温度变化对鸡蛋品质影响的比较评价:从农场到餐桌暴露情景。

IF 3.7 3区 农林科学 Q2 FOOD SCIENCE & TECHNOLOGY
Ji-Hoon An, Youngmin Hwang, Sumin Hwang, Hyojin Kwon, Hyelim Gu, Kihwan Park, Changsun Choi
{"title":"温度变化对鸡蛋品质影响的比较评价:从农场到餐桌暴露情景。","authors":"Ji-Hoon An, Youngmin Hwang, Sumin Hwang, Hyojin Kwon, Hyelim Gu, Kihwan Park, Changsun Choi","doi":"10.5851/kosfa.2023.e62","DOIUrl":null,"url":null,"abstract":"<p><p>This study aimed to develop appropriate temperature management practices and provide scientific evidence to support the development of sell-by-date guidance for eggs. Washed and unwashed eggs were subjected to storage under six different scenarios, and both types of eggs were stored at temperatures up to 35°C to evaluate the sell-by-date. Despite temperature fluctuations or continuous storage at 30°C for 5 days, subsequent storage at 10°C resulted in significantly higher Haugh unit and yolk index on day 15. These results indicate that refrigerating eggs from retail sales until consumption is effective for egg quality management, despite the exposure of up to 35°C during distribution. In terms of sell-by-date evaluation, washed eggs retained class B quality for an additional 37 days beyond the recommended sell-by-date at 15°C, which is above the regulated storage temperature. However, unwashed eggs maintained class B quality for approximately 20 days at 30°C-35°C, emphasizing the need for sell-by-date guidelines for unwashed eggs. This study is the first to provide appropriate egg-handling practices based on the actual distribution environment in Korea.</p>","PeriodicalId":12459,"journal":{"name":"Food Science of Animal Resources","volume":"43 6","pages":"1002-1016"},"PeriodicalIF":3.7000,"publicationDate":"2023-11-01","publicationTypes":"Journal Article","fieldsOfStudy":null,"isOpenAccess":false,"openAccessPdf":"https://www.ncbi.nlm.nih.gov/pmc/articles/PMC10636220/pdf/","citationCount":"0","resultStr":"{\"title\":\"Comparative Evaluation of Egg Quality in Response to Temperature Variability: From Farm to Table Exposure Scenarios.\",\"authors\":\"Ji-Hoon An, Youngmin Hwang, Sumin Hwang, Hyojin Kwon, Hyelim Gu, Kihwan Park, Changsun Choi\",\"doi\":\"10.5851/kosfa.2023.e62\",\"DOIUrl\":null,\"url\":null,\"abstract\":\"<p><p>This study aimed to develop appropriate temperature management practices and provide scientific evidence to support the development of sell-by-date guidance for eggs. Washed and unwashed eggs were subjected to storage under six different scenarios, and both types of eggs were stored at temperatures up to 35°C to evaluate the sell-by-date. Despite temperature fluctuations or continuous storage at 30°C for 5 days, subsequent storage at 10°C resulted in significantly higher Haugh unit and yolk index on day 15. These results indicate that refrigerating eggs from retail sales until consumption is effective for egg quality management, despite the exposure of up to 35°C during distribution. In terms of sell-by-date evaluation, washed eggs retained class B quality for an additional 37 days beyond the recommended sell-by-date at 15°C, which is above the regulated storage temperature. However, unwashed eggs maintained class B quality for approximately 20 days at 30°C-35°C, emphasizing the need for sell-by-date guidelines for unwashed eggs. This study is the first to provide appropriate egg-handling practices based on the actual distribution environment in Korea.</p>\",\"PeriodicalId\":12459,\"journal\":{\"name\":\"Food Science of Animal Resources\",\"volume\":\"43 6\",\"pages\":\"1002-1016\"},\"PeriodicalIF\":3.7000,\"publicationDate\":\"2023-11-01\",\"publicationTypes\":\"Journal Article\",\"fieldsOfStudy\":null,\"isOpenAccess\":false,\"openAccessPdf\":\"https://www.ncbi.nlm.nih.gov/pmc/articles/PMC10636220/pdf/\",\"citationCount\":\"0\",\"resultStr\":null,\"platform\":\"Semanticscholar\",\"paperid\":null,\"PeriodicalName\":\"Food Science of Animal Resources\",\"FirstCategoryId\":\"97\",\"ListUrlMain\":\"https://doi.org/10.5851/kosfa.2023.e62\",\"RegionNum\":3,\"RegionCategory\":\"农林科学\",\"ArticlePicture\":[],\"TitleCN\":null,\"AbstractTextCN\":null,\"PMCID\":null,\"EPubDate\":\"\",\"PubModel\":\"\",\"JCR\":\"Q2\",\"JCRName\":\"FOOD SCIENCE & TECHNOLOGY\",\"Score\":null,\"Total\":0}","platform":"Semanticscholar","paperid":null,"PeriodicalName":"Food Science of Animal Resources","FirstCategoryId":"97","ListUrlMain":"https://doi.org/10.5851/kosfa.2023.e62","RegionNum":3,"RegionCategory":"农林科学","ArticlePicture":[],"TitleCN":null,"AbstractTextCN":null,"PMCID":null,"EPubDate":"","PubModel":"","JCR":"Q2","JCRName":"FOOD SCIENCE & TECHNOLOGY","Score":null,"Total":0}
引用次数: 0

摘要

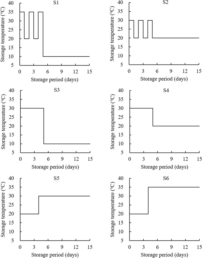
本研究旨在制定适当的温度管理措施,并为鸡蛋保质期指南的制定提供科学依据。清洗和未清洗的鸡蛋在六种不同的情况下储存,两种类型的鸡蛋都在高达35°C的温度下储存,以评估销售日期。尽管温度波动或在30°C下连续保存5天,但在10°C下继续保存,第15天的哈夫单位和蛋黄指数均显著提高。这些结果表明,尽管鸡蛋在分销过程中暴露在高达35°C的环境中,但从零售到消费的冷藏鸡蛋对鸡蛋质量管理是有效的。在保质期评估方面,在高于规定储存温度的15°C条件下,洗过的鸡蛋在推荐保质期后多保留了37天的B级品质。然而,未经清洗的鸡蛋在30°C-35°C下保持B级质量约20天,这强调了对未经清洗的鸡蛋制定销售日期指南的必要性。这是根据国内流通环境,首次提出适当的鸡蛋处理方法的研究。
本文章由计算机程序翻译,如有差异,请以英文原文为准。

Comparative Evaluation of Egg Quality in Response to Temperature Variability: From Farm to Table Exposure Scenarios.

Comparative Evaluation of Egg Quality in Response to Temperature Variability: From Farm to Table Exposure Scenarios.

Comparative Evaluation of Egg Quality in Response to Temperature Variability: From Farm to Table Exposure Scenarios.

Comparative Evaluation of Egg Quality in Response to Temperature Variability: From Farm to Table Exposure Scenarios.

This study aimed to develop appropriate temperature management practices and provide scientific evidence to support the development of sell-by-date guidance for eggs. Washed and unwashed eggs were subjected to storage under six different scenarios, and both types of eggs were stored at temperatures up to 35°C to evaluate the sell-by-date. Despite temperature fluctuations or continuous storage at 30°C for 5 days, subsequent storage at 10°C resulted in significantly higher Haugh unit and yolk index on day 15. These results indicate that refrigerating eggs from retail sales until consumption is effective for egg quality management, despite the exposure of up to 35°C during distribution. In terms of sell-by-date evaluation, washed eggs retained class B quality for an additional 37 days beyond the recommended sell-by-date at 15°C, which is above the regulated storage temperature. However, unwashed eggs maintained class B quality for approximately 20 days at 30°C-35°C, emphasizing the need for sell-by-date guidelines for unwashed eggs. This study is the first to provide appropriate egg-handling practices based on the actual distribution environment in Korea.

求助全文
通过发布文献求助,成功后即可免费获取论文全文。 去求助
来源期刊
Food Science of Animal Resources
Food Science of Animal Resources Agricultural and Biological Sciences-Animal Science and Zoology
CiteScore
6.70
自引率
6.70%
发文量
75
期刊介绍: Food Science of Animal Resources (Food Sci. Anim. Resour.) is an international, peer-reviewed journal publishing original research and review articles on scientific and technological aspects of chemistry, biotechnology, processing, engineering, and microbiology of meat, egg, dairy, and edible insect/worm products.
×
引用
GB/T 7714-2015
复制
MLA
复制
APA
复制
导出至
BibTeX EndNote RefMan NoteFirst NoteExpress
×
提示
您的信息不完整,为了账户安全,请先补充。
现在去补充
×
提示
您因"违规操作"
具体请查看互助需知
我知道了
×
提示
确定
请完成安全验证×
copy
已复制链接
快去分享给好友吧!
我知道了
右上角分享
点击右上角分享
0
联系我们:info@booksci.cn Book学术提供免费学术资源搜索服务,方便国内外学者检索中英文文献。致力于提供最便捷和优质的服务体验。 Copyright © 2023 布克学术 All rights reserved.
京ICP备2023020795号-1
ghs 京公网安备 11010802042870号
Book学术文献互助
Book学术文献互助群
群 号:604180095
Book学术官方微信