护理文件实践和相关因素在埃塞俄比亚病人护理:系统回顾和荟萃分析。

Advances in Medicine Pub Date : 2023-11-06 eCollection Date: 2023-01-01 DOI:10.1155/2023/5565226
Temesgen Geta Hardido, Beimnet Desalegn Kedida, Eustes Kigongo
{"title":"护理文件实践和相关因素在埃塞俄比亚病人护理:系统回顾和荟萃分析。","authors":"Temesgen Geta Hardido, Beimnet Desalegn Kedida, Eustes Kigongo","doi":"10.1155/2023/5565226","DOIUrl":null,"url":null,"abstract":"<p><strong>Background: </strong>Ineffective nursing documentation practices have been reported to negatively impact patient outcomes and health professional efficiency. On the prevalence of nurses' documentation practices in Ethiopia, several separate studies have been carried out. However, there is no pooled prevalence of nurses' documentation practice. Therefore, this systematic review and meta-analysis aimed to assess the overall prevalence of nursing care documentation practice and related factors in Ethiopia.</p><p><strong>Methods and materials: </strong>This review only included articles that were published. The main databases were Medline/PubMed, Web of Science, Google Scholar, Scopus, Ethiopian University Repository Online, and the Cochrane Library. Cross-sectional studies that satisfy the criteria and are written in English are included in the review. Using a random effects model, the pooled prevalence of nurses' documentation practices was determined. The funnel plot and the Eggers test were also used to look into publication bias. All statistical analyses were done with STATA version 14.</p><p><strong>Result: </strong>This review included nine studies with a total of 2,900 participants. The pooled prevalence of nurses' documentation practice in Ethiopia was 50.01% (95% CI: 42.59 and 57.18; <i>I</i><sup>2</sup> = 93.8%; and <i>P</i> ≤ 0.001). In terms of subgroup analysis, Addis Ababa had the highest prevalence of nurses' documentation practice at 84% (95% CI: 77.18 and 90.82), while Southern Ethiopia had the lowest at 40.00% (95% CI: 38.10 and 44.90). Nursing documentation practices were statistically associated with the availability of nursing documentation formats, adequate nurse-to-patient ratio, motivation, and training.</p><p><strong>Conclusion: </strong>This review showed that one in two nurses practiced poor documentation of their daily activities in Ethiopia. Therefore, strict monitoring, evaluation, and supervision of nursing care documentation services are highly recommended for all stakeholders. We strongly recommend improving the identified factors by arranging training for nurses, motivating them, providing adequate documentation formats, and maintaining a nurse-to-patient ratio.</p>","PeriodicalId":53309,"journal":{"name":"Advances in Medicine","volume":"2023 ","pages":"5565226"},"PeriodicalIF":0.0000,"publicationDate":"2023-11-06","publicationTypes":"Journal Article","fieldsOfStudy":null,"isOpenAccess":false,"openAccessPdf":"https://www.ncbi.nlm.nih.gov/pmc/articles/PMC10643037/pdf/","citationCount":"0","resultStr":"{\"title\":\"Nursing Documentation Practices and Related Factors in Patient Care in Ethiopia: A Systematic Review and Meta-Analysis.\",\"authors\":\"Temesgen Geta Hardido, Beimnet Desalegn Kedida, Eustes Kigongo\",\"doi\":\"10.1155/2023/5565226\",\"DOIUrl\":null,\"url\":null,\"abstract\":\"<p><strong>Background: </strong>Ineffective nursing documentation practices have been reported to negatively impact patient outcomes and health professional efficiency. On the prevalence of nurses' documentation practices in Ethiopia, several separate studies have been carried out. However, there is no pooled prevalence of nurses' documentation practice. Therefore, this systematic review and meta-analysis aimed to assess the overall prevalence of nursing care documentation practice and related factors in Ethiopia.</p><p><strong>Methods and materials: </strong>This review only included articles that were published. The main databases were Medline/PubMed, Web of Science, Google Scholar, Scopus, Ethiopian University Repository Online, and the Cochrane Library. Cross-sectional studies that satisfy the criteria and are written in English are included in the review. Using a random effects model, the pooled prevalence of nurses' documentation practices was determined. The funnel plot and the Eggers test were also used to look into publication bias. All statistical analyses were done with STATA version 14.</p><p><strong>Result: </strong>This review included nine studies with a total of 2,900 participants. The pooled prevalence of nurses' documentation practice in Ethiopia was 50.01% (95% CI: 42.59 and 57.18; <i>I</i><sup>2</sup> = 93.8%; and <i>P</i> ≤ 0.001). In terms of subgroup analysis, Addis Ababa had the highest prevalence of nurses' documentation practice at 84% (95% CI: 77.18 and 90.82), while Southern Ethiopia had the lowest at 40.00% (95% CI: 38.10 and 44.90). Nursing documentation practices were statistically associated with the availability of nursing documentation formats, adequate nurse-to-patient ratio, motivation, and training.</p><p><strong>Conclusion: </strong>This review showed that one in two nurses practiced poor documentation of their daily activities in Ethiopia. Therefore, strict monitoring, evaluation, and supervision of nursing care documentation services are highly recommended for all stakeholders. We strongly recommend improving the identified factors by arranging training for nurses, motivating them, providing adequate documentation formats, and maintaining a nurse-to-patient ratio.</p>\",\"PeriodicalId\":53309,\"journal\":{\"name\":\"Advances in Medicine\",\"volume\":\"2023 \",\"pages\":\"5565226\"},\"PeriodicalIF\":0.0000,\"publicationDate\":\"2023-11-06\",\"publicationTypes\":\"Journal Article\",\"fieldsOfStudy\":null,\"isOpenAccess\":false,\"openAccessPdf\":\"https://www.ncbi.nlm.nih.gov/pmc/articles/PMC10643037/pdf/\",\"citationCount\":\"0\",\"resultStr\":null,\"platform\":\"Semanticscholar\",\"paperid\":null,\"PeriodicalName\":\"Advances in Medicine\",\"FirstCategoryId\":\"1085\",\"ListUrlMain\":\"https://doi.org/10.1155/2023/5565226\",\"RegionNum\":0,\"RegionCategory\":null,\"ArticlePicture\":[],\"TitleCN\":null,\"AbstractTextCN\":null,\"PMCID\":null,\"EPubDate\":\"2023/1/1 0:00:00\",\"PubModel\":\"eCollection\",\"JCR\":\"\",\"JCRName\":\"\",\"Score\":null,\"Total\":0}","platform":"Semanticscholar","paperid":null,"PeriodicalName":"Advances in Medicine","FirstCategoryId":"1085","ListUrlMain":"https://doi.org/10.1155/2023/5565226","RegionNum":0,"RegionCategory":null,"ArticlePicture":[],"TitleCN":null,"AbstractTextCN":null,"PMCID":null,"EPubDate":"2023/1/1 0:00:00","PubModel":"eCollection","JCR":"","JCRName":"","Score":null,"Total":0}
引用次数: 0

摘要

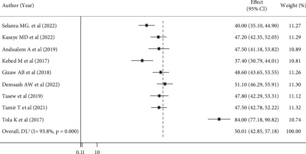
背景:据报道,无效的护理文件实践会对患者的预后和卫生专业人员的效率产生负面影响。关于埃塞俄比亚护士记录做法的普遍程度,已经进行了几项单独的研究。然而,没有集中流行的护士文件的做法。因此,本系统综述和荟萃分析旨在评估埃塞俄比亚护理文件实践的总体流行程度及其相关因素。方法和材料:本综述仅纳入已发表的文章。主要数据库为Medline/PubMed、Web of Science、谷歌Scholar、Scopus、Ethiopian University Repository Online和Cochrane Library。符合标准并以英文撰写的横断面研究包括在评论中。采用随机效应模型,确定了护士记录实践的总体流行率。漏斗图和Eggers检验也用于研究发表偏倚。所有统计分析均使用STATA version 14完成。结果:本综述包括9项研究,共2900名参与者。埃塞俄比亚护士记录实践的总流行率为50.01% (95% CI: 42.59和57.18;i2 = 93.8%;P≤0.001)。在亚组分析方面,亚的斯亚贝巴的护士文件实践患病率最高,为84% (95% CI: 77.18和90.82),而埃塞俄比亚南部最低,为40.00% (95% CI: 38.10和44.90)。护理文件编制实践在统计上与护理文件格式的可用性、适当的护士与病人比例、动机和培训相关。结论:本综述显示,在埃塞俄比亚,每两个护士中就有一个对其日常活动记录不佳。因此,强烈建议所有利益相关者对护理文件服务进行严格的监测、评估和监督。我们强烈建议通过安排护士培训、激励护士、提供适当的文件格式和保持护士与患者的比例来改善已确定的因素。
本文章由计算机程序翻译,如有差异,请以英文原文为准。

Nursing Documentation Practices and Related Factors in Patient Care in Ethiopia: A Systematic Review and Meta-Analysis.

Nursing Documentation Practices and Related Factors in Patient Care in Ethiopia: A Systematic Review and Meta-Analysis.

Nursing Documentation Practices and Related Factors in Patient Care in Ethiopia: A Systematic Review and Meta-Analysis.

Nursing Documentation Practices and Related Factors in Patient Care in Ethiopia: A Systematic Review and Meta-Analysis.

Background: Ineffective nursing documentation practices have been reported to negatively impact patient outcomes and health professional efficiency. On the prevalence of nurses' documentation practices in Ethiopia, several separate studies have been carried out. However, there is no pooled prevalence of nurses' documentation practice. Therefore, this systematic review and meta-analysis aimed to assess the overall prevalence of nursing care documentation practice and related factors in Ethiopia.

Methods and materials: This review only included articles that were published. The main databases were Medline/PubMed, Web of Science, Google Scholar, Scopus, Ethiopian University Repository Online, and the Cochrane Library. Cross-sectional studies that satisfy the criteria and are written in English are included in the review. Using a random effects model, the pooled prevalence of nurses' documentation practices was determined. The funnel plot and the Eggers test were also used to look into publication bias. All statistical analyses were done with STATA version 14.

Result: This review included nine studies with a total of 2,900 participants. The pooled prevalence of nurses' documentation practice in Ethiopia was 50.01% (95% CI: 42.59 and 57.18; I2 = 93.8%; and P ≤ 0.001). In terms of subgroup analysis, Addis Ababa had the highest prevalence of nurses' documentation practice at 84% (95% CI: 77.18 and 90.82), while Southern Ethiopia had the lowest at 40.00% (95% CI: 38.10 and 44.90). Nursing documentation practices were statistically associated with the availability of nursing documentation formats, adequate nurse-to-patient ratio, motivation, and training.

Conclusion: This review showed that one in two nurses practiced poor documentation of their daily activities in Ethiopia. Therefore, strict monitoring, evaluation, and supervision of nursing care documentation services are highly recommended for all stakeholders. We strongly recommend improving the identified factors by arranging training for nurses, motivating them, providing adequate documentation formats, and maintaining a nurse-to-patient ratio.

求助全文
通过发布文献求助,成功后即可免费获取论文全文。 去求助
来源期刊
自引率
0.00%
发文量
5
审稿时长
22 weeks
×
引用
GB/T 7714-2015
复制
MLA
复制
APA
复制
导出至
BibTeX EndNote RefMan NoteFirst NoteExpress
×
提示
您的信息不完整,为了账户安全,请先补充。
现在去补充
×
提示
您因"违规操作"
具体请查看互助需知
我知道了
×
提示
确定
请完成安全验证×
copy
已复制链接
快去分享给好友吧!
我知道了
右上角分享
点击右上角分享
0
联系我们:info@booksci.cn Book学术提供免费学术资源搜索服务,方便国内外学者检索中英文文献。致力于提供最便捷和优质的服务体验。 Copyright © 2023 布克学术 All rights reserved.
京ICP备2023020795号-1
ghs 京公网安备 11010802042870号
Book学术文献互助
Book学术文献互助群
群 号:604180095
Book学术官方微信