射血分数轻度降低型心力衰竭亚裔患者的临床特征和预后。

IF 1.9 4区 医学 Q2 MEDICINE, GENERAL & INTERNAL
Singapore medical journal Pub Date : 2024-07-01 Epub Date: 2023-05-30 DOI:10.4103/singaporemedj.SMJ-2021-096
Julian Cheong Kiat Tay, Shaw Yang Chia, Siew Hui Michelle Koh, David Kheng Leng Sim, Ping Chai, Seet Yoong Loh, Fazlur Rehman Jaufeerally, Sheldon Shao Guang Lee, Patrick Zhan Yun Lim, Jonathan Yap
{"title":"射血分数轻度降低型心力衰竭亚裔患者的临床特征和预后。","authors":"Julian Cheong Kiat Tay, Shaw Yang Chia, Siew Hui Michelle Koh, David Kheng Leng Sim, Ping Chai, Seet Yoong Loh, Fazlur Rehman Jaufeerally, Sheldon Shao Guang Lee, Patrick Zhan Yun Lim, Jonathan Yap","doi":"10.4103/singaporemedj.SMJ-2021-096","DOIUrl":null,"url":null,"abstract":"<p><strong>Introduction: </strong>Data on heart failure (HF) with mildly reduced ejection fraction (HFmrEF) is still emerging, especially in Asian populations. This study aims to compare the clinical characteristics and outcomes of Asian HFmrEF patients with those of HF patients with reduced ejection fraction (HFrEF) and preserved ejection fraction (HFpEF).</p><p><strong>Methods: </strong>Patients admitted nationally for HF between 2008 and 2014 were included in the study. They were categorised according to ejection fraction (EF). Patients with EF <40%, EF 40%-49% and EF ≥50% were categorised into the following groups: HFrEF, HFmrEF and HFpEF, respectively. All patients were followed up till December 2016. Primary outcome was all-cause mortality. Secondary outcomes included cardiovascular death and/or HF rehospitalisations.</p><p><strong>Results: </strong>A total of 16,493 patients were included in the study - HFrEF, n = 7,341 (44.5%); HFmrEF, n = 2,272 (13.8%); and HFpEF n = 6,880 (41.7%). HFmrEF patients were more likely to be gender neutral, of mid-range age and have concomitant diabetes mellitus, hyperlipidaemia, peripheral vascular disease and coronary artery disease ( P < 0.001). The two-year overall mortality rates for HFrEF, HFmrEF and HFpEF were 32.9%, 31.8% and 29.1%, respectively. HFmrEF patients had a significantly lower overall mortality rate compared to HFrEF patients (adjusted hazard ratio [HR] 0.89, 95% confidence interval [CI] 0.83-0.95; P < 0.001) and a significantly higher overall mortality rate (adjusted HR 1.25, 95% CI 1.17-1.33; P < 0.001) compared to HFpEF patients. This was similarly seen with cardiovascular mortality and HF hospitalisations, with the exception of similar HF hospitalisations between HFmrEF and HFpEF patients.</p><p><strong>Conclusion: </strong>HFmrEF patients account for a significant burden of patients with HF. HFmrEF represents a distinct HF phenotype with high atherosclerotic burden and clinical outcomes saddled in between those of HFrEF and HFpEF. Further therapeutic studies to guide management of this challenging group of patients are warranted.</p>","PeriodicalId":21752,"journal":{"name":"Singapore medical journal","volume":" ","pages":"389-396"},"PeriodicalIF":1.9000,"publicationDate":"2024-07-01","publicationTypes":"Journal Article","fieldsOfStudy":null,"isOpenAccess":false,"openAccessPdf":"https://www.ncbi.nlm.nih.gov/pmc/articles/PMC11321538/pdf/","citationCount":"0","resultStr":"{\"title\":\"Clinical characteristics and outcomes in Asian patients with heart failure with mildly reduced ejection fraction.\",\"authors\":\"Julian Cheong Kiat Tay, Shaw Yang Chia, Siew Hui Michelle Koh, David Kheng Leng Sim, Ping Chai, Seet Yoong Loh, Fazlur Rehman Jaufeerally, Sheldon Shao Guang Lee, Patrick Zhan Yun Lim, Jonathan Yap\",\"doi\":\"10.4103/singaporemedj.SMJ-2021-096\",\"DOIUrl\":null,\"url\":null,\"abstract\":\"<p><strong>Introduction: </strong>Data on heart failure (HF) with mildly reduced ejection fraction (HFmrEF) is still emerging, especially in Asian populations. This study aims to compare the clinical characteristics and outcomes of Asian HFmrEF patients with those of HF patients with reduced ejection fraction (HFrEF) and preserved ejection fraction (HFpEF).</p><p><strong>Methods: </strong>Patients admitted nationally for HF between 2008 and 2014 were included in the study. They were categorised according to ejection fraction (EF). Patients with EF <40%, EF 40%-49% and EF ≥50% were categorised into the following groups: HFrEF, HFmrEF and HFpEF, respectively. All patients were followed up till December 2016. Primary outcome was all-cause mortality. Secondary outcomes included cardiovascular death and/or HF rehospitalisations.</p><p><strong>Results: </strong>A total of 16,493 patients were included in the study - HFrEF, n = 7,341 (44.5%); HFmrEF, n = 2,272 (13.8%); and HFpEF n = 6,880 (41.7%). HFmrEF patients were more likely to be gender neutral, of mid-range age and have concomitant diabetes mellitus, hyperlipidaemia, peripheral vascular disease and coronary artery disease ( P < 0.001). The two-year overall mortality rates for HFrEF, HFmrEF and HFpEF were 32.9%, 31.8% and 29.1%, respectively. HFmrEF patients had a significantly lower overall mortality rate compared to HFrEF patients (adjusted hazard ratio [HR] 0.89, 95% confidence interval [CI] 0.83-0.95; P < 0.001) and a significantly higher overall mortality rate (adjusted HR 1.25, 95% CI 1.17-1.33; P < 0.001) compared to HFpEF patients. This was similarly seen with cardiovascular mortality and HF hospitalisations, with the exception of similar HF hospitalisations between HFmrEF and HFpEF patients.</p><p><strong>Conclusion: </strong>HFmrEF patients account for a significant burden of patients with HF. HFmrEF represents a distinct HF phenotype with high atherosclerotic burden and clinical outcomes saddled in between those of HFrEF and HFpEF. Further therapeutic studies to guide management of this challenging group of patients are warranted.</p>\",\"PeriodicalId\":21752,\"journal\":{\"name\":\"Singapore medical journal\",\"volume\":\" \",\"pages\":\"389-396\"},\"PeriodicalIF\":1.9000,\"publicationDate\":\"2024-07-01\",\"publicationTypes\":\"Journal Article\",\"fieldsOfStudy\":null,\"isOpenAccess\":false,\"openAccessPdf\":\"https://www.ncbi.nlm.nih.gov/pmc/articles/PMC11321538/pdf/\",\"citationCount\":\"0\",\"resultStr\":null,\"platform\":\"Semanticscholar\",\"paperid\":null,\"PeriodicalName\":\"Singapore medical journal\",\"FirstCategoryId\":\"3\",\"ListUrlMain\":\"https://doi.org/10.4103/singaporemedj.SMJ-2021-096\",\"RegionNum\":4,\"RegionCategory\":\"医学\",\"ArticlePicture\":[],\"TitleCN\":null,\"AbstractTextCN\":null,\"PMCID\":null,\"EPubDate\":\"2023/5/30 0:00:00\",\"PubModel\":\"Epub\",\"JCR\":\"Q2\",\"JCRName\":\"MEDICINE, GENERAL & INTERNAL\",\"Score\":null,\"Total\":0}","platform":"Semanticscholar","paperid":null,"PeriodicalName":"Singapore medical journal","FirstCategoryId":"3","ListUrlMain":"https://doi.org/10.4103/singaporemedj.SMJ-2021-096","RegionNum":4,"RegionCategory":"医学","ArticlePicture":[],"TitleCN":null,"AbstractTextCN":null,"PMCID":null,"EPubDate":"2023/5/30 0:00:00","PubModel":"Epub","JCR":"Q2","JCRName":"MEDICINE, GENERAL & INTERNAL","Score":null,"Total":0}
引用次数: 0

摘要

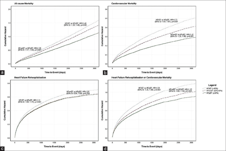
导言:有关射血分数轻度降低型心力衰竭(HF)的数据仍在不断涌现,尤其是在亚洲人群中。本研究旨在比较亚洲射血分数轻度降低型心力衰竭(HFmrEF)患者与射血分数降低型心力衰竭(HFrEF)和射血分数保留型心力衰竭(HFpEF)患者的临床特征和预后:研究纳入了2008年至2014年期间全国收治的心房颤动患者。根据射血分数(EF)对患者进行分类。EF患者 结果共有16,493名患者被纳入研究--HFrEF,n = 7,341(44.5%);HFmrEF,n = 2,272(13.8%);HFpEF,n = 6,880(41.7%)。HFmrEF 患者更有可能不分性别、年龄居中,并同时患有糖尿病、高脂血症、外周血管疾病和冠状动脉疾病(P < 0.001)。HFrEF、HFmrEF和HFpEF的两年总死亡率分别为32.9%、31.8%和29.1%。与HFrEF患者相比,HFmrEF患者的总死亡率明显较低(调整后危险比[HR] 0.89,95% 置信区间[CI] 0.83-0.95;P <0.001),而与HFpEF患者相比,总死亡率明显较高(调整后危险比1.25,95% 置信区间[CI] 1.17-1.33;P <0.001)。除了HFmrEF和HFpEF患者的HF住院率相似外,心血管死亡率和HF住院率也有类似情况:结论:HFmrEF 患者在心房颤动患者中占很大比例。HFmrEF代表了一种独特的心房颤动表型,具有高动脉粥样硬化负担,临床结果介于HFrEF和HFpEF之间。有必要开展进一步的治疗研究,以指导对这一具有挑战性的患者群体的管理。
本文章由计算机程序翻译,如有差异,请以英文原文为准。

Clinical characteristics and outcomes in Asian patients with heart failure with mildly reduced ejection fraction.

Clinical characteristics and outcomes in Asian patients with heart failure with mildly reduced ejection fraction.

Introduction: Data on heart failure (HF) with mildly reduced ejection fraction (HFmrEF) is still emerging, especially in Asian populations. This study aims to compare the clinical characteristics and outcomes of Asian HFmrEF patients with those of HF patients with reduced ejection fraction (HFrEF) and preserved ejection fraction (HFpEF).

Methods: Patients admitted nationally for HF between 2008 and 2014 were included in the study. They were categorised according to ejection fraction (EF). Patients with EF <40%, EF 40%-49% and EF ≥50% were categorised into the following groups: HFrEF, HFmrEF and HFpEF, respectively. All patients were followed up till December 2016. Primary outcome was all-cause mortality. Secondary outcomes included cardiovascular death and/or HF rehospitalisations.

Results: A total of 16,493 patients were included in the study - HFrEF, n = 7,341 (44.5%); HFmrEF, n = 2,272 (13.8%); and HFpEF n = 6,880 (41.7%). HFmrEF patients were more likely to be gender neutral, of mid-range age and have concomitant diabetes mellitus, hyperlipidaemia, peripheral vascular disease and coronary artery disease ( P < 0.001). The two-year overall mortality rates for HFrEF, HFmrEF and HFpEF were 32.9%, 31.8% and 29.1%, respectively. HFmrEF patients had a significantly lower overall mortality rate compared to HFrEF patients (adjusted hazard ratio [HR] 0.89, 95% confidence interval [CI] 0.83-0.95; P < 0.001) and a significantly higher overall mortality rate (adjusted HR 1.25, 95% CI 1.17-1.33; P < 0.001) compared to HFpEF patients. This was similarly seen with cardiovascular mortality and HF hospitalisations, with the exception of similar HF hospitalisations between HFmrEF and HFpEF patients.

Conclusion: HFmrEF patients account for a significant burden of patients with HF. HFmrEF represents a distinct HF phenotype with high atherosclerotic burden and clinical outcomes saddled in between those of HFrEF and HFpEF. Further therapeutic studies to guide management of this challenging group of patients are warranted.

求助全文
通过发布文献求助,成功后即可免费获取论文全文。 去求助
来源期刊
Singapore medical journal
Singapore medical journal MEDICINE, GENERAL & INTERNAL-
CiteScore
3.40
自引率
3.70%
发文量
149
审稿时长
3-6 weeks
期刊介绍: The Singapore Medical Journal (SMJ) is the monthly publication of Singapore Medical Association (SMA). The Journal aims to advance medical practice and clinical research by publishing high-quality articles that add to the clinical knowledge of physicians in Singapore and worldwide. SMJ is a general medical journal that focuses on all aspects of human health. The Journal publishes commissioned reviews, commentaries and editorials, original research, a small number of outstanding case reports, continuing medical education articles (ECG Series, Clinics in Diagnostic Imaging, Pictorial Essays, Practice Integration & Life-long Learning [PILL] Series), and short communications in the form of letters to the editor.
×
引用
GB/T 7714-2015
复制
MLA
复制
APA
复制
导出至
BibTeX EndNote RefMan NoteFirst NoteExpress
×
提示
您的信息不完整,为了账户安全,请先补充。
现在去补充
×
提示
您因"违规操作"
具体请查看互助需知
我知道了
×
提示
确定
请完成安全验证×
copy
已复制链接
快去分享给好友吧!
我知道了
右上角分享
点击右上角分享
0
联系我们:info@booksci.cn Book学术提供免费学术资源搜索服务,方便国内外学者检索中英文文献。致力于提供最便捷和优质的服务体验。 Copyright © 2023 布克学术 All rights reserved.
京ICP备2023020795号-1
ghs 京公网安备 11010802042870号
Book学术文献互助
Book学术文献互助群
群 号:604180095
Book学术官方微信