Increased Parenchymal Free Water May Be Decreased by Revascularization Surgery in Patients with Moyamoya Disease.

IF 3.2 3区 医学 Q2 RADIOLOGY, NUCLEAR MEDICINE & MEDICAL IMAGING
Magnetic Resonance in Medical Sciences Pub Date : 2024-10-01 Epub Date: 2023-04-18 DOI:10.2463/mrms.mp.2022-0146
Shoko Hara, Masaaki Hori, Koji Kamagata, Christina Andica, Motoki Inaji, Yoji Tanaka, Shigeki Aoki, Tadashi Nariai, Taketoshi Maehara
{"title":"Increased Parenchymal Free Water May Be Decreased by Revascularization Surgery in Patients with Moyamoya Disease.","authors":"Shoko Hara, Masaaki Hori, Koji Kamagata, Christina Andica, Motoki Inaji, Yoji Tanaka, Shigeki Aoki, Tadashi Nariai, Taketoshi Maehara","doi":"10.2463/mrms.mp.2022-0146","DOIUrl":null,"url":null,"abstract":"<p><strong>Purpose: </strong>Moyamoya disease (MMD) is a cerebrovascular disease associated with steno-occlusive changes in the arteries of the circle of Willis and with hemodynamic impairment. Previous studies have reported that parenchymal extracellular free water levels may be increased and the number of neurites may be decreased in patients with MMD. The aim of the present study was to investigate the postoperative changes in parenchymal free water and neurites and their relationship with cognitive improvement.</p><p><strong>Methods: </strong>Multi-shell diffusion MRI (neurite orientation dispersion and density imaging and free water imaging using a bi-tensor model) was performed in 15 hemispheres of 13 adult patients with MMD (11 female, mean age 37.9 years) who had undergone revascularization surgery as well as age- and sex-matched normal controls. Parameter maps of free water and free-water-eliminated neurites were created, and the regional parameter values were compared among controls, patients before surgery, and patients after surgery.</p><p><strong>Results: </strong>The anterior and middle cerebral artery territories of patients showed higher preoperative free water levels (P ≤ 0.007) and lower postoperative free water levels (P ≤ 0.001) than those of normal controls. The change in the dispersion of the white matter in the anterior cerebral artery territory correlated with cognitive improvement (r = -0.75; P = 0.004).</p><p><strong>Conclusion: </strong>Our study suggests that increased parenchymal free water levels decreased after surgery and that postoperative changes in neurite parameters are related to postoperative cognitive improvement in adult patients with MMD. Diffusion analytical methods separately calculating free water and neurites may be useful for unraveling the pathophysiology of chronic ischemia and the postoperative changes that occur after revascularization surgery in this disease population.</p>","PeriodicalId":18119,"journal":{"name":"Magnetic Resonance in Medical Sciences","volume":" ","pages":"405-416"},"PeriodicalIF":3.2000,"publicationDate":"2024-10-01","publicationTypes":"Journal Article","fieldsOfStudy":null,"isOpenAccess":false,"openAccessPdf":"https://www.ncbi.nlm.nih.gov/pmc/articles/PMC11447467/pdf/","citationCount":"0","resultStr":null,"platform":"Semanticscholar","paperid":null,"PeriodicalName":"Magnetic Resonance in Medical Sciences","FirstCategoryId":"3","ListUrlMain":"https://doi.org/10.2463/mrms.mp.2022-0146","RegionNum":3,"RegionCategory":"医学","ArticlePicture":[],"TitleCN":null,"AbstractTextCN":null,"PMCID":null,"EPubDate":"2023/4/18 0:00:00","PubModel":"Epub","JCR":"Q2","JCRName":"RADIOLOGY, NUCLEAR MEDICINE & MEDICAL IMAGING","Score":null,"Total":0}
引用次数: 0

Abstract

Purpose: Moyamoya disease (MMD) is a cerebrovascular disease associated with steno-occlusive changes in the arteries of the circle of Willis and with hemodynamic impairment. Previous studies have reported that parenchymal extracellular free water levels may be increased and the number of neurites may be decreased in patients with MMD. The aim of the present study was to investigate the postoperative changes in parenchymal free water and neurites and their relationship with cognitive improvement.

Methods: Multi-shell diffusion MRI (neurite orientation dispersion and density imaging and free water imaging using a bi-tensor model) was performed in 15 hemispheres of 13 adult patients with MMD (11 female, mean age 37.9 years) who had undergone revascularization surgery as well as age- and sex-matched normal controls. Parameter maps of free water and free-water-eliminated neurites were created, and the regional parameter values were compared among controls, patients before surgery, and patients after surgery.

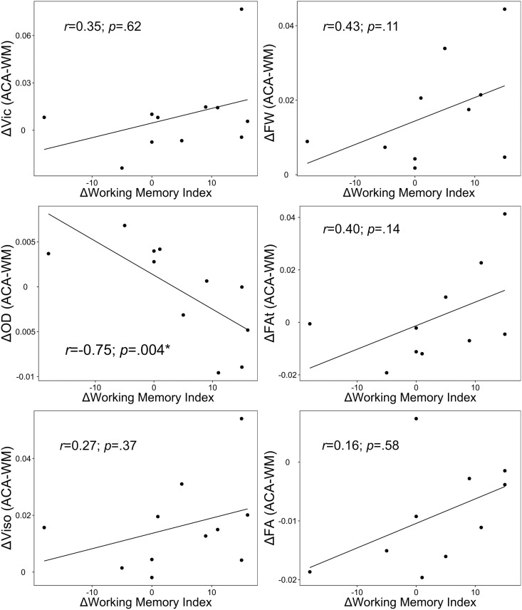
Results: The anterior and middle cerebral artery territories of patients showed higher preoperative free water levels (P ≤ 0.007) and lower postoperative free water levels (P ≤ 0.001) than those of normal controls. The change in the dispersion of the white matter in the anterior cerebral artery territory correlated with cognitive improvement (r = -0.75; P = 0.004).

Conclusion: Our study suggests that increased parenchymal free water levels decreased after surgery and that postoperative changes in neurite parameters are related to postoperative cognitive improvement in adult patients with MMD. Diffusion analytical methods separately calculating free water and neurites may be useful for unraveling the pathophysiology of chronic ischemia and the postoperative changes that occur after revascularization surgery in this disease population.

Abstract Image

Abstract Image

Abstract Image

Moyamoya病患者血管重建手术可减少实质游离水的增加
目的:莫亚莫亚病(MMD)是一种脑血管疾病,与威利斯圈动脉狭窄闭塞性病变和血液动力学损伤有关。以往的研究表明,MMD 患者的实质细胞外游离水含量可能会增加,神经元数量可能会减少。本研究旨在探讨术后实质游离水和神经元的变化及其与认知能力改善的关系:方法:对接受血管重建手术的13名成年多发性硬化症患者(11名女性,平均年龄37.9岁)的15个半球以及年龄和性别匹配的正常对照组进行了多壳体弥散核磁共振成像(神经元取向弥散和密度成像以及使用双张量模型的游离水成像)。绘制了游离水和游离水消除神经元的参数图,并比较了对照组、手术前患者和手术后患者的区域参数值:结果:与正常对照组相比,患者大脑前动脉和大脑中动脉区域的术前游离水含量更高(P≤0.007),术后游离水含量更低(P≤0.001)。大脑前动脉区域白质弥散度的变化与认知能力的改善相关(r = -0.75;P = 0.004):我们的研究表明,成年多发性硬化症患者术后实质游离水含量的增加会减少,术后神经元参数的变化与术后认知能力的改善有关。分别计算游离水和神经元的扩散分析方法可能有助于揭示慢性缺血的病理生理学以及该疾病人群血管重建手术后发生的术后变化。
本文章由计算机程序翻译,如有差异,请以英文原文为准。
求助全文
约1分钟内获得全文 求助全文
来源期刊
Magnetic Resonance in Medical Sciences
Magnetic Resonance in Medical Sciences RADIOLOGY, NUCLEAR MEDICINE & MEDICAL IMAGING-
CiteScore
5.80
自引率
20.00%
发文量
71
审稿时长
>12 weeks
期刊介绍: Magnetic Resonance in Medical Sciences (MRMS or Magn Reson Med Sci) is an international journal pursuing the publication of original articles contributing to the progress of magnetic resonance in the field of biomedical sciences including technical developments and clinical applications. MRMS is an official journal of the Japanese Society for Magnetic Resonance in Medicine (JSMRM).
×
引用
GB/T 7714-2015
复制
MLA
复制
APA
复制
导出至
BibTeX EndNote RefMan NoteFirst NoteExpress
×
提示
您的信息不完整,为了账户安全,请先补充。
现在去补充
×
提示
您因"违规操作"
具体请查看互助需知
我知道了
×
提示
确定
请完成安全验证×
copy
已复制链接
快去分享给好友吧!
我知道了
右上角分享
点击右上角分享
0
联系我们:info@booksci.cn Book学术提供免费学术资源搜索服务,方便国内外学者检索中英文文献。致力于提供最便捷和优质的服务体验。 Copyright © 2023 布克学术 All rights reserved.
京ICP备2023020795号-1
ghs 京公网安备 11010802042870号
Book学术文献互助
Book学术文献互助群
群 号:604180095
Book学术官方微信