通过小样本量手指刺血采样识别循环免疫细胞的昼夜变化:一项试点研究。

Dayna Bushell, Jonathan Kah Huat Tan, Jessica Smith, Christian Moro
{"title":"通过小样本量手指刺血采样识别循环免疫细胞的昼夜变化:一项试点研究。","authors":"Dayna Bushell, Jonathan Kah Huat Tan, Jessica Smith, Christian Moro","doi":"10.1093/labmed/lmad062","DOIUrl":null,"url":null,"abstract":"<p><strong>Objective: </strong>There are well-described impacts of biological rhythms on human physiology. With the increasing push for routine blood tests for preventative medical care and clinical and physiological research, optimizing effectiveness is paramount. This study aimed to determine whether it is feasible to assess diurnal variations of peripheral lymphocyte prevalence using finger prick blood in a small sample size.</p><p><strong>Methods: </strong>Using polychromatic flow cytometry, the prevalence of lymphocytes was assessed using 25 µL fingertip blood samples at 8 AM and 5 PM from 8 participants.</p><p><strong>Results: </strong>TH cells and B cells showed significantly higher percentages in the 5 PM samples, whereas NK cells demonstrated a significantly higher morning percentage. T cells, leukocytes, and cytotoxic T cells showed no significant changes.</p><p><strong>Conclusion: </strong>The detection of diurnal variations demonstrates that small blood volumes can be used to detect lymphocyte variations. The lower blood volume required provides a new testing method for clinical and research settings.</p>","PeriodicalId":17951,"journal":{"name":"Laboratory medicine","volume":" ","pages":"220-226"},"PeriodicalIF":0.0000,"publicationDate":"2024-03-07","publicationTypes":"Journal Article","fieldsOfStudy":null,"isOpenAccess":false,"openAccessPdf":"https://www.ncbi.nlm.nih.gov/pmc/articles/PMC10920974/pdf/","citationCount":"0","resultStr":"{\"title\":\"The identification of diurnal variations on circulating immune cells by finger prick blood sampling in small sample sizes: a pilot study.\",\"authors\":\"Dayna Bushell, Jonathan Kah Huat Tan, Jessica Smith, Christian Moro\",\"doi\":\"10.1093/labmed/lmad062\",\"DOIUrl\":null,\"url\":null,\"abstract\":\"<p><strong>Objective: </strong>There are well-described impacts of biological rhythms on human physiology. With the increasing push for routine blood tests for preventative medical care and clinical and physiological research, optimizing effectiveness is paramount. This study aimed to determine whether it is feasible to assess diurnal variations of peripheral lymphocyte prevalence using finger prick blood in a small sample size.</p><p><strong>Methods: </strong>Using polychromatic flow cytometry, the prevalence of lymphocytes was assessed using 25 µL fingertip blood samples at 8 AM and 5 PM from 8 participants.</p><p><strong>Results: </strong>TH cells and B cells showed significantly higher percentages in the 5 PM samples, whereas NK cells demonstrated a significantly higher morning percentage. T cells, leukocytes, and cytotoxic T cells showed no significant changes.</p><p><strong>Conclusion: </strong>The detection of diurnal variations demonstrates that small blood volumes can be used to detect lymphocyte variations. The lower blood volume required provides a new testing method for clinical and research settings.</p>\",\"PeriodicalId\":17951,\"journal\":{\"name\":\"Laboratory medicine\",\"volume\":\" \",\"pages\":\"220-226\"},\"PeriodicalIF\":0.0000,\"publicationDate\":\"2024-03-07\",\"publicationTypes\":\"Journal Article\",\"fieldsOfStudy\":null,\"isOpenAccess\":false,\"openAccessPdf\":\"https://www.ncbi.nlm.nih.gov/pmc/articles/PMC10920974/pdf/\",\"citationCount\":\"0\",\"resultStr\":null,\"platform\":\"Semanticscholar\",\"paperid\":null,\"PeriodicalName\":\"Laboratory medicine\",\"FirstCategoryId\":\"3\",\"ListUrlMain\":\"https://doi.org/10.1093/labmed/lmad062\",\"RegionNum\":0,\"RegionCategory\":null,\"ArticlePicture\":[],\"TitleCN\":null,\"AbstractTextCN\":null,\"PMCID\":null,\"EPubDate\":\"\",\"PubModel\":\"\",\"JCR\":\"\",\"JCRName\":\"\",\"Score\":null,\"Total\":0}","platform":"Semanticscholar","paperid":null,"PeriodicalName":"Laboratory medicine","FirstCategoryId":"3","ListUrlMain":"https://doi.org/10.1093/labmed/lmad062","RegionNum":0,"RegionCategory":null,"ArticlePicture":[],"TitleCN":null,"AbstractTextCN":null,"PMCID":null,"EPubDate":"","PubModel":"","JCR":"","JCRName":"","Score":null,"Total":0}
引用次数: 0

摘要

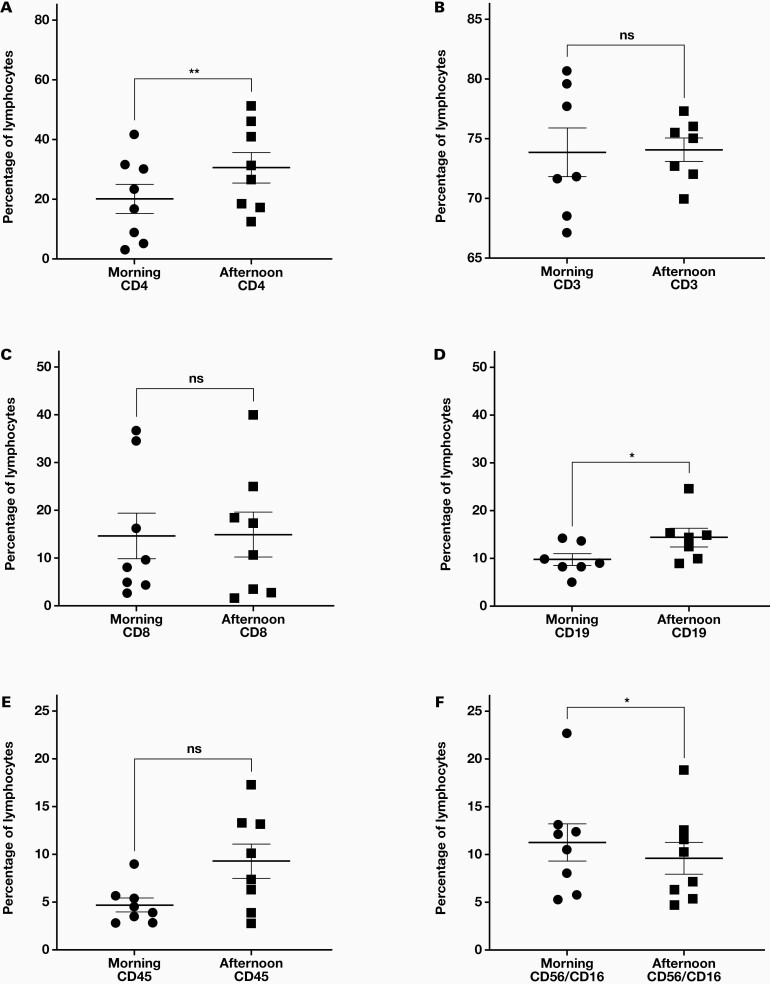
目的:生物节律对人体生理的影响已得到充分说明。随着用于预防性医疗保健、临床和生理学研究的常规血液检测越来越多,优化检测效果至关重要。本研究旨在确定在小样本量中使用手指刺血评估外周淋巴细胞流行率的昼夜变化是否可行:方法:使用多色流式细胞术,在上午 8 点和下午 5 点采集 8 名参与者的 25 µL 指尖血样,评估淋巴细胞的流行率:结果:在下午 5 点的样本中,TH 细胞和 B 细胞的比例明显较高,而 NK 细胞在上午的比例明显较高。T细胞、白细胞和细胞毒性T细胞没有明显变化:昼夜变化的检测结果表明,小容量血液可用于检测淋巴细胞的变化。所需的血量较少,为临床和研究提供了一种新的检测方法。
本文章由计算机程序翻译,如有差异,请以英文原文为准。

The identification of diurnal variations on circulating immune cells by finger prick blood sampling in small sample sizes: a pilot study.

The identification of diurnal variations on circulating immune cells by finger prick blood sampling in small sample sizes: a pilot study.

The identification of diurnal variations on circulating immune cells by finger prick blood sampling in small sample sizes: a pilot study.

Objective: There are well-described impacts of biological rhythms on human physiology. With the increasing push for routine blood tests for preventative medical care and clinical and physiological research, optimizing effectiveness is paramount. This study aimed to determine whether it is feasible to assess diurnal variations of peripheral lymphocyte prevalence using finger prick blood in a small sample size.

Methods: Using polychromatic flow cytometry, the prevalence of lymphocytes was assessed using 25 µL fingertip blood samples at 8 AM and 5 PM from 8 participants.

Results: TH cells and B cells showed significantly higher percentages in the 5 PM samples, whereas NK cells demonstrated a significantly higher morning percentage. T cells, leukocytes, and cytotoxic T cells showed no significant changes.

Conclusion: The detection of diurnal variations demonstrates that small blood volumes can be used to detect lymphocyte variations. The lower blood volume required provides a new testing method for clinical and research settings.

求助全文
通过发布文献求助,成功后即可免费获取论文全文。 去求助
来源期刊
自引率
0.00%
发文量
0
×
引用
GB/T 7714-2015
复制
MLA
复制
APA
复制
导出至
BibTeX EndNote RefMan NoteFirst NoteExpress
×
提示
您的信息不完整,为了账户安全,请先补充。
现在去补充
×
提示
您因"违规操作"
具体请查看互助需知
我知道了
×
提示
确定
请完成安全验证×
copy
已复制链接
快去分享给好友吧!
我知道了
右上角分享
点击右上角分享
0
联系我们:info@booksci.cn Book学术提供免费学术资源搜索服务,方便国内外学者检索中英文文献。致力于提供最便捷和优质的服务体验。 Copyright © 2023 布克学术 All rights reserved.
京ICP备2023020795号-1
ghs 京公网安备 11010802042870号
Book学术文献互助
Book学术文献互助群
群 号:604180095
Book学术官方微信