口服避孕药的年轻健康女性与年轻健康男性在固定强度和自定节奏高温运动中的热休克蛋白反应

Q3 Health Professions
K J Onus, J Cannon, F E Marino
{"title":"口服避孕药的年轻健康女性与年轻健康男性在固定强度和自定节奏高温运动中的热休克蛋白反应","authors":"K J Onus,&nbsp;J Cannon,&nbsp;F E Marino","doi":"10.17159/2078-516X/2022/v34i1a11757","DOIUrl":null,"url":null,"abstract":"<p><strong>Background: </strong>Heat shock proteins respond to a variety of physiological and environmental stresses, including heat stress, ischemia and endotoxic shock. Hormonal changes during the female menstrual cycle can have a thermogenic effect on body temperature. The monophasic oral contraceptive (OC) pill provides low doses of progesterone and oestrogen over the course of the normal menstrual phase. There is little evidence regarding the combined effects of OC on exercise performance and heat stress with respect to heat shock protein response.</p><p><strong>Objectives: </strong>This study aimed to determine the response of heat shock proteins (Hsp72) during fixed-intensity and self-paced exercise in the heat in young, healthy women on oral contraceptives compared with young healthy men.</p><p><strong>Methods: </strong>Sixteen physically active men and women performed 30 min fixed-intensity cycling at 50% of maximum workload, followed by 30 min of a self-paced time trial (TT) interspersed by 30 s maximal sprint at 9, 19 and 29 min respectively. Trials were undertaken in cool (20°C; 48±3% relative humidity (RH)) and warm (32°C; 66±2% RH) ambient conditions. Core (<i>T</i> <sub>c</sub>) and skin temperature, heart rate (HR) and subjective responses were measured before, during and post exercise.</p><p><strong>Results: </strong>The distance, mean and peak power output, mean and peak speed during the self-paced time trial showed no difference between the ambient temperatures for men and women. Hsp72 in females was higher than males at all sample points at both 20°C and 32°C, except for pre-exercise at 20°C (<i>p</i>< 0.04). Women also attained a higher <i>T</i> <sub>c</sub> than men at the end of the TT in the heat (38.5°C v 37.9°C for women and men, respectively; <i>p</i><0.03), higher mean HR and perceived exertion.</p><p><strong>Conclusion: </strong>This study indicates that females who use oral contraceptives (OC) had higher levels of Hsp72 than males when tested under the same environmental conditions.</p>","PeriodicalId":31065,"journal":{"name":"South African Journal of Sports Medicine","volume":"34 1","pages":"v34i1a11757"},"PeriodicalIF":0.0000,"publicationDate":"2022-01-01","publicationTypes":"Journal Article","fieldsOfStudy":null,"isOpenAccess":false,"openAccessPdf":"https://www.ncbi.nlm.nih.gov/pmc/articles/PMC9924522/pdf/","citationCount":"0","resultStr":"{\"title\":\"Heat shock protein response during fixed intensity and self-paced exercise in the heat in young, healthy women on oral contraceptives compared with young healthy men.\",\"authors\":\"K J Onus,&nbsp;J Cannon,&nbsp;F E Marino\",\"doi\":\"10.17159/2078-516X/2022/v34i1a11757\",\"DOIUrl\":null,\"url\":null,\"abstract\":\"<p><strong>Background: </strong>Heat shock proteins respond to a variety of physiological and environmental stresses, including heat stress, ischemia and endotoxic shock. Hormonal changes during the female menstrual cycle can have a thermogenic effect on body temperature. The monophasic oral contraceptive (OC) pill provides low doses of progesterone and oestrogen over the course of the normal menstrual phase. There is little evidence regarding the combined effects of OC on exercise performance and heat stress with respect to heat shock protein response.</p><p><strong>Objectives: </strong>This study aimed to determine the response of heat shock proteins (Hsp72) during fixed-intensity and self-paced exercise in the heat in young, healthy women on oral contraceptives compared with young healthy men.</p><p><strong>Methods: </strong>Sixteen physically active men and women performed 30 min fixed-intensity cycling at 50% of maximum workload, followed by 30 min of a self-paced time trial (TT) interspersed by 30 s maximal sprint at 9, 19 and 29 min respectively. Trials were undertaken in cool (20°C; 48±3% relative humidity (RH)) and warm (32°C; 66±2% RH) ambient conditions. Core (<i>T</i> <sub>c</sub>) and skin temperature, heart rate (HR) and subjective responses were measured before, during and post exercise.</p><p><strong>Results: </strong>The distance, mean and peak power output, mean and peak speed during the self-paced time trial showed no difference between the ambient temperatures for men and women. Hsp72 in females was higher than males at all sample points at both 20°C and 32°C, except for pre-exercise at 20°C (<i>p</i>< 0.04). Women also attained a higher <i>T</i> <sub>c</sub> than men at the end of the TT in the heat (38.5°C v 37.9°C for women and men, respectively; <i>p</i><0.03), higher mean HR and perceived exertion.</p><p><strong>Conclusion: </strong>This study indicates that females who use oral contraceptives (OC) had higher levels of Hsp72 than males when tested under the same environmental conditions.</p>\",\"PeriodicalId\":31065,\"journal\":{\"name\":\"South African Journal of Sports Medicine\",\"volume\":\"34 1\",\"pages\":\"v34i1a11757\"},\"PeriodicalIF\":0.0000,\"publicationDate\":\"2022-01-01\",\"publicationTypes\":\"Journal Article\",\"fieldsOfStudy\":null,\"isOpenAccess\":false,\"openAccessPdf\":\"https://www.ncbi.nlm.nih.gov/pmc/articles/PMC9924522/pdf/\",\"citationCount\":\"0\",\"resultStr\":null,\"platform\":\"Semanticscholar\",\"paperid\":null,\"PeriodicalName\":\"South African Journal of Sports Medicine\",\"FirstCategoryId\":\"1085\",\"ListUrlMain\":\"https://doi.org/10.17159/2078-516X/2022/v34i1a11757\",\"RegionNum\":0,\"RegionCategory\":null,\"ArticlePicture\":[],\"TitleCN\":null,\"AbstractTextCN\":null,\"PMCID\":null,\"EPubDate\":\"\",\"PubModel\":\"\",\"JCR\":\"Q3\",\"JCRName\":\"Health Professions\",\"Score\":null,\"Total\":0}","platform":"Semanticscholar","paperid":null,"PeriodicalName":"South African Journal of Sports Medicine","FirstCategoryId":"1085","ListUrlMain":"https://doi.org/10.17159/2078-516X/2022/v34i1a11757","RegionNum":0,"RegionCategory":null,"ArticlePicture":[],"TitleCN":null,"AbstractTextCN":null,"PMCID":null,"EPubDate":"","PubModel":"","JCR":"Q3","JCRName":"Health Professions","Score":null,"Total":0}
引用次数: 0

摘要

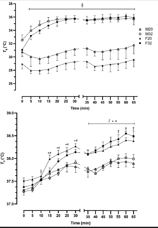
背景:热休克蛋白响应多种生理和环境应激,包括热应激、缺血和内毒素休克。女性月经周期中的荷尔蒙变化会对体温产生产热效应。单相口服避孕药(OC)在正常月经期间提供低剂量的黄体酮和雌激素。在热休克蛋白反应方面,很少有证据表明OC对运动表现和热应激的综合影响。目的:本研究旨在确定热休克蛋白(Hsp72)在固定强度和自定节奏的高温运动中对口服避孕药的年轻健康女性和年轻健康男性的反应。方法:16名身体活跃的男性和女性分别在最大工作量的50%下进行30分钟的固定强度自行车运动,然后进行30分钟的自定节奏计时赛(TT),中间分别在9、19和29分钟进行30秒的最大冲刺。试验在凉爽(20°C;48±3%相对湿度(RH))和温暖(32℃;66±2% RH)环境条件。在运动前、运动中和运动后分别测量核心(T c)、皮肤温度、心率(HR)和主观反应。结果:在自定节奏计时赛中,男性和女性的距离、平均和峰值功率输出、平均和峰值速度在环境温度上没有差异。在20°C和32°C条件下,女性的Hsp72在所有采样点均高于男性,但在20°C条件下运动前除外(p< 0.04)。在高温下,女性在TT结束时的体温也高于男性(女性和男性分别为38.5°c和37.9°c);结论:在相同的环境条件下,口服避孕药(OC)的女性血清Hsp72水平高于男性。
本文章由计算机程序翻译,如有差异,请以英文原文为准。

Heat shock protein response during fixed intensity and self-paced exercise in the heat in young, healthy women on oral contraceptives compared with young healthy men.

Heat shock protein response during fixed intensity and self-paced exercise in the heat in young, healthy women on oral contraceptives compared with young healthy men.

Heat shock protein response during fixed intensity and self-paced exercise in the heat in young, healthy women on oral contraceptives compared with young healthy men.

Background: Heat shock proteins respond to a variety of physiological and environmental stresses, including heat stress, ischemia and endotoxic shock. Hormonal changes during the female menstrual cycle can have a thermogenic effect on body temperature. The monophasic oral contraceptive (OC) pill provides low doses of progesterone and oestrogen over the course of the normal menstrual phase. There is little evidence regarding the combined effects of OC on exercise performance and heat stress with respect to heat shock protein response.

Objectives: This study aimed to determine the response of heat shock proteins (Hsp72) during fixed-intensity and self-paced exercise in the heat in young, healthy women on oral contraceptives compared with young healthy men.

Methods: Sixteen physically active men and women performed 30 min fixed-intensity cycling at 50% of maximum workload, followed by 30 min of a self-paced time trial (TT) interspersed by 30 s maximal sprint at 9, 19 and 29 min respectively. Trials were undertaken in cool (20°C; 48±3% relative humidity (RH)) and warm (32°C; 66±2% RH) ambient conditions. Core (T c) and skin temperature, heart rate (HR) and subjective responses were measured before, during and post exercise.

Results: The distance, mean and peak power output, mean and peak speed during the self-paced time trial showed no difference between the ambient temperatures for men and women. Hsp72 in females was higher than males at all sample points at both 20°C and 32°C, except for pre-exercise at 20°C (p< 0.04). Women also attained a higher T c than men at the end of the TT in the heat (38.5°C v 37.9°C for women and men, respectively; p<0.03), higher mean HR and perceived exertion.

Conclusion: This study indicates that females who use oral contraceptives (OC) had higher levels of Hsp72 than males when tested under the same environmental conditions.

求助全文
通过发布文献求助,成功后即可免费获取论文全文。 去求助
来源期刊
CiteScore
1.30
自引率
0.00%
发文量
30
审稿时长
12 weeks
×
引用
GB/T 7714-2015
复制
MLA
复制
APA
复制
导出至
BibTeX EndNote RefMan NoteFirst NoteExpress
×
提示
您的信息不完整,为了账户安全,请先补充。
现在去补充
×
提示
您因"违规操作"
具体请查看互助需知
我知道了
×
提示
确定
请完成安全验证×
copy
已复制链接
快去分享给好友吧!
我知道了
右上角分享
点击右上角分享
0
联系我们:info@booksci.cn Book学术提供免费学术资源搜索服务,方便国内外学者检索中英文文献。致力于提供最便捷和优质的服务体验。 Copyright © 2023 布克学术 All rights reserved.
京ICP备2023020795号-1
ghs 京公网安备 11010802042870号
Book学术文献互助
Book学术文献互助群
群 号:604180095
Book学术官方微信