Investigation of Whole and Glandular Saliva as a Biomarker for Alzheimer's Disease Diagnosis.

IF 0.1 1区 艺术学 0 MUSIC
Yangyang Cui, Hankun Zhang, Jia Zhu, Zhenhua Liao, Song Wang, Weiqiang Liu
{"title":"Investigation of Whole and Glandular Saliva as a Biomarker for Alzheimer's Disease Diagnosis.","authors":"Yangyang Cui, Hankun Zhang, Jia Zhu, Zhenhua Liao, Song Wang, Weiqiang Liu","doi":"10.3390/brainsci12050595","DOIUrl":null,"url":null,"abstract":"<p><p>Salivary Aβ40, Aβ42, t-tau, and <i>p</i>-tau 181 are commonly employed in Alzheimer's disease (AD) investigations. However, the collection method of these biomarkers can affect their levels. To assess the impact of saliva collection methods on biomarkers in this study, 15 healthy people were employed in the morning with six saliva collection methods. The chosen methods were then applied in 30 AD patients and 30 non-AD controls. The levels of salivary biomarkers were calculated by a specific enzyme-linked immunosorbent assay. The receiver operating characteristic was utilized to assess salivary biomarkers in AD patients. The results demonstrated that the highest levels of salivary Aβ40, Aβ42, t-tau, and <i>p</i>-tau were in different saliva collection methods. The correlations between different saliva biomarkers in the same collection method were different. Salivary Aβ40, Aβ42, t-tau, and <i>p</i>-tau had no significant association. Salivary Aβ42 was higher in AD than in non-AD controls. However, <i>p</i>-tau/t-tau and Aβ42/Aβ40 had some relevance. The area under the curve for four biomarkers combined in AD diagnosis was 92.11%. An alternate saliva collection method (e.g., USS in Aβ40, UPS in Aβ42, t-tau, SSS in <i>p</i>-tau 181) was demonstrated in this study. Moreover, combining numerous biomarkers improves AD diagnosis.</p>","PeriodicalId":42522,"journal":{"name":"REVUE DE MUSICOLOGIE","volume":"40 1","pages":""},"PeriodicalIF":0.1000,"publicationDate":"2022-05-03","publicationTypes":"Journal Article","fieldsOfStudy":null,"isOpenAccess":false,"openAccessPdf":"https://www.ncbi.nlm.nih.gov/pmc/articles/PMC9139762/pdf/","citationCount":"0","resultStr":null,"platform":"Semanticscholar","paperid":null,"PeriodicalName":"REVUE DE MUSICOLOGIE","FirstCategoryId":"3","ListUrlMain":"https://doi.org/10.3390/brainsci12050595","RegionNum":1,"RegionCategory":"艺术学","ArticlePicture":[],"TitleCN":null,"AbstractTextCN":null,"PMCID":null,"EPubDate":"","PubModel":"","JCR":"0","JCRName":"MUSIC","Score":null,"Total":0}
引用次数: 0

Abstract

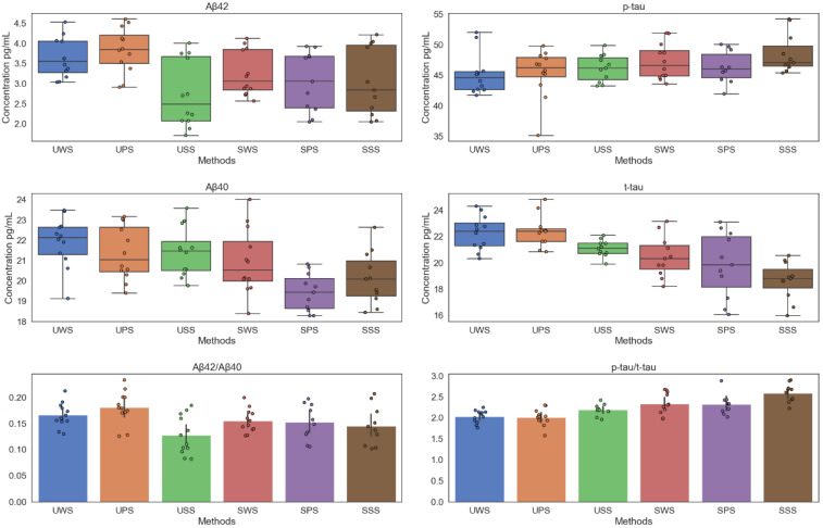
Salivary Aβ40, Aβ42, t-tau, and p-tau 181 are commonly employed in Alzheimer's disease (AD) investigations. However, the collection method of these biomarkers can affect their levels. To assess the impact of saliva collection methods on biomarkers in this study, 15 healthy people were employed in the morning with six saliva collection methods. The chosen methods were then applied in 30 AD patients and 30 non-AD controls. The levels of salivary biomarkers were calculated by a specific enzyme-linked immunosorbent assay. The receiver operating characteristic was utilized to assess salivary biomarkers in AD patients. The results demonstrated that the highest levels of salivary Aβ40, Aβ42, t-tau, and p-tau were in different saliva collection methods. The correlations between different saliva biomarkers in the same collection method were different. Salivary Aβ40, Aβ42, t-tau, and p-tau had no significant association. Salivary Aβ42 was higher in AD than in non-AD controls. However, p-tau/t-tau and Aβ42/Aβ40 had some relevance. The area under the curve for four biomarkers combined in AD diagnosis was 92.11%. An alternate saliva collection method (e.g., USS in Aβ40, UPS in Aβ42, t-tau, SSS in p-tau 181) was demonstrated in this study. Moreover, combining numerous biomarkers improves AD diagnosis.

Abstract Image

Abstract Image

Abstract Image

将全唾液和腺体唾液作为阿尔茨海默病诊断生物标志物的研究
唾液Aβ40、Aβ42、t-tau和p-tau 181通常用于阿尔茨海默病(AD)的研究。然而,这些生物标志物的收集方法会影响其水平。在这项研究中,为了评估唾液收集方法对生物标志物的影响,15 名健康人在早晨采用了六种唾液收集方法。然后将所选方法应用于 30 名注意力缺失症患者和 30 名非注意力缺失症对照组。通过特异性酶联免疫吸附试验计算唾液生物标志物的水平。利用接收器操作特征来评估 AD 患者的唾液生物标志物。结果表明,在不同的唾液采集方法中,唾液Aβ40、Aβ42、t-tau和p-tau的水平最高。同一采集方法中不同唾液生物标志物之间的相关性也不同。唾液Aβ40、Aβ42、t-tau和p-tau之间没有明显的相关性。AD患者的唾液Aβ42高于非AD对照组。然而,p-tau/t-tau 和 Aβ42/Aβ40 具有一定的相关性。在诊断AD时,四种生物标志物的曲线下面积合计为92.11%。本研究证实了另一种唾液收集方法(如 Aβ40 中的 USS、Aβ42 中的 UPS、t-tau、p-tau 181 中的 SSS)。此外,将多种生物标志物结合在一起可提高AD的诊断率。
本文章由计算机程序翻译,如有差异,请以英文原文为准。
求助全文
约1分钟内获得全文 求助全文
来源期刊
CiteScore
0.20
自引率
33.30%
发文量
0
×
引用
GB/T 7714-2015
复制
MLA
复制
APA
复制
导出至
BibTeX EndNote RefMan NoteFirst NoteExpress
×
提示
您的信息不完整,为了账户安全,请先补充。
现在去补充
×
提示
您因"违规操作"
具体请查看互助需知
我知道了
×
提示
确定
请完成安全验证×
copy
已复制链接
快去分享给好友吧!
我知道了
右上角分享
点击右上角分享
0
联系我们:info@booksci.cn Book学术提供免费学术资源搜索服务,方便国内外学者检索中英文文献。致力于提供最便捷和优质的服务体验。 Copyright © 2023 布克学术 All rights reserved.
京ICP备2023020795号-1
ghs 京公网安备 11010802042870号
Book学术文献互助
Book学术文献互助群
群 号:604180095
Book学术官方微信
小红书