智能虚拟代理回答问题时的语音模式有助于区分早期神经退行性疾病患者和健康对照者。

IF 1 4区 医学 Q4 AUDIOLOGY & SPEECH-LANGUAGE PATHOLOGY
Clinical Linguistics & Phonetics Pub Date : 2024-09-01 Epub Date: 2023-09-18 DOI:10.1080/02699206.2023.2254458
Gareth Walker, Nathan Pevy, Ronan O'Malley, Bahman Mirheidari, Markus Reuber, Heidi Christensen, Daniel J Blackburn
{"title":"智能虚拟代理回答问题时的语音模式有助于区分早期神经退行性疾病患者和健康对照者。","authors":"Gareth Walker, Nathan Pevy, Ronan O'Malley, Bahman Mirheidari, Markus Reuber, Heidi Christensen, Daniel J Blackburn","doi":"10.1080/02699206.2023.2254458","DOIUrl":null,"url":null,"abstract":"<p><p>Previous research has provided strong evidence that speech patterns can help to distinguish between people with early stage neurodegenerative disorders (ND) and healthy controls. This study examined speech patterns in responses to questions asked by an intelligent virtual agent (IVA): a talking head on a computer which asks pre-recorded questions. The study investigated whether measures of response length, speech rate and pausing in responses to questions asked by an IVA help to distinguish between healthy control participants and people diagnosed with Mild Cognitive Impairment (MCI) or Alzheimer's disease (AD). The study also considered whether those measures can further help to distinguish between people with MCI, people with AD, and healthy control participants (HC). There were 38 people with ND (31 people with MCI, 7 people with AD) and 26 HC. All interactions took place in English. People with MCI spoke fewer words compared to HC, and people with AD and people with MCI spoke for less time than HC. People with AD spoke at a slower rate than people with MCI and HC. There were significant differences across all three groups for the proportion of time spent pausing and the average pause duration: silent pauses make up the greatest proportion of responses from people with AD, who also have the longest average silent pause duration, followed by people with MCI then HC. Therefore, the study demonstrates the potential of an IVA as a method for collecting data showing patterns which can help to distinguish between diagnostic groups.</p>","PeriodicalId":49219,"journal":{"name":"Clinical Linguistics & Phonetics","volume":" ","pages":"880-901"},"PeriodicalIF":1.0000,"publicationDate":"2024-09-01","publicationTypes":"Journal Article","fieldsOfStudy":null,"isOpenAccess":false,"openAccessPdf":"https://www.ncbi.nlm.nih.gov/pmc/articles/PMC11458122/pdf/","citationCount":"0","resultStr":"{\"title\":\"Speech patterns in responses to questions asked by an intelligent virtual agent can help to distinguish between people with early stage neurodegenerative disorders and healthy controls.\",\"authors\":\"Gareth Walker, Nathan Pevy, Ronan O'Malley, Bahman Mirheidari, Markus Reuber, Heidi Christensen, Daniel J Blackburn\",\"doi\":\"10.1080/02699206.2023.2254458\",\"DOIUrl\":null,\"url\":null,\"abstract\":\"<p><p>Previous research has provided strong evidence that speech patterns can help to distinguish between people with early stage neurodegenerative disorders (ND) and healthy controls. This study examined speech patterns in responses to questions asked by an intelligent virtual agent (IVA): a talking head on a computer which asks pre-recorded questions. The study investigated whether measures of response length, speech rate and pausing in responses to questions asked by an IVA help to distinguish between healthy control participants and people diagnosed with Mild Cognitive Impairment (MCI) or Alzheimer's disease (AD). The study also considered whether those measures can further help to distinguish between people with MCI, people with AD, and healthy control participants (HC). There were 38 people with ND (31 people with MCI, 7 people with AD) and 26 HC. All interactions took place in English. People with MCI spoke fewer words compared to HC, and people with AD and people with MCI spoke for less time than HC. People with AD spoke at a slower rate than people with MCI and HC. There were significant differences across all three groups for the proportion of time spent pausing and the average pause duration: silent pauses make up the greatest proportion of responses from people with AD, who also have the longest average silent pause duration, followed by people with MCI then HC. Therefore, the study demonstrates the potential of an IVA as a method for collecting data showing patterns which can help to distinguish between diagnostic groups.</p>\",\"PeriodicalId\":49219,\"journal\":{\"name\":\"Clinical Linguistics & Phonetics\",\"volume\":\" \",\"pages\":\"880-901\"},\"PeriodicalIF\":1.0000,\"publicationDate\":\"2024-09-01\",\"publicationTypes\":\"Journal Article\",\"fieldsOfStudy\":null,\"isOpenAccess\":false,\"openAccessPdf\":\"https://www.ncbi.nlm.nih.gov/pmc/articles/PMC11458122/pdf/\",\"citationCount\":\"0\",\"resultStr\":null,\"platform\":\"Semanticscholar\",\"paperid\":null,\"PeriodicalName\":\"Clinical Linguistics & Phonetics\",\"FirstCategoryId\":\"3\",\"ListUrlMain\":\"https://doi.org/10.1080/02699206.2023.2254458\",\"RegionNum\":4,\"RegionCategory\":\"医学\",\"ArticlePicture\":[],\"TitleCN\":null,\"AbstractTextCN\":null,\"PMCID\":null,\"EPubDate\":\"2023/9/18 0:00:00\",\"PubModel\":\"Epub\",\"JCR\":\"Q4\",\"JCRName\":\"AUDIOLOGY & SPEECH-LANGUAGE PATHOLOGY\",\"Score\":null,\"Total\":0}","platform":"Semanticscholar","paperid":null,"PeriodicalName":"Clinical Linguistics & Phonetics","FirstCategoryId":"3","ListUrlMain":"https://doi.org/10.1080/02699206.2023.2254458","RegionNum":4,"RegionCategory":"医学","ArticlePicture":[],"TitleCN":null,"AbstractTextCN":null,"PMCID":null,"EPubDate":"2023/9/18 0:00:00","PubModel":"Epub","JCR":"Q4","JCRName":"AUDIOLOGY & SPEECH-LANGUAGE PATHOLOGY","Score":null,"Total":0}
引用次数: 0

摘要

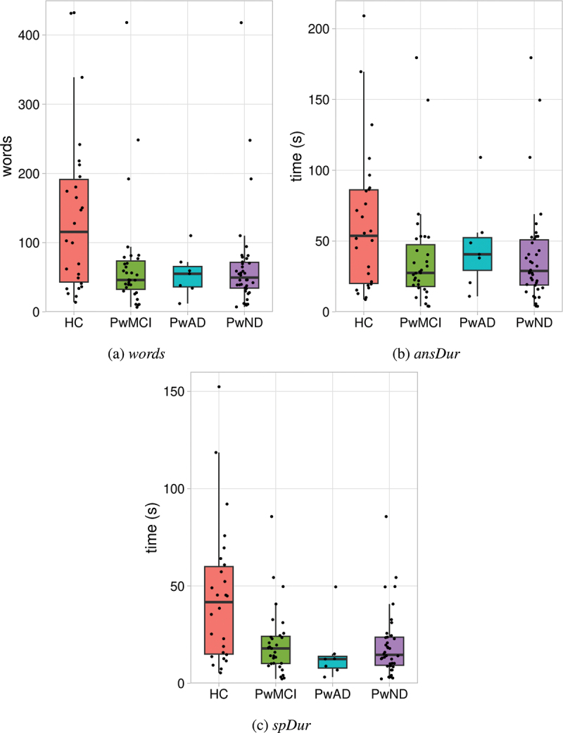
先前的研究提供了强有力的证据,证明言语模式有助于区分早期神经退行性疾病(ND)患者和健康对照者。这项研究考察了智能虚拟代理(IVA)回答问题时的言语模式:IVA是电脑上的一个会说话的头,会问预先录制的问题。该研究调查了IVA提问的回答长度、语速和停顿是否有助于区分健康对照参与者和被诊断为轻度认知障碍(MCI)或阿尔茨海默病(AD)的人。该研究还考虑了这些措施是否有助于进一步区分MCI患者、AD患者和健康对照参与者(HC)。ND患者38人(MCI患者31人,AD患者7人),HC患者26人。所有互动都用英语进行。与HC相比,MCI患者说的话更少,AD患者和MCI患者说话的时间也比HC少。AD患者的说话速度比MCI和HC患者慢。三组患者的停顿时间比例和平均停顿持续时间存在显著差异:AD患者的反应中,无声停顿所占比例最大,他们的平均无声停顿持续时间也最长,其次是MCI患者,然后是HC患者。因此,该研究证明了IVA作为一种收集显示模式的数据的方法的潜力,这有助于区分诊断组。
本文章由计算机程序翻译,如有差异,请以英文原文为准。

Speech patterns in responses to questions asked by an intelligent virtual agent can help to distinguish between people with early stage neurodegenerative disorders and healthy controls.

Speech patterns in responses to questions asked by an intelligent virtual agent can help to distinguish between people with early stage neurodegenerative disorders and healthy controls.

Speech patterns in responses to questions asked by an intelligent virtual agent can help to distinguish between people with early stage neurodegenerative disorders and healthy controls.

Speech patterns in responses to questions asked by an intelligent virtual agent can help to distinguish between people with early stage neurodegenerative disorders and healthy controls.

Previous research has provided strong evidence that speech patterns can help to distinguish between people with early stage neurodegenerative disorders (ND) and healthy controls. This study examined speech patterns in responses to questions asked by an intelligent virtual agent (IVA): a talking head on a computer which asks pre-recorded questions. The study investigated whether measures of response length, speech rate and pausing in responses to questions asked by an IVA help to distinguish between healthy control participants and people diagnosed with Mild Cognitive Impairment (MCI) or Alzheimer's disease (AD). The study also considered whether those measures can further help to distinguish between people with MCI, people with AD, and healthy control participants (HC). There were 38 people with ND (31 people with MCI, 7 people with AD) and 26 HC. All interactions took place in English. People with MCI spoke fewer words compared to HC, and people with AD and people with MCI spoke for less time than HC. People with AD spoke at a slower rate than people with MCI and HC. There were significant differences across all three groups for the proportion of time spent pausing and the average pause duration: silent pauses make up the greatest proportion of responses from people with AD, who also have the longest average silent pause duration, followed by people with MCI then HC. Therefore, the study demonstrates the potential of an IVA as a method for collecting data showing patterns which can help to distinguish between diagnostic groups.

求助全文
通过发布文献求助,成功后即可免费获取论文全文。 去求助
来源期刊
Clinical Linguistics & Phonetics
Clinical Linguistics & Phonetics AUDIOLOGY & SPEECH-LANGUAGE PATHOLOGY-REHABILITATION
CiteScore
2.70
自引率
16.70%
发文量
74
审稿时长
6-12 weeks
期刊介绍: Clinical Linguistics & Phonetics encompasses the following: Linguistics and phonetics of disorders of speech and language; Contribution of data from communication disorders to theories of speech production and perception; Research on communication disorders in multilingual populations, and in under-researched populations, and languages other than English; Pragmatic aspects of speech and language disorders; Clinical dialectology and sociolinguistics; Childhood, adolescent and adult disorders of communication; Linguistics and phonetics of hearing impairment, sign language and lip-reading.
×
引用
GB/T 7714-2015
复制
MLA
复制
APA
复制
导出至
BibTeX EndNote RefMan NoteFirst NoteExpress
×
提示
您的信息不完整,为了账户安全,请先补充。
现在去补充
×
提示
您因"违规操作"
具体请查看互助需知
我知道了
×
提示
确定
请完成安全验证×
copy
已复制链接
快去分享给好友吧!
我知道了
右上角分享
点击右上角分享
0
联系我们:info@booksci.cn Book学术提供免费学术资源搜索服务,方便国内外学者检索中英文文献。致力于提供最便捷和优质的服务体验。 Copyright © 2023 布克学术 All rights reserved.
京ICP备2023020795号-1
ghs 京公网安备 11010802042870号
Book学术文献互助
Book学术文献互助群
群 号:604180095
Book学术官方微信