Roles of Cytokines in Pathological and Physiological Gastroesophageal Reflux Exposure.

IF 3.3 3区 医学 Q2 CLINICAL NEUROLOGY
Journal of Neurogastroenterology and Motility Pub Date : 2024-07-30 Epub Date: 2023-11-14 DOI:10.5056/jnm22186
Pelin Ergun, Sezgi Kipcak, Nur S Gunel, Serhat Bor, Eser Y Sozmen
{"title":"Roles of Cytokines in Pathological and Physiological Gastroesophageal Reflux Exposure.","authors":"Pelin Ergun, Sezgi Kipcak, Nur S Gunel, Serhat Bor, Eser Y Sozmen","doi":"10.5056/jnm22186","DOIUrl":null,"url":null,"abstract":"<p><strong>Background/aims: </strong>Gastroesophageal reflux disease is frequently observed and has no definitive treatment. There are 2 main views on the pathogenesis of gastroesophageal reflux disease. The first is that epithelial damage starts from the mucosa by acidic-peptic damage and the inflammatory response of granulocytes. The other view is that T-lymphocytes attract chemoattractants from the basal layer to the mucosa, and granulocytes do not migrate until damage occurs. We aim to investigate the inflammatory processes occurring in the esophageal epithelium of the phenotypes at the molecular level. We also examined the effects of these changes on tissue integrity.</p><p><strong>Methods: </strong>Patients with mild and severe erosive reflux, nonerosive reflux, reflux hypersensitivity, and functional heartburn were included. Inflammatory gene expressions (JAK/STAT Signaling and NFKappaB Primer Libraries), chemokine protein levels, and tissue integrity were examined in the esophageal biopsies.</p><p><strong>Results: </strong>There was chronic inflammation in the severe erosion group, the acute response was also triggered. In the mild erosion group, these 2 processes worked together, but homeostatic cytokines were also secreted. In nonerosive groups, T-lymphocytes were more dominant. In addition, the inflammatory response was highly triggered in the reflux hypersensitivity and functional heartburn groups, and it was associated with physiological reflux exposure and sensitivity.</p><p><strong>Conclusions: </strong>\"Microinflammation\" in physiological acid exposure groups indicates that even a mild trigger is sufficient for the initiation and progression of inflammatory activity. Additionally, the anti-inflammatory cytokines were highly increased. The results may have a potential role in the treatment of heartburn symptoms and healing of the mucosa.</p>","PeriodicalId":16543,"journal":{"name":"Journal of Neurogastroenterology and Motility","volume":" ","pages":"290-302"},"PeriodicalIF":3.3000,"publicationDate":"2024-07-30","publicationTypes":"Journal Article","fieldsOfStudy":null,"isOpenAccess":false,"openAccessPdf":"https://www.ncbi.nlm.nih.gov/pmc/articles/PMC11238103/pdf/","citationCount":"0","resultStr":null,"platform":"Semanticscholar","paperid":null,"PeriodicalName":"Journal of Neurogastroenterology and Motility","FirstCategoryId":"3","ListUrlMain":"https://doi.org/10.5056/jnm22186","RegionNum":3,"RegionCategory":"医学","ArticlePicture":[],"TitleCN":null,"AbstractTextCN":null,"PMCID":null,"EPubDate":"2023/11/14 0:00:00","PubModel":"Epub","JCR":"Q2","JCRName":"CLINICAL NEUROLOGY","Score":null,"Total":0}
引用次数: 0

Abstract

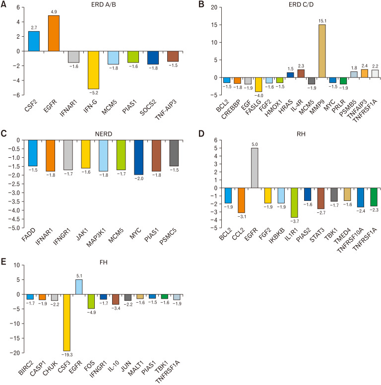
Background/aims: Gastroesophageal reflux disease is frequently observed and has no definitive treatment. There are 2 main views on the pathogenesis of gastroesophageal reflux disease. The first is that epithelial damage starts from the mucosa by acidic-peptic damage and the inflammatory response of granulocytes. The other view is that T-lymphocytes attract chemoattractants from the basal layer to the mucosa, and granulocytes do not migrate until damage occurs. We aim to investigate the inflammatory processes occurring in the esophageal epithelium of the phenotypes at the molecular level. We also examined the effects of these changes on tissue integrity.

Methods: Patients with mild and severe erosive reflux, nonerosive reflux, reflux hypersensitivity, and functional heartburn were included. Inflammatory gene expressions (JAK/STAT Signaling and NFKappaB Primer Libraries), chemokine protein levels, and tissue integrity were examined in the esophageal biopsies.

Results: There was chronic inflammation in the severe erosion group, the acute response was also triggered. In the mild erosion group, these 2 processes worked together, but homeostatic cytokines were also secreted. In nonerosive groups, T-lymphocytes were more dominant. In addition, the inflammatory response was highly triggered in the reflux hypersensitivity and functional heartburn groups, and it was associated with physiological reflux exposure and sensitivity.

Conclusions: "Microinflammation" in physiological acid exposure groups indicates that even a mild trigger is sufficient for the initiation and progression of inflammatory activity. Additionally, the anti-inflammatory cytokines were highly increased. The results may have a potential role in the treatment of heartburn symptoms and healing of the mucosa.

Abstract Image

Abstract Image

细胞因子在病理和生理性胃食管反流暴露中的作用。
背景/目的:胃食管反流病是一种常见的疾病,没有明确的治疗方法。关于胃食管反流病的发病机制主要有两种观点。第一种是上皮损伤从粘膜开始,由酸性消化性损伤和粒细胞的炎症反应引起。另一种观点认为,t淋巴细胞将化学引诱剂从基底层吸引到粘膜,而粒细胞在损伤发生之前不会迁移。我们的目的是在分子水平上研究发生在食管上皮表型的炎症过程。我们还研究了这些变化对组织完整性的影响。方法:包括轻度和重度糜烂性反流、非糜烂性反流、反流过敏和功能性胃灼热患者。在食管活检中检测炎症基因表达(JAK/STAT信号和NFKappaB引物文库)、趋化因子蛋白水平和组织完整性。结果:重度糜烂组出现慢性炎症反应,同时引发急性反应。在轻度侵蚀组中,这两个过程共同作用,但也分泌稳态细胞因子。在非糜烂组,t淋巴细胞更占优势。此外,在反流超敏和功能性胃灼热组中,炎症反应被高度触发,并且与生理反流暴露和敏感性相关。结论:生理酸暴露组的“微炎症”表明,即使是轻微的触发也足以引起炎症活动的开始和进展。此外,抗炎细胞因子也显著增加。结果可能对治疗胃灼热症状和粘膜愈合有潜在的作用。
本文章由计算机程序翻译,如有差异,请以英文原文为准。
求助全文
约1分钟内获得全文 求助全文
来源期刊
Journal of Neurogastroenterology and Motility
Journal of Neurogastroenterology and Motility GASTROENTEROLOGY & HEPATOLOGY-CLINICAL NEUROLOGY
CiteScore
6.30
自引率
8.80%
发文量
96
期刊介绍: Journal of Neurogastroenterology and Motility (J Neurogastroenterol Motil) is a joint official journal of the Korean Society of Neurogastroenterology and Motility, the Thai Neurogastroenterology and Motility Society, the Japanese Society of Neurogastroenterology and Motility, the Indian Motility and Functional Disease Association, the Chinese Society of Gastrointestinal Motility, the South East Asia Gastro-Neuro Motility Association, the Taiwan Neurogastroenterology and Motility Society and the Asian Neurogastroenterology and Motility Association, launched in January 2010 after the title change from the Korean Journal of Neurogastroenterology and Motility, published from 1994 to 2009.
×
引用
GB/T 7714-2015
复制
MLA
复制
APA
复制
导出至
BibTeX EndNote RefMan NoteFirst NoteExpress
×
提示
您的信息不完整,为了账户安全,请先补充。
现在去补充
×
提示
您因"违规操作"
具体请查看互助需知
我知道了
×
提示
确定
请完成安全验证×
copy
已复制链接
快去分享给好友吧!
我知道了
右上角分享
点击右上角分享
0
联系我们:info@booksci.cn Book学术提供免费学术资源搜索服务,方便国内外学者检索中英文文献。致力于提供最便捷和优质的服务体验。 Copyright © 2023 布克学术 All rights reserved.
京ICP备2023020795号-1
ghs 京公网安备 11010802042870号
Book学术文献互助
Book学术文献互助群
群 号:604180095
Book学术官方微信