N-, Se-, and S-Doped Bimetallic NiCoP Nanosheet Arrays as Efficient Hydrogen Evolution Electrocatalysts

IF 7.3 1区 化学 Q1 CHEMISTRY, MULTIDISCIPLINARY
Zhenxiang Zhan, Pingping Gao*, Ting Lei*, Shiwei Zhang and Yong Du, 
{"title":"N-, Se-, and S-Doped Bimetallic NiCoP Nanosheet Arrays as Efficient Hydrogen Evolution Electrocatalysts","authors":"Zhenxiang Zhan,&nbsp;Pingping Gao*,&nbsp;Ting Lei*,&nbsp;Shiwei Zhang and Yong Du,&nbsp;","doi":"10.1021/acssuschemeng.2c06444","DOIUrl":null,"url":null,"abstract":"<p >N-, Se-, and S-doped NiCoP nanosheet arrays with the same doping content were prepared on nickel foam (NF) as efficient electrocatalysts for the hydrogen evolution reaction (HER). Experimental results and theoretical calculations mutually verified that N, Se, and S doping modulated the electronic structure of NiCoP and thus accelerated the intrinsic charge transport, which eventually enhanced the HER activity. N-NiCoP/NF, Se-NiCoP/NF, and S-NiCoP/NF catalysts show overpotential of 149, 153, and 137 mV at a current density of 100 mA cm<sup>–2</sup>, respectively, lower than 154 mV of 20% Pt-C@NF. Additionally, S-NiCoP/NF exhibits long-term robustness for the HER in 120 h of continuous electrolysis with negligible current attenuation. It is expected that S-NiCoP/NF may be applicable in water electrolysis with improved efficiency.</p>","PeriodicalId":25,"journal":{"name":"ACS Sustainable Chemistry & Engineering","volume":"11 13","pages":"4980–4989"},"PeriodicalIF":7.3000,"publicationDate":"2023-03-24","publicationTypes":"Journal Article","fieldsOfStudy":null,"isOpenAccess":false,"openAccessPdf":"","citationCount":"3","resultStr":null,"platform":"Semanticscholar","paperid":null,"PeriodicalName":"ACS Sustainable Chemistry & Engineering","FirstCategoryId":"92","ListUrlMain":"https://pubs.acs.org/doi/10.1021/acssuschemeng.2c06444","RegionNum":1,"RegionCategory":"化学","ArticlePicture":[],"TitleCN":null,"AbstractTextCN":null,"PMCID":null,"EPubDate":"","PubModel":"","JCR":"Q1","JCRName":"CHEMISTRY, MULTIDISCIPLINARY","Score":null,"Total":0}
引用次数: 3

Abstract

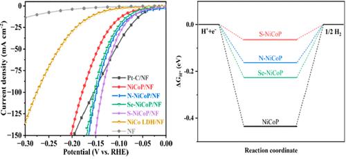
N-, Se-, and S-doped NiCoP nanosheet arrays with the same doping content were prepared on nickel foam (NF) as efficient electrocatalysts for the hydrogen evolution reaction (HER). Experimental results and theoretical calculations mutually verified that N, Se, and S doping modulated the electronic structure of NiCoP and thus accelerated the intrinsic charge transport, which eventually enhanced the HER activity. N-NiCoP/NF, Se-NiCoP/NF, and S-NiCoP/NF catalysts show overpotential of 149, 153, and 137 mV at a current density of 100 mA cm–2, respectively, lower than 154 mV of 20% Pt-C@NF. Additionally, S-NiCoP/NF exhibits long-term robustness for the HER in 120 h of continuous electrolysis with negligible current attenuation. It is expected that S-NiCoP/NF may be applicable in water electrolysis with improved efficiency.

Abstract Image

N、Se和s掺杂双金属NiCoP纳米片阵列作为高效析氢电催化剂
在泡沫镍(NF)上制备了相同掺杂量的N、Se和s掺杂NiCoP纳米片阵列,作为析氢反应(HER)的高效电催化剂。实验结果和理论计算相互验证了N、Se和S掺杂调制了NiCoP的电子结构,从而加速了本征电荷输运,最终增强了HER活性。N-NiCoP/NF、Se-NiCoP/NF和S-NiCoP/NF催化剂在电流密度为100 mA cm-2时的过电位分别为149、153和137 mV,比154 mV低20% Pt-C@NF。此外,S-NiCoP/NF在连续电解120 h时对HER具有长期稳健性,电流衰减可以忽略不计。期望S-NiCoP/NF在水电解中有更高的应用效率。
本文章由计算机程序翻译,如有差异,请以英文原文为准。
求助全文
约1分钟内获得全文 求助全文
来源期刊
ACS Sustainable Chemistry & Engineering
ACS Sustainable Chemistry & Engineering CHEMISTRY, MULTIDISCIPLINARY-ENGINEERING, CHEMICAL
CiteScore
13.80
自引率
4.80%
发文量
1470
审稿时长
1.7 months
期刊介绍: ACS Sustainable Chemistry & Engineering is a prestigious weekly peer-reviewed scientific journal published by the American Chemical Society. Dedicated to advancing the principles of green chemistry and green engineering, it covers a wide array of research topics including green chemistry, green engineering, biomass, alternative energy, and life cycle assessment. The journal welcomes submissions in various formats, including Letters, Articles, Features, and Perspectives (Reviews), that address the challenges of sustainability in the chemical enterprise and contribute to the advancement of sustainable practices. Join us in shaping the future of sustainable chemistry and engineering.
×
引用
GB/T 7714-2015
复制
MLA
复制
APA
复制
导出至
BibTeX EndNote RefMan NoteFirst NoteExpress
×
提示
您的信息不完整,为了账户安全,请先补充。
现在去补充
×
提示
您因"违规操作"
具体请查看互助需知
我知道了
×
提示
确定
请完成安全验证×
copy
已复制链接
快去分享给好友吧!
我知道了
右上角分享
点击右上角分享
0
联系我们:info@booksci.cn Book学术提供免费学术资源搜索服务,方便国内外学者检索中英文文献。致力于提供最便捷和优质的服务体验。 Copyright © 2023 布克学术 All rights reserved.
京ICP备2023020795号-1
ghs 京公网安备 11010802042870号
Book学术文献互助
Book学术文献互助群
群 号:604180095
Book学术官方微信