[Assessment of the importance of neuropediatric diagnostics in the initial clarification of autism].

IF 1.5 Q2 MEDICINE, GENERAL & INTERNAL
Wiener medizinische Wochenschrift Pub Date : 2024-09-01 Epub Date: 2023-05-03 DOI:10.1007/s10354-023-01012-w
Sarah Ruffing, Christine Ullrich, Marina Flotats-Bastardas, Martin Poryo, Sascha Meyer
{"title":"[Assessment of the importance of neuropediatric diagnostics in the initial clarification of autism].","authors":"Sarah Ruffing, Christine Ullrich, Marina Flotats-Bastardas, Martin Poryo, Sascha Meyer","doi":"10.1007/s10354-023-01012-w","DOIUrl":null,"url":null,"abstract":"<p><strong>Background: </strong>The diagnostics of autism spectrum disorder is complex due to missing biological markers and numerous comorbidities. The aim was to assess the role of neuropediatric diagnostics and to develop a standard operating procedure for a targeted assessment.</p><p><strong>Method: </strong>All patients presenting to the neuropediatric outpatient clinic at Saarland University Hospital between April 2014 and December 2017 with ICD code F84 pervasive developmental disorders were included.</p><p><strong>Results: </strong>A total of 82 patients were included (male 78%, female 22%; mean age 5.9 ± 2.9 years, range 2-16 years). The most frequent examination was electroencephalography (EEG) (74/82; 90.2%) with pathological findings in 33.8% (25/74). Based on the history and/or EEG epilepsy was diagnosed in 19.5% (16/82). Magnetic resonance imaging (MRI) was performed in 49/82 (59.8%) patients, 22/49 (44.9%) showed at least 1 cerebral abnormality and definite pathologies could be detected in 63.6% (14/22). A metabolic diagnostic work-up was performed in 44/82 (53.7%) cases and in 5/44 (11.4%) it resulted in a diagnosis or suspicion of a metabolic disease. Genetic testing results were available in 29/82 (35.4%) children and 12/29 (41.4%) showed abnormal results. Delay in motor development was more frequently associated with comorbidities, EEG abnormalities, epilepsy and abnormalities in metabolic and genetic testing.</p><p><strong>Conclusion: </strong>Neuropediatric examination in cases of suspected autism should include a detailed history, a thorough neurological examination and an EEG. An MRI, comprehensive metabolic and genetic testing are only recommended if clinically indicated.</p>","PeriodicalId":23882,"journal":{"name":"Wiener medizinische Wochenschrift","volume":" ","pages":"231-241"},"PeriodicalIF":1.5000,"publicationDate":"2024-09-01","publicationTypes":"Journal Article","fieldsOfStudy":null,"isOpenAccess":false,"openAccessPdf":"https://www.ncbi.nlm.nih.gov/pmc/articles/PMC11347487/pdf/","citationCount":"0","resultStr":null,"platform":"Semanticscholar","paperid":null,"PeriodicalName":"Wiener medizinische Wochenschrift","FirstCategoryId":"1085","ListUrlMain":"https://doi.org/10.1007/s10354-023-01012-w","RegionNum":0,"RegionCategory":null,"ArticlePicture":[],"TitleCN":null,"AbstractTextCN":null,"PMCID":null,"EPubDate":"2023/5/3 0:00:00","PubModel":"Epub","JCR":"Q2","JCRName":"MEDICINE, GENERAL & INTERNAL","Score":null,"Total":0}
引用次数: 0

Abstract

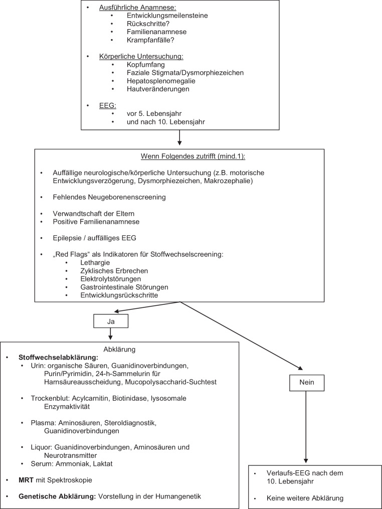
Background: The diagnostics of autism spectrum disorder is complex due to missing biological markers and numerous comorbidities. The aim was to assess the role of neuropediatric diagnostics and to develop a standard operating procedure for a targeted assessment.

Method: All patients presenting to the neuropediatric outpatient clinic at Saarland University Hospital between April 2014 and December 2017 with ICD code F84 pervasive developmental disorders were included.

Results: A total of 82 patients were included (male 78%, female 22%; mean age 5.9 ± 2.9 years, range 2-16 years). The most frequent examination was electroencephalography (EEG) (74/82; 90.2%) with pathological findings in 33.8% (25/74). Based on the history and/or EEG epilepsy was diagnosed in 19.5% (16/82). Magnetic resonance imaging (MRI) was performed in 49/82 (59.8%) patients, 22/49 (44.9%) showed at least 1 cerebral abnormality and definite pathologies could be detected in 63.6% (14/22). A metabolic diagnostic work-up was performed in 44/82 (53.7%) cases and in 5/44 (11.4%) it resulted in a diagnosis or suspicion of a metabolic disease. Genetic testing results were available in 29/82 (35.4%) children and 12/29 (41.4%) showed abnormal results. Delay in motor development was more frequently associated with comorbidities, EEG abnormalities, epilepsy and abnormalities in metabolic and genetic testing.

Conclusion: Neuropediatric examination in cases of suspected autism should include a detailed history, a thorough neurological examination and an EEG. An MRI, comprehensive metabolic and genetic testing are only recommended if clinically indicated.

Abstract Image

[评估神经儿科诊断对初步明确自闭症的重要性]。
背景:自闭症谱系障碍的诊断很复杂,因为缺少生物标记物,而且合并症很多。该研究旨在评估神经儿科诊断的作用,并为有针对性的评估制定标准操作程序:方法:纳入2014年4月至2017年12月期间在萨尔州大学医院神经儿科门诊就诊的所有ICD代码为F84的广泛性发育障碍患者:共纳入82名患者(男性占78%,女性占22%;平均年龄为5.9 ± 2.9岁,范围为2-16岁)。最常见的检查是脑电图(EEG)(74/82;90.2%),33.8%(25/74)的患者有病理结果。根据病史和/或脑电图,19.5%(16/82)的患者被诊断为癫痫。49/82(59.8%)名患者进行了磁共振成像(MRI)检查,22/49(44.9%)名患者至少发现了一处脑部异常,63.6%(14/22)的患者可检测到明确的病变。44/82(53.7%)例患者进行了代谢诊断检查,5/44(11.4%)例患者确诊或怀疑患有代谢性疾病。29/82(35.4%)名患儿获得了基因检测结果,12/29(41.4%)名患儿的检测结果显示异常。运动发育迟缓多与合并症、脑电图异常、癫痫以及代谢和基因检测异常有关:结论:对疑似自闭症病例的神经儿科检查应包括详细的病史、全面的神经系统检查和脑电图。只有在有临床指征的情况下,才建议进行核磁共振成像、全面的代谢和基因检测。
本文章由计算机程序翻译,如有差异,请以英文原文为准。
求助全文
约1分钟内获得全文 求助全文
来源期刊
Wiener medizinische Wochenschrift
Wiener medizinische Wochenschrift MEDICINE, GENERAL & INTERNAL-
CiteScore
2.50
自引率
0.00%
发文量
79
期刊介绍: ''From the microscope to clinical application!'', Scientists from all European countries make available their recent research results and practical experience through Wiener Medizinische Wochenschrift, the renowned English- and German-language forum. Both original articles and reviews on a broad spectrum of clinical and preclinical medicine are presented within the successful framework of thematic issues compiled by guest editors. Selected cutting-edge topics, such as dementia, geriatric oncology, Helicobacter pylori and phytomedicine make the journal a mandatory source of information.
×
引用
GB/T 7714-2015
复制
MLA
复制
APA
复制
导出至
BibTeX EndNote RefMan NoteFirst NoteExpress
×
提示
您的信息不完整,为了账户安全,请先补充。
现在去补充
×
提示
您因"违规操作"
具体请查看互助需知
我知道了
×
提示
确定
请完成安全验证×
copy
已复制链接
快去分享给好友吧!
我知道了
右上角分享
点击右上角分享
0
联系我们:info@booksci.cn Book学术提供免费学术资源搜索服务,方便国内外学者检索中英文文献。致力于提供最便捷和优质的服务体验。 Copyright © 2023 布克学术 All rights reserved.
京ICP备2023020795号-1
ghs 京公网安备 11010802042870号
Book学术文献互助
Book学术文献互助群
群 号:604180095
Book学术官方微信
小红书