Modeling T Cell Fate.

IF 33.3 1区 医学 Q1 IMMUNOLOGY
Rob J De Boer, Andrew J Yates
{"title":"Modeling T Cell Fate.","authors":"Rob J De Boer, Andrew J Yates","doi":"10.1146/annurev-immunol-101721-040924","DOIUrl":null,"url":null,"abstract":"<p><p>Many of the pathways that underlie the diversification of naive T cells into effector and memory subsets, and the maintenance of these populations, remain controversial. In recent years a variety of experimental tools have been developed that allow us to follow the fates of cells and their descendants. In this review we describe how mathematical models provide a natural language for describing the growth, loss, and differentiation of cell populations. By encoding mechanistic descriptions of cell behavior, models can help us interpret these new datasets and reveal the rules underpinning T cell fate decisions, both at steady state and during immune responses.</p>","PeriodicalId":8271,"journal":{"name":"Annual review of immunology","volume":"41 ","pages":"513-532"},"PeriodicalIF":33.3000,"publicationDate":"2023-04-26","publicationTypes":"Journal Article","fieldsOfStudy":null,"isOpenAccess":false,"openAccessPdf":"https://www.ncbi.nlm.nih.gov/pmc/articles/PMC11100019/pdf/","citationCount":"0","resultStr":null,"platform":"Semanticscholar","paperid":null,"PeriodicalName":"Annual review of immunology","FirstCategoryId":"3","ListUrlMain":"https://doi.org/10.1146/annurev-immunol-101721-040924","RegionNum":1,"RegionCategory":"医学","ArticlePicture":[],"TitleCN":null,"AbstractTextCN":null,"PMCID":null,"EPubDate":"","PubModel":"","JCR":"Q1","JCRName":"IMMUNOLOGY","Score":null,"Total":0}
引用次数: 0

Abstract

Many of the pathways that underlie the diversification of naive T cells into effector and memory subsets, and the maintenance of these populations, remain controversial. In recent years a variety of experimental tools have been developed that allow us to follow the fates of cells and their descendants. In this review we describe how mathematical models provide a natural language for describing the growth, loss, and differentiation of cell populations. By encoding mechanistic descriptions of cell behavior, models can help us interpret these new datasets and reveal the rules underpinning T cell fate decisions, both at steady state and during immune responses.

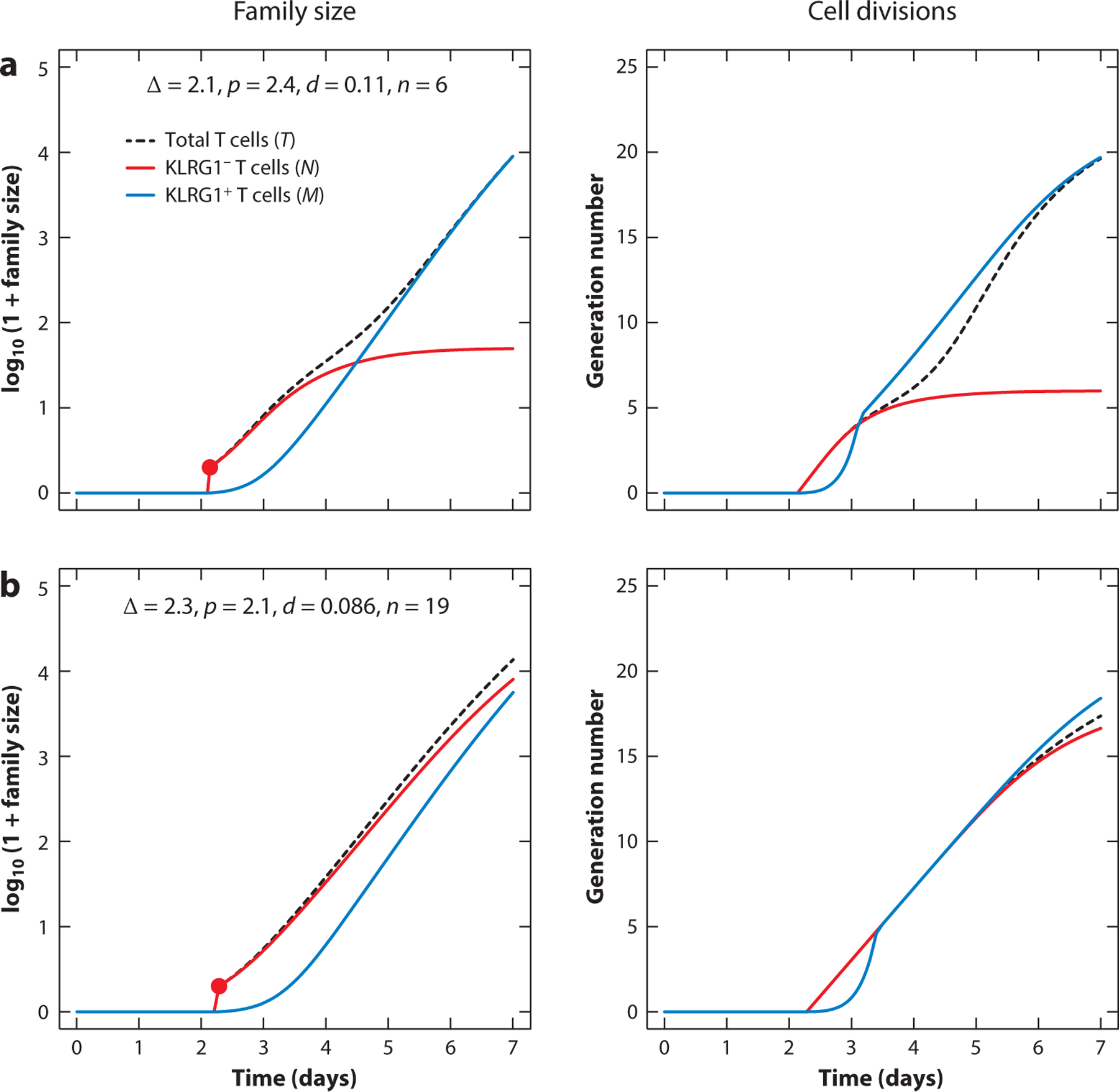
Abstract Image

Abstract Image

Abstract Image

T 细胞命运建模
天真 T 细胞分化为效应亚群和记忆亚群以及维持这些亚群的许多途径仍存在争议。近年来,我们开发出了多种实验工具,可以跟踪细胞及其后代的命运。在这篇综述中,我们将介绍数学模型如何为描述细胞群的生长、丢失和分化提供一种自然语言。通过编码细胞行为的机理描述,模型可帮助我们解释这些新数据集,并揭示稳态和免疫反应期间 T 细胞命运决定的基本规则。
本文章由计算机程序翻译,如有差异,请以英文原文为准。
求助全文
约1分钟内获得全文 求助全文
来源期刊
Annual review of immunology
Annual review of immunology 医学-免疫学
CiteScore
57.20
自引率
0.70%
发文量
29
期刊介绍: The Annual Review of Immunology, in publication since 1983, focuses on basic immune mechanisms and molecular basis of immune diseases in humans. Topics include innate and adaptive immunity; immune cell development and differentiation; immune control of pathogens (viruses, bacteria, parasites) and cancer; and human immunodeficiency and autoimmune diseases. The current volume of this journal has been converted from gated to open access through Annual Reviews' Subscribe to Open program, with all articles published under a CC BY license.
×
引用
GB/T 7714-2015
复制
MLA
复制
APA
复制
导出至
BibTeX EndNote RefMan NoteFirst NoteExpress
×
提示
您的信息不完整,为了账户安全,请先补充。
现在去补充
×
提示
您因"违规操作"
具体请查看互助需知
我知道了
×
提示
确定
请完成安全验证×
copy
已复制链接
快去分享给好友吧!
我知道了
右上角分享
点击右上角分享
0
联系我们:info@booksci.cn Book学术提供免费学术资源搜索服务,方便国内外学者检索中英文文献。致力于提供最便捷和优质的服务体验。 Copyright © 2023 布克学术 All rights reserved.
京ICP备2023020795号-1
ghs 京公网安备 11010802042870号
Book学术文献互助
Book学术文献互助群
群 号:604180095
Book学术官方微信