海地卒中队列的临床特征和海地人群卒中文献的范围综述。

Journal of Clinical and Translational Research Pub Date : 2023-05-12 eCollection Date: 2023-06-29
Axler Jean Paul, Jude Hassan Charles, Gandhi Marius Edwitch Gedner, Richardson Roche, Wislet Andre, Garly Rushler Saint Croix, Gillian Gordon Perue
{"title":"海地卒中队列的临床特征和海地人群卒中文献的范围综述。","authors":"Axler Jean Paul, Jude Hassan Charles, Gandhi Marius Edwitch Gedner, Richardson Roche, Wislet Andre, Garly Rushler Saint Croix, Gillian Gordon Perue","doi":"","DOIUrl":null,"url":null,"abstract":"<p><strong>Background and aim: </strong>There are significant disparities in stroke care and outcomes between low- and middle-income countries compared to high-income countries. Haiti, a lower-middle-income country, suffers from a lack of resources for acute stroke management. This study is the first to report the epidemiological profile of the Haitian population presenting with stroke symptoms at the largest academic hospital in the nation.</p><p><strong>Methods: </strong>This is an observational study conducted over a period of 5 months from April 2021 to August 2021 in the Internal Medicine Department of the State University Hospital of Haiti. There were 51 included patients who were suspected to have had an acute stroke. A descriptive statistical analysis was conducted. A scoping review of the literature was also conducted.</p><p><strong>Results: </strong>Over 50% of included patients were between 19 and 65 years old. The mean age at presentation was 61 years, and patients were predominantly female (64.7%). The prevalence of severe motor deficits was over 96%. The mean National Institutes of Health Stroke Scale was 12. Only 15.7% of patients (8/51) had a computed tomography (CT) scan during their hospitalization. The median time to CT scan was 84 h after symptom onset. About 80% of those with complications took more than 24 h to arrive at the hospital after the onset of symptoms. Eleven percent of patients had complications, and the mortality rate was 3.9%. There was a significant association between the Modified Rankin Scale and the occurrence of complications (p = 0.016). National Institutes of Health Stroke Scale (NIHSS) score had a significant association with the Glasgow score (F = 6.3; p < 0.001) where an inversely proportional correlation was observed between them (r = -0.7; p < 0.001) and a proportional correlation with the Rankin prediction score and the NIHSS (r = 0.3, p = 0.04). Little is known about the epidemiology of stroke patients in Haiti, and this limits the ability to develop targeted interventions to improve outcomes. In our scoping review, only three pertinent studies were identified over a 25-year period, this leads to a lack of data in regard to stroke care in Haiti mainly due to the absence of trained personnel.</p><p><strong>Conclusion: </strong>In our cohort, stroke is mainly affecting female patients. The majority of stroke patients have moderate to severe motor deficits and took more than 24 h to arrive at the hospital. Urgent assistance is needed to strengthen personnel and infrastructure dedicated to stroke. Neurological assessment based on NIHSS and Rankin score should be systematic in stroke evaluation in Haiti.</p><p><strong>Relevance for patients: </strong>This study is relevant for patients because it emphasizes the challenges of stroke management in Haiti due to the non-availability of reference drugs, the time to arrive at the hospital to start treatment, as well as the means of diagnosis which are limited, like the CT scan. While stroke prevalence is on the rise in the country, it is the highest in the Caribbean and Latin America region.</p>","PeriodicalId":15482,"journal":{"name":"Journal of Clinical and Translational Research","volume":"9 3","pages":"153-159"},"PeriodicalIF":0.0000,"publicationDate":"2023-05-12","publicationTypes":"Journal Article","fieldsOfStudy":null,"isOpenAccess":false,"openAccessPdf":"https://ftp.ncbi.nlm.nih.gov/pub/pmc/oa_pdf/34/e5/jclintranslres-2023-9-3-153.PMC10339410.pdf","citationCount":"0","resultStr":"{\"title\":\"Clinical characteristic of a Haitian stroke cohort and a scoping review of the literature of stroke among the Haitian population.\",\"authors\":\"Axler Jean Paul, Jude Hassan Charles, Gandhi Marius Edwitch Gedner, Richardson Roche, Wislet Andre, Garly Rushler Saint Croix, Gillian Gordon Perue\",\"doi\":\"\",\"DOIUrl\":null,\"url\":null,\"abstract\":\"<p><strong>Background and aim: </strong>There are significant disparities in stroke care and outcomes between low- and middle-income countries compared to high-income countries. Haiti, a lower-middle-income country, suffers from a lack of resources for acute stroke management. This study is the first to report the epidemiological profile of the Haitian population presenting with stroke symptoms at the largest academic hospital in the nation.</p><p><strong>Methods: </strong>This is an observational study conducted over a period of 5 months from April 2021 to August 2021 in the Internal Medicine Department of the State University Hospital of Haiti. There were 51 included patients who were suspected to have had an acute stroke. A descriptive statistical analysis was conducted. A scoping review of the literature was also conducted.</p><p><strong>Results: </strong>Over 50% of included patients were between 19 and 65 years old. The mean age at presentation was 61 years, and patients were predominantly female (64.7%). The prevalence of severe motor deficits was over 96%. The mean National Institutes of Health Stroke Scale was 12. Only 15.7% of patients (8/51) had a computed tomography (CT) scan during their hospitalization. The median time to CT scan was 84 h after symptom onset. About 80% of those with complications took more than 24 h to arrive at the hospital after the onset of symptoms. Eleven percent of patients had complications, and the mortality rate was 3.9%. There was a significant association between the Modified Rankin Scale and the occurrence of complications (p = 0.016). National Institutes of Health Stroke Scale (NIHSS) score had a significant association with the Glasgow score (F = 6.3; p < 0.001) where an inversely proportional correlation was observed between them (r = -0.7; p < 0.001) and a proportional correlation with the Rankin prediction score and the NIHSS (r = 0.3, p = 0.04). Little is known about the epidemiology of stroke patients in Haiti, and this limits the ability to develop targeted interventions to improve outcomes. In our scoping review, only three pertinent studies were identified over a 25-year period, this leads to a lack of data in regard to stroke care in Haiti mainly due to the absence of trained personnel.</p><p><strong>Conclusion: </strong>In our cohort, stroke is mainly affecting female patients. The majority of stroke patients have moderate to severe motor deficits and took more than 24 h to arrive at the hospital. Urgent assistance is needed to strengthen personnel and infrastructure dedicated to stroke. Neurological assessment based on NIHSS and Rankin score should be systematic in stroke evaluation in Haiti.</p><p><strong>Relevance for patients: </strong>This study is relevant for patients because it emphasizes the challenges of stroke management in Haiti due to the non-availability of reference drugs, the time to arrive at the hospital to start treatment, as well as the means of diagnosis which are limited, like the CT scan. While stroke prevalence is on the rise in the country, it is the highest in the Caribbean and Latin America region.</p>\",\"PeriodicalId\":15482,\"journal\":{\"name\":\"Journal of Clinical and Translational Research\",\"volume\":\"9 3\",\"pages\":\"153-159\"},\"PeriodicalIF\":0.0000,\"publicationDate\":\"2023-05-12\",\"publicationTypes\":\"Journal Article\",\"fieldsOfStudy\":null,\"isOpenAccess\":false,\"openAccessPdf\":\"https://ftp.ncbi.nlm.nih.gov/pub/pmc/oa_pdf/34/e5/jclintranslres-2023-9-3-153.PMC10339410.pdf\",\"citationCount\":\"0\",\"resultStr\":null,\"platform\":\"Semanticscholar\",\"paperid\":null,\"PeriodicalName\":\"Journal of Clinical and Translational Research\",\"FirstCategoryId\":\"1085\",\"ListUrlMain\":\"\",\"RegionNum\":0,\"RegionCategory\":null,\"ArticlePicture\":[],\"TitleCN\":null,\"AbstractTextCN\":null,\"PMCID\":null,\"EPubDate\":\"2023/6/29 0:00:00\",\"PubModel\":\"eCollection\",\"JCR\":\"\",\"JCRName\":\"\",\"Score\":null,\"Total\":0}","platform":"Semanticscholar","paperid":null,"PeriodicalName":"Journal of Clinical and Translational Research","FirstCategoryId":"1085","ListUrlMain":"","RegionNum":0,"RegionCategory":null,"ArticlePicture":[],"TitleCN":null,"AbstractTextCN":null,"PMCID":null,"EPubDate":"2023/6/29 0:00:00","PubModel":"eCollection","JCR":"","JCRName":"","Score":null,"Total":0}
引用次数: 0

摘要

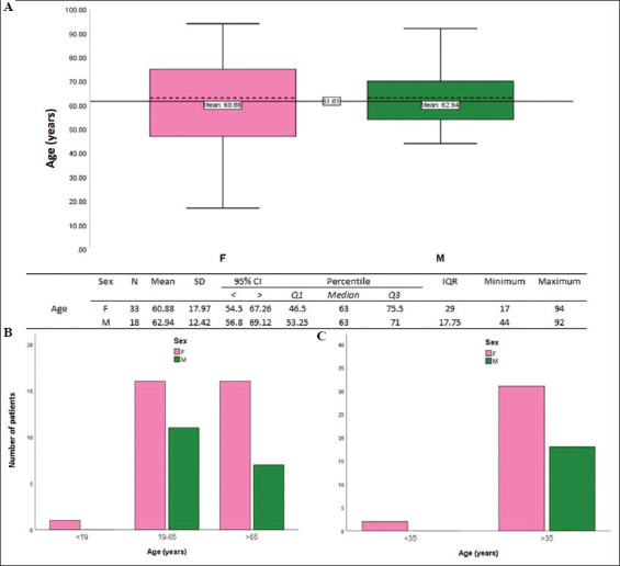
背景和目的:与高收入国家相比,中低收入国家在卒中治疗和预后方面存在显著差异。海地是一个中低收入国家,缺乏急性中风管理资源。这项研究首次报道了在海地最大的学术医院中出现中风症状的海地人口的流行病学概况。方法:这是一项观察性研究,于2021年4月至2021年8月在海地州立大学医院内科进行,为期5个月。其中有51名患者被怀疑患有急性中风。进行描述性统计分析。还对文献进行了范围审查。结果:超过50%的患者年龄在19 - 65岁之间。平均发病年龄61岁,患者以女性为主(64.7%)。严重运动障碍的患病率超过96%。美国国立卫生研究院卒中量表的平均评分为12。只有15.7%的患者(8/51)在住院期间进行了计算机断层扫描(CT)。到CT扫描的中位时间为症状出现后84小时。大约80%的并发症患者在出现症状后需要超过24小时才能到达医院。11%的患者出现并发症,死亡率为3.9%。改良Rankin量表与并发症发生有显著相关性(p = 0.016)。美国国立卫生研究院卒中量表(NIHSS)评分与格拉斯哥评分有显著相关性(F = 6.3;P < 0.001),两者之间呈反比相关(r = -0.7;p < 0.001),且与Rankin预测评分和NIHSS呈比例相关(r = 0.3, p = 0.04)。人们对海地中风患者的流行病学知之甚少,这限制了制定有针对性的干预措施以改善结果的能力。在我们的范围审查中,在25年的时间里,只有三个相关的研究被确定,这导致了海地中风护理数据的缺乏,主要是由于缺乏训练有素的人员。结论:在我们的队列中,卒中主要影响女性患者。大多数中风患者有中度至重度运动障碍,到达医院需要24小时以上。需要紧急援助,以加强专门用于中风的人员和基础设施。基于NIHSS和Rankin评分的神经学评估应系统化地应用于海地脑卒中评估。与患者相关:这项研究与患者相关,因为它强调了海地中风管理的挑战,因为没有参考药物,到达医院开始治疗的时间,以及有限的诊断手段,如CT扫描。虽然该国的中风患病率在上升,但在加勒比和拉丁美洲区域是最高的。
本文章由计算机程序翻译,如有差异,请以英文原文为准。

Clinical characteristic of a Haitian stroke cohort and a scoping review of the literature of stroke among the Haitian population.

Clinical characteristic of a Haitian stroke cohort and a scoping review of the literature of stroke among the Haitian population.

Clinical characteristic of a Haitian stroke cohort and a scoping review of the literature of stroke among the Haitian population.

Background and aim: There are significant disparities in stroke care and outcomes between low- and middle-income countries compared to high-income countries. Haiti, a lower-middle-income country, suffers from a lack of resources for acute stroke management. This study is the first to report the epidemiological profile of the Haitian population presenting with stroke symptoms at the largest academic hospital in the nation.

Methods: This is an observational study conducted over a period of 5 months from April 2021 to August 2021 in the Internal Medicine Department of the State University Hospital of Haiti. There were 51 included patients who were suspected to have had an acute stroke. A descriptive statistical analysis was conducted. A scoping review of the literature was also conducted.

Results: Over 50% of included patients were between 19 and 65 years old. The mean age at presentation was 61 years, and patients were predominantly female (64.7%). The prevalence of severe motor deficits was over 96%. The mean National Institutes of Health Stroke Scale was 12. Only 15.7% of patients (8/51) had a computed tomography (CT) scan during their hospitalization. The median time to CT scan was 84 h after symptom onset. About 80% of those with complications took more than 24 h to arrive at the hospital after the onset of symptoms. Eleven percent of patients had complications, and the mortality rate was 3.9%. There was a significant association between the Modified Rankin Scale and the occurrence of complications (p = 0.016). National Institutes of Health Stroke Scale (NIHSS) score had a significant association with the Glasgow score (F = 6.3; p < 0.001) where an inversely proportional correlation was observed between them (r = -0.7; p < 0.001) and a proportional correlation with the Rankin prediction score and the NIHSS (r = 0.3, p = 0.04). Little is known about the epidemiology of stroke patients in Haiti, and this limits the ability to develop targeted interventions to improve outcomes. In our scoping review, only three pertinent studies were identified over a 25-year period, this leads to a lack of data in regard to stroke care in Haiti mainly due to the absence of trained personnel.

Conclusion: In our cohort, stroke is mainly affecting female patients. The majority of stroke patients have moderate to severe motor deficits and took more than 24 h to arrive at the hospital. Urgent assistance is needed to strengthen personnel and infrastructure dedicated to stroke. Neurological assessment based on NIHSS and Rankin score should be systematic in stroke evaluation in Haiti.

Relevance for patients: This study is relevant for patients because it emphasizes the challenges of stroke management in Haiti due to the non-availability of reference drugs, the time to arrive at the hospital to start treatment, as well as the means of diagnosis which are limited, like the CT scan. While stroke prevalence is on the rise in the country, it is the highest in the Caribbean and Latin America region.

求助全文
通过发布文献求助,成功后即可免费获取论文全文。 去求助
来源期刊
自引率
0.00%
发文量
0
×
引用
GB/T 7714-2015
复制
MLA
复制
APA
复制
导出至
BibTeX EndNote RefMan NoteFirst NoteExpress
×
提示
您的信息不完整,为了账户安全,请先补充。
现在去补充
×
提示
您因"违规操作"
具体请查看互助需知
我知道了
×
提示
确定
请完成安全验证×
copy
已复制链接
快去分享给好友吧!
我知道了
右上角分享
点击右上角分享
0
联系我们:info@booksci.cn Book学术提供免费学术资源搜索服务,方便国内外学者检索中英文文献。致力于提供最便捷和优质的服务体验。 Copyright © 2023 布克学术 All rights reserved.
京ICP备2023020795号-1
ghs 京公网安备 11010802042870号
Book学术文献互助
Book学术文献互助群
群 号:604180095
Book学术官方微信