCN\":null,\"PMCID\":null,\"EPubDate\":\"2023/11/17 0:00:00\",\"PubModel\":\"Epub\",\"JCR\":\"Q4\",\"JCRName\":\"PHYSICS, ATOMIC, MOLECULAR & CHEMICAL\",\"Score\":null,\"Total\":0}","platform":"Semanticscholar","paperid":null,"PeriodicalName":"European Journal of Mass Spectrometry","FirstCategoryId":"92","ListUrlMain":"https://doi.org/10.1177/14690667231214672","RegionNum":4,"RegionCategory":"化学","ArticlePicture":[],"TitleCN":null,"AbstractTextCN":null,"PMCID":null,"EPubDate":"2023/11/17 0:00:00","PubModel":"Epub","JCR":"Q4","JCRName":"PHYSICS, ATOMIC, MOLECULAR & CHEMICAL","Score":null,"Total":0}
引用次数: 0

摘要

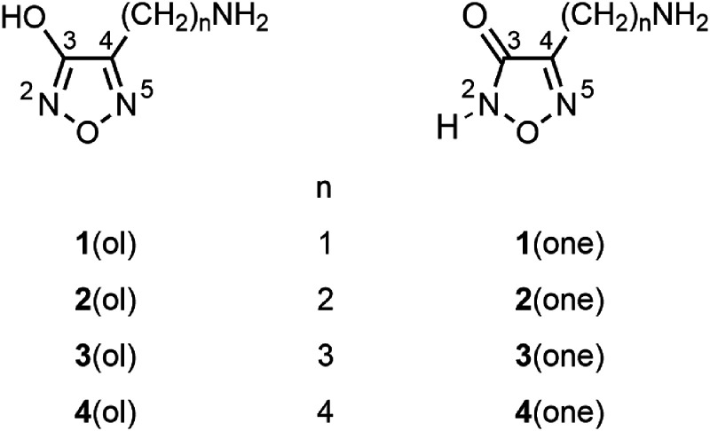
研究了单质子化4-(3-氨基丙基)-和4-(4-氨基丁基)-3-羟基呋喃赞的气相裂解反应,以研究官能团之间可能的相互作用。采用电喷雾电离(ESI,正电模式)和串联质谱(MS/MS)对两种杂环烷基胺进行了离子分离。利用伪MS3实验、前体离子扫描和密度泛函计算表征了碎片化路径。对于这两种杂环离子,氨的损失是在低碰撞能量下观察到的唯一破碎过程。计算分析表明,最可行的机理是呋喃氮环的N5使质子化的ω-氨基烷基侧链上的氨发生亲核位移。生成的双环产物离子中的烷基化氮促进了N-O键的裂解;随后的一氧化氮(NO)和一氧化碳(CO)的中性损失发生均溶键裂解。接下来,在多步骤序列中,观察到从自由基阳离子中乙烯的中性损失。质子化的4-(3-氨基丙基)-3-羟基呋喃赞的不太有利的竞争性断裂途径与3-羟基呋喃赞环的断裂和NO和CO的损失是一致的。总的来说,质子化的4-(3-氨基丙基)-和4-(4-氨基丁基)-3-羟基呋喃赞的类似断裂行为与之前表征的具有较短烷基链的呋喃赞类似物不同。这些观察结果表明,多功能杂环烷基胺结构的微小变化可能会显著影响不同官能团之间的相互作用和破碎过程的性质。
本文章由计算机程序翻译,如有差异,请以英文原文为准。

Intramolecular interactions and the neutral loss of ammonia from collisionally activated, protonated ω-aminoalkyl-3-hydroxyfurazans.

Intramolecular interactions and the neutral loss of ammonia from collisionally activated, protonated ω-aminoalkyl-3-hydroxyfurazans.

Intramolecular interactions and the neutral loss of ammonia from collisionally activated, protonated ω-aminoalkyl-3-hydroxyfurazans.

Intramolecular interactions and the neutral loss of ammonia from collisionally activated, protonated ω-aminoalkyl-3-hydroxyfurazans.

Gas phase fragmentation reactions of monoprotonated 4-(3-aminopropyl)- and 4-(4-aminobutyl)-3-hydroxyfurazan were investigated to examine potential interactions between functional groups. The two heterocyclic alkyl amines were ionized by electrospray ionization (ESI, positive mode) and fragmented using tandem mass spectrometry (MS/MS). The fragmentation pathways were characterized using pseudo MS3 experiments, precursor-ion scans, and density functional computations. For both heterocyclic ions, loss of ammonia was the only fragmentation process observed at low collision energies. Computational analysis indicated that the most feasible mechanism was intramolecular nucleophilic displacement of ammonia from the protonated ω-aminoalkyl side chain by N5 of the furazan ring. The alkylated nitrogen in the resulting bicyclic product ion facilitated N-O bond cleavage; subsequent neutral losses of nitric oxide (NO) and carbon monoxide (CO) occurred by homolytic bond cleavages. Next in the multistep sequence, neutral loss of ethylene from a radical cation was observed. A less favorable, competing fragmentation pathway of protonated 4-(3-aminopropyl)-3-hydroxyfurazan was consistent with cleavage of the 3-hydroxyfurazan ring and losses of NO and CO. Overall, the similar fragmentation behavior found for protonated 4-(3-aminopropyl)- and 4-(4-aminobutyl)-3-hydroxyfurazan differed from that previously characterized for furazan analogs with shorter alkyl chains. These observations demonstrate that a small change in the structure of multifunctional, heterocyclic alkyl amines may significantly influence interactions between distinct functional groups and the nature of the fragmentation process.

求助全文
通过发布文献求助,成功后即可免费获取论文全文。 去求助
来源期刊
CiteScore
2.40
自引率
7.70%
发文量
16
审稿时长
>12 weeks
期刊介绍: JMS - European Journal of Mass Spectrometry, is a peer-reviewed journal, devoted to the publication of innovative research in mass spectrometry. Articles in the journal come from proteomics, metabolomics, petroleomics and other areas developing under the umbrella of the “omic revolution”.
×
引用
GB/T 7714-2015
复制
MLA
复制
APA
复制
导出至
BibTeX EndNote RefMan NoteFirst NoteExpress
×
提示
您的信息不完整,为了账户安全,请先补充。
现在去补充
×
提示
您因"违规操作"
具体请查看互助需知
我知道了
×
提示
确定
请完成安全验证×
copy
已复制链接
快去分享给好友吧!
我知道了
右上角分享
点击右上角分享
0
联系我们:info@booksci.cn Book学术提供免费学术资源搜索服务,方便国内外学者检索中英文文献。致力于提供最便捷和优质的服务体验。 Copyright © 2023 布克学术 All rights reserved.
京ICP备2023020795号-1
ghs 京公网安备 11010802042870号
Book学术文献互助
Book学术文献互助群
群 号:604180095
Book学术官方微信