患者对医生信任程度的看法。

IF 1.6 4区 心理学 Q2 PSYCHOLOGY, MULTIDISCIPLINARY
Psychological Reports Pub Date : 2025-10-01 Epub Date: 2023-08-22 DOI:10.1177/00332941231197610
Maria Teresa Muñoz Sastre, Lonzozou Kpanake, Paul Clay Sorum, Etienne Mullet
{"title":"患者对医生信任程度的看法。","authors":"Maria Teresa Muñoz Sastre, Lonzozou Kpanake, Paul Clay Sorum, Etienne Mullet","doi":"10.1177/00332941231197610","DOIUrl":null,"url":null,"abstract":"<p><p>Patient-physician relationship is ideally based on mutual trust. Trust usually takes times to build but can quite instantaneously be destroyed as a result of a single action or a single misperception. This study examined the way patients conceptualize the relationship between trust in a physician and perceived competency, honesty and openness, and personal involvement in care. One hundred sixty-seven patients aged 18-85 years were presented with a set of 27 three-item realistic vignettes that described situations in which participants could find themselves if hospitalized because of illness or accident. These scenarios resulted from the complete crossing of the three factors mentioned above. Participants were asked to assess the level of trust they would feel in each case. Through cluster analysis, three positions were found. For a minority of participants, trust was either unconditionally high (4%) or always quite low (8%). For a majority (75%), however, trust depended interactively on competency and honesty, on the one hand, and involvement, on the other hand; that is, the impact of competency and honesty on trust always depended on the level of involvement in care. In particular, when involvement had a low level, trust was always quite low, irrespective of the levels of both other factors. These findings are fully consistent with the view that, for a majority of patients, trust is inherently brittle: A breach in any one of participants' expectations regarding physicians' professionalism is enough to result in a more than proportional reduction in trust level.</p>","PeriodicalId":21149,"journal":{"name":"Psychological Reports","volume":" ","pages":"3129-3142"},"PeriodicalIF":1.6000,"publicationDate":"2025-10-01","publicationTypes":"Journal Article","fieldsOfStudy":null,"isOpenAccess":false,"openAccessPdf":"https://www.ncbi.nlm.nih.gov/pmc/articles/PMC12394773/pdf/","citationCount":"0","resultStr":"{\"title\":\"Patients' Positions on the Degree of Trust to be Placed in Physicians.\",\"authors\":\"Maria Teresa Muñoz Sastre, Lonzozou Kpanake, Paul Clay Sorum, Etienne Mullet\",\"doi\":\"10.1177/00332941231197610\",\"DOIUrl\":null,\"url\":null,\"abstract\":\"<p><p>Patient-physician relationship is ideally based on mutual trust. Trust usually takes times to build but can quite instantaneously be destroyed as a result of a single action or a single misperception. This study examined the way patients conceptualize the relationship between trust in a physician and perceived competency, honesty and openness, and personal involvement in care. One hundred sixty-seven patients aged 18-85 years were presented with a set of 27 three-item realistic vignettes that described situations in which participants could find themselves if hospitalized because of illness or accident. These scenarios resulted from the complete crossing of the three factors mentioned above. Participants were asked to assess the level of trust they would feel in each case. Through cluster analysis, three positions were found. For a minority of participants, trust was either unconditionally high (4%) or always quite low (8%). For a majority (75%), however, trust depended interactively on competency and honesty, on the one hand, and involvement, on the other hand; that is, the impact of competency and honesty on trust always depended on the level of involvement in care. In particular, when involvement had a low level, trust was always quite low, irrespective of the levels of both other factors. These findings are fully consistent with the view that, for a majority of patients, trust is inherently brittle: A breach in any one of participants' expectations regarding physicians' professionalism is enough to result in a more than proportional reduction in trust level.</p>\",\"PeriodicalId\":21149,\"journal\":{\"name\":\"Psychological Reports\",\"volume\":\" \",\"pages\":\"3129-3142\"},\"PeriodicalIF\":1.6000,\"publicationDate\":\"2025-10-01\",\"publicationTypes\":\"Journal Article\",\"fieldsOfStudy\":null,\"isOpenAccess\":false,\"openAccessPdf\":\"https://www.ncbi.nlm.nih.gov/pmc/articles/PMC12394773/pdf/\",\"citationCount\":\"0\",\"resultStr\":null,\"platform\":\"Semanticscholar\",\"paperid\":null,\"PeriodicalName\":\"Psychological Reports\",\"FirstCategoryId\":\"102\",\"ListUrlMain\":\"https://doi.org/10.1177/00332941231197610\",\"RegionNum\":4,\"RegionCategory\":\"心理学\",\"ArticlePicture\":[],\"TitleCN\":null,\"AbstractTextCN\":null,\"PMCID\":null,\"EPubDate\":\"2023/8/22 0:00:00\",\"PubModel\":\"Epub\",\"JCR\":\"Q2\",\"JCRName\":\"PSYCHOLOGY, MULTIDISCIPLINARY\",\"Score\":null,\"Total\":0}","platform":"Semanticscholar","paperid":null,"PeriodicalName":"Psychological Reports","FirstCategoryId":"102","ListUrlMain":"https://doi.org/10.1177/00332941231197610","RegionNum":4,"RegionCategory":"心理学","ArticlePicture":[],"TitleCN":null,"AbstractTextCN":null,"PMCID":null,"EPubDate":"2023/8/22 0:00:00","PubModel":"Epub","JCR":"Q2","JCRName":"PSYCHOLOGY, MULTIDISCIPLINARY","Score":null,"Total":0}
引用次数: 0

摘要

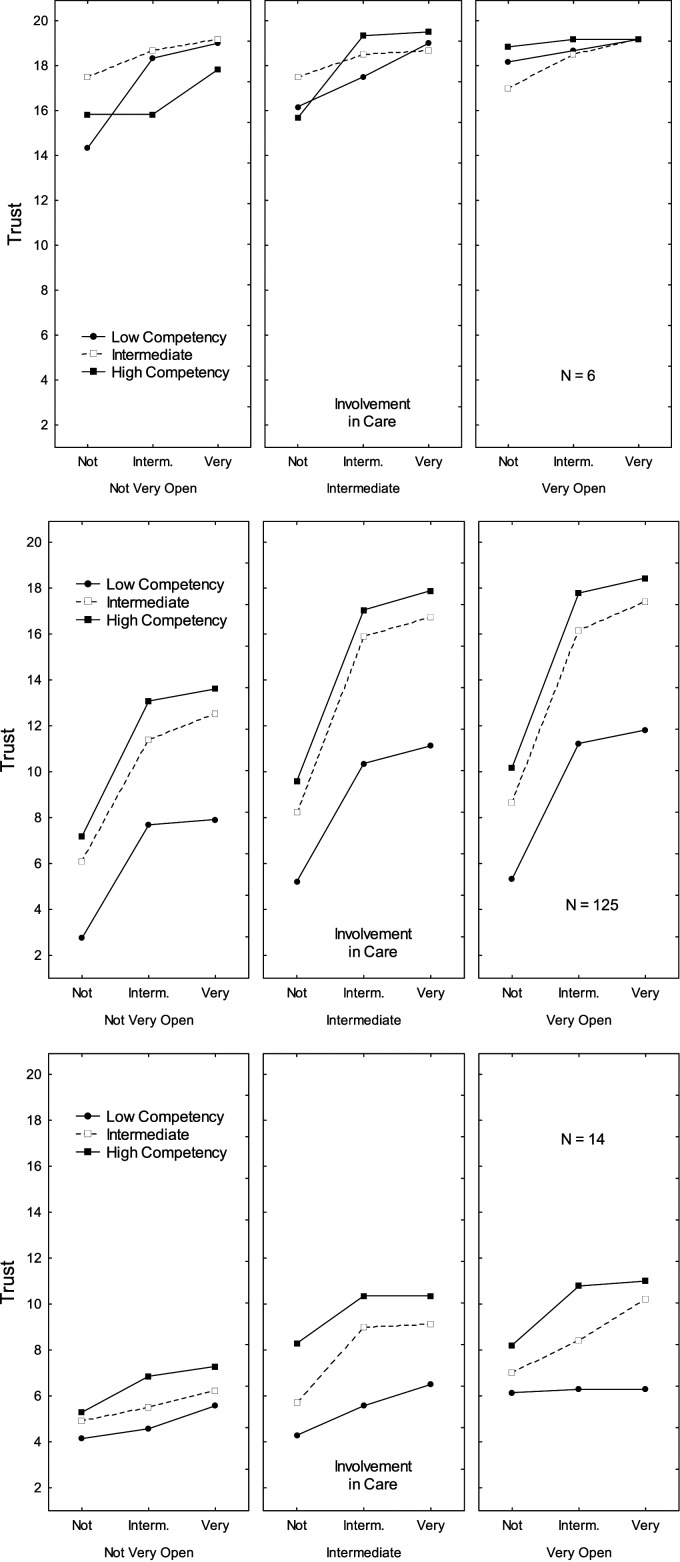
理想的医患关系建立在相互信任的基础上。信任通常需要时间来建立,但可能会因为一次行动或一次误解而瞬间被摧毁。本研究考察了患者对医生信任与感知能力、诚实和开放以及个人参与护理之间关系的概念。167名年龄在18-85岁之间的患者被呈现了一组27个三项目的现实小插曲,这些小插曲描述了参与者因疾病或事故住院时可能发现自己的情况。这些情况是上述三个因素完全交叉的结果。参与者被要求评估他们在每种情况下的信任程度。通过聚类分析,找到三个位置。对于少数参与者来说,信任要么无条件地高(4%),要么总是很低(8%)。然而,对于大多数人(75%)来说,信任一方面依赖于能力和诚实,另一方面依赖于参与;也就是说,能力和诚实对信任的影响总是取决于参与护理的程度。特别是,当参与程度较低时,无论其他两个因素的水平如何,信任总是很低。这些发现与以下观点完全一致:对于大多数患者来说,信任本质上是脆弱的:任何一个参与者对医生专业精神的期望的违背都足以导致信任水平的比例下降。
本文章由计算机程序翻译,如有差异,请以英文原文为准。

Patients' Positions on the Degree of Trust to be Placed in Physicians.

Patients' Positions on the Degree of Trust to be Placed in Physicians.

Patients' Positions on the Degree of Trust to be Placed in Physicians.

Patients' Positions on the Degree of Trust to be Placed in Physicians.

Patient-physician relationship is ideally based on mutual trust. Trust usually takes times to build but can quite instantaneously be destroyed as a result of a single action or a single misperception. This study examined the way patients conceptualize the relationship between trust in a physician and perceived competency, honesty and openness, and personal involvement in care. One hundred sixty-seven patients aged 18-85 years were presented with a set of 27 three-item realistic vignettes that described situations in which participants could find themselves if hospitalized because of illness or accident. These scenarios resulted from the complete crossing of the three factors mentioned above. Participants were asked to assess the level of trust they would feel in each case. Through cluster analysis, three positions were found. For a minority of participants, trust was either unconditionally high (4%) or always quite low (8%). For a majority (75%), however, trust depended interactively on competency and honesty, on the one hand, and involvement, on the other hand; that is, the impact of competency and honesty on trust always depended on the level of involvement in care. In particular, when involvement had a low level, trust was always quite low, irrespective of the levels of both other factors. These findings are fully consistent with the view that, for a majority of patients, trust is inherently brittle: A breach in any one of participants' expectations regarding physicians' professionalism is enough to result in a more than proportional reduction in trust level.

求助全文
通过发布文献求助,成功后即可免费获取论文全文。 去求助
来源期刊
Psychological Reports
Psychological Reports PSYCHOLOGY, MULTIDISCIPLINARY-
CiteScore
5.10
自引率
4.30%
发文量
171
×
引用
GB/T 7714-2015
复制
MLA
复制
APA
复制
导出至
BibTeX EndNote RefMan NoteFirst NoteExpress
×
提示
您的信息不完整,为了账户安全,请先补充。
现在去补充
×
提示
您因"违规操作"
具体请查看互助需知
我知道了
×
提示
确定
请完成安全验证×
copy
已复制链接
快去分享给好友吧!
我知道了
右上角分享
点击右上角分享
0
联系我们:info@booksci.cn Book学术提供免费学术资源搜索服务,方便国内外学者检索中英文文献。致力于提供最便捷和优质的服务体验。 Copyright © 2023 布克学术 All rights reserved.
京ICP备2023020795号-1
ghs 京公网安备 11010802042870号
Book学术文献互助
Book学术文献互助群
群 号:604180095
Book学术官方微信