创伤经历对创伤应激的检测:心理弹性因素在5岁以下寄养儿童中的作用。

IF 3.8 2区 医学 Q2 PSYCHIATRY
Kimberly I Tumlin, Amanda Crowley, Brian Turner, Elizabeth Riley, John Lyons
{"title":"创伤经历对创伤应激的检测:心理弹性因素在5岁以下寄养儿童中的作用。","authors":"Kimberly I Tumlin, Amanda Crowley, Brian Turner, Elizabeth Riley, John Lyons","doi":"10.1186/s13033-023-00610-w","DOIUrl":null,"url":null,"abstract":"<p><strong>Background: </strong>Children less than five years of age comprised approximately 30% in 2020 of foster care entries in the United States, and they are consistently the largest foster care entry group. Very young children can respond differently to the same adverse life events. Detection of complex interpersonal traumas is core to providing appropriate interventions and prevention of reoccurring negative outcomes in these children.</p><p><strong>Methods: </strong>Children who (1) were identified as having experienced complex interpersonal trauma, but (2) who did not have traumatic stress symptoms were identified using Child and Adolescent Needs and Strengths data in a large midwestern state from 2010 to 2021. A logistic model was fit to determine the effect of cumulative traumatic exposures (e.g., adverse childhood experiences such that increased events were hypothesized to predict an increased likelihood of symptomatic detection. We conducted a latent class analysis to understand the relationship between traumatic experiences, asset-based factors, and the detection of traumatic stress in children aged five years and under who had exposure to traumatic events but did not have detectable traumatic stress symptoms.</p><p><strong>Results: </strong>We detected three classes within this population of very young children, who were described as \"resilient\" (demonstrating asset-based resilience when faced with traumatic experiences), \"missed\" (those who exhibit behavioral and mental health types like those with detected traumatic stress symptoms but who were not detected as such), and \"unfolding\". Very young children do demonstrate asset-based resilience when faced with traumatic experiences.</p><p><strong>Conclusions: </strong>Detection of traumatic stress may be more difficult in young children. It is important to assess both traumatic stress and strengths to ensure that children who are resilient after exposure to traumatic experiences (i.e., do not demonstrate traumatic stress symptoms) are not referred to unnecessary interventions. Additional educational approaches are needed to help caseworkers identify symptoms of traumatic stress that mirror symptoms of other behavioral and emotional challenges. Precision medicine approaches are required to best match the interventions to specific needs of young children. Recognition of resilience in very young children is critical for designing systems that customize approaches of trauma-informed care.</p>","PeriodicalId":47752,"journal":{"name":"International Journal of Mental Health Systems","volume":"17 1","pages":"39"},"PeriodicalIF":3.8000,"publicationDate":"2023-11-15","publicationTypes":"Journal Article","fieldsOfStudy":null,"isOpenAccess":false,"openAccessPdf":"https://www.ncbi.nlm.nih.gov/pmc/articles/PMC10648362/pdf/","citationCount":"1","resultStr":"{\"title\":\"Detection of traumatic stress in the presence of traumatic experiences: the role of resilience factors in foster care children five years or younger.\",\"authors\":\"Kimberly I Tumlin, Amanda Crowley, Brian Turner, Elizabeth Riley, John Lyons\",\"doi\":\"10.1186/s13033-023-00610-w\",\"DOIUrl\":null,\"url\":null,\"abstract\":\"<p><strong>Background: </strong>Children less than five years of age comprised approximately 30% in 2020 of foster care entries in the United States, and they are consistently the largest foster care entry group. Very young children can respond differently to the same adverse life events. Detection of complex interpersonal traumas is core to providing appropriate interventions and prevention of reoccurring negative outcomes in these children.</p><p><strong>Methods: </strong>Children who (1) were identified as having experienced complex interpersonal trauma, but (2) who did not have traumatic stress symptoms were identified using Child and Adolescent Needs and Strengths data in a large midwestern state from 2010 to 2021. A logistic model was fit to determine the effect of cumulative traumatic exposures (e.g., adverse childhood experiences such that increased events were hypothesized to predict an increased likelihood of symptomatic detection. We conducted a latent class analysis to understand the relationship between traumatic experiences, asset-based factors, and the detection of traumatic stress in children aged five years and under who had exposure to traumatic events but did not have detectable traumatic stress symptoms.</p><p><strong>Results: </strong>We detected three classes within this population of very young children, who were described as \\\"resilient\\\" (demonstrating asset-based resilience when faced with traumatic experiences), \\\"missed\\\" (those who exhibit behavioral and mental health types like those with detected traumatic stress symptoms but who were not detected as such), and \\\"unfolding\\\". Very young children do demonstrate asset-based resilience when faced with traumatic experiences.</p><p><strong>Conclusions: </strong>Detection of traumatic stress may be more difficult in young children. It is important to assess both traumatic stress and strengths to ensure that children who are resilient after exposure to traumatic experiences (i.e., do not demonstrate traumatic stress symptoms) are not referred to unnecessary interventions. Additional educational approaches are needed to help caseworkers identify symptoms of traumatic stress that mirror symptoms of other behavioral and emotional challenges. Precision medicine approaches are required to best match the interventions to specific needs of young children. Recognition of resilience in very young children is critical for designing systems that customize approaches of trauma-informed care.</p>\",\"PeriodicalId\":47752,\"journal\":{\"name\":\"International Journal of Mental Health Systems\",\"volume\":\"17 1\",\"pages\":\"39\"},\"PeriodicalIF\":3.8000,\"publicationDate\":\"2023-11-15\",\"publicationTypes\":\"Journal Article\",\"fieldsOfStudy\":null,\"isOpenAccess\":false,\"openAccessPdf\":\"https://www.ncbi.nlm.nih.gov/pmc/articles/PMC10648362/pdf/\",\"citationCount\":\"1\",\"resultStr\":null,\"platform\":\"Semanticscholar\",\"paperid\":null,\"PeriodicalName\":\"International Journal of Mental Health Systems\",\"FirstCategoryId\":\"3\",\"ListUrlMain\":\"https://doi.org/10.1186/s13033-023-00610-w\",\"RegionNum\":2,\"RegionCategory\":\"医学\",\"ArticlePicture\":[],\"TitleCN\":null,\"AbstractTextCN\":null,\"PMCID\":null,\"EPubDate\":\"\",\"PubModel\":\"\",\"JCR\":\"Q2\",\"JCRName\":\"PSYCHIATRY\",\"Score\":null,\"Total\":0}","platform":"Semanticscholar","paperid":null,"PeriodicalName":"International Journal of Mental Health Systems","FirstCategoryId":"3","ListUrlMain":"https://doi.org/10.1186/s13033-023-00610-w","RegionNum":2,"RegionCategory":"医学","ArticlePicture":[],"TitleCN":null,"AbstractTextCN":null,"PMCID":null,"EPubDate":"","PubModel":"","JCR":"Q2","JCRName":"PSYCHIATRY","Score":null,"Total":0}
引用次数: 1

摘要

背景:2020年,5岁以下儿童约占美国寄养入境人数的30%,他们一直是最大的寄养入境群体。非常年幼的孩子对同样的不良生活事件会有不同的反应。发现复杂的人际创伤是提供适当干预和预防这些儿童再次出现负面结果的核心。方法:使用2010年至2021年在中西部一个大州的儿童和青少年需求和优势数据,对(1)被确定为经历过复杂人际创伤的儿童,但(2)没有创伤应激症状的儿童进行鉴定。一个逻辑模型适合于确定累积创伤暴露的影响(例如,不良的童年经历,这样的事件增加被假设为预测症状检测的可能性增加)。我们进行了一项潜在类别分析,以了解创伤经历、基于资产的因素和五岁及以下暴露于创伤事件但没有可检测到的创伤应激症状的儿童创伤应激检测之间的关系。结果:我们在这个非常年幼的儿童群体中发现了三个类别,他们被描述为“弹性”(在面对创伤经历时表现出基于资产的弹性),“错过”(那些表现出行为和心理健康类型的人,如发现创伤应激症状但未被发现的人),以及“发展”。非常年幼的孩子在面对创伤经历时确实表现出基于资产的韧性。结论:幼儿创伤应激的检测可能更为困难。重要的是评估创伤性压力和长处,以确保在经历创伤后具有复原力的儿童(即不表现出创伤性压力症状)不被转介到不必要的干预措施。需要额外的教育方法来帮助个案工作者识别创伤性压力的症状,这些症状反映了其他行为和情感挑战的症状。需要采用精准医疗方法,使干预措施与幼儿的具体需求最匹配。认识到幼儿的复原力对于设计定制创伤知情护理方法的系统至关重要。
本文章由计算机程序翻译,如有差异,请以英文原文为准。

Detection of traumatic stress in the presence of traumatic experiences: the role of resilience factors in foster care children five years or younger.

Detection of traumatic stress in the presence of traumatic experiences: the role of resilience factors in foster care children five years or younger.

Detection of traumatic stress in the presence of traumatic experiences: the role of resilience factors in foster care children five years or younger.

Detection of traumatic stress in the presence of traumatic experiences: the role of resilience factors in foster care children five years or younger.

Background: Children less than five years of age comprised approximately 30% in 2020 of foster care entries in the United States, and they are consistently the largest foster care entry group. Very young children can respond differently to the same adverse life events. Detection of complex interpersonal traumas is core to providing appropriate interventions and prevention of reoccurring negative outcomes in these children.

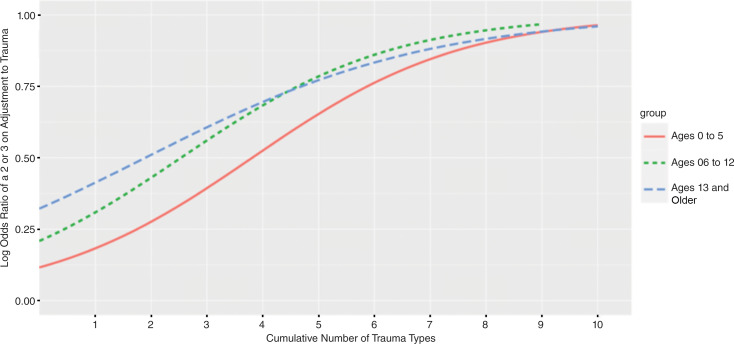
Methods: Children who (1) were identified as having experienced complex interpersonal trauma, but (2) who did not have traumatic stress symptoms were identified using Child and Adolescent Needs and Strengths data in a large midwestern state from 2010 to 2021. A logistic model was fit to determine the effect of cumulative traumatic exposures (e.g., adverse childhood experiences such that increased events were hypothesized to predict an increased likelihood of symptomatic detection. We conducted a latent class analysis to understand the relationship between traumatic experiences, asset-based factors, and the detection of traumatic stress in children aged five years and under who had exposure to traumatic events but did not have detectable traumatic stress symptoms.

Results: We detected three classes within this population of very young children, who were described as "resilient" (demonstrating asset-based resilience when faced with traumatic experiences), "missed" (those who exhibit behavioral and mental health types like those with detected traumatic stress symptoms but who were not detected as such), and "unfolding". Very young children do demonstrate asset-based resilience when faced with traumatic experiences.

Conclusions: Detection of traumatic stress may be more difficult in young children. It is important to assess both traumatic stress and strengths to ensure that children who are resilient after exposure to traumatic experiences (i.e., do not demonstrate traumatic stress symptoms) are not referred to unnecessary interventions. Additional educational approaches are needed to help caseworkers identify symptoms of traumatic stress that mirror symptoms of other behavioral and emotional challenges. Precision medicine approaches are required to best match the interventions to specific needs of young children. Recognition of resilience in very young children is critical for designing systems that customize approaches of trauma-informed care.

求助全文
通过发布文献求助,成功后即可免费获取论文全文。 去求助
来源期刊
CiteScore
6.90
自引率
2.80%
发文量
52
审稿时长
13 weeks
×
引用
GB/T 7714-2015
复制
MLA
复制
APA
复制
导出至
BibTeX EndNote RefMan NoteFirst NoteExpress
×
提示
您的信息不完整,为了账户安全,请先补充。
现在去补充
×
提示
您因"违规操作"
具体请查看互助需知
我知道了
×
提示
确定
请完成安全验证×
copy
已复制链接
快去分享给好友吧!
我知道了
右上角分享
点击右上角分享
0
联系我们:info@booksci.cn Book学术提供免费学术资源搜索服务,方便国内外学者检索中英文文献。致力于提供最便捷和优质的服务体验。 Copyright © 2023 布克学术 All rights reserved.
京ICP备2023020795号-1
ghs 京公网安备 11010802042870号
Book学术文献互助
Book学术文献互助群
群 号:604180095
Book学术官方微信