Modeling the Potential Impact of Changing Access Rates to Specialist Treatment for Alcohol Dependence for Local Authorities in England: The Specialist Treatment for Alcohol Model (STreAM).

Q1 Medicine
Alan Brennan, Daniel Hill-McManus, Tony Stone, Penny Buykx, Abdallah Ally, Robert E Pryce, Robert Alston, Andrew Jones, Donal Cairns, Tim Millar, Michael Donmall, Tom Phillips, Petra Meier, Colin Drummond
{"title":"Modeling the Potential Impact of Changing Access Rates to Specialist Treatment for Alcohol Dependence for Local Authorities in England: The Specialist Treatment for Alcohol Model (STreAM).","authors":"Alan Brennan, Daniel Hill-McManus, Tony Stone, Penny Buykx, Abdallah Ally, Robert E Pryce, Robert Alston, Andrew Jones, Donal Cairns, Tim Millar, Michael Donmall, Tom Phillips, Petra Meier, Colin Drummond","doi":"10.15288/jsads.2019.s18.96","DOIUrl":null,"url":null,"abstract":"<p><strong>Objective: </strong>We modeled the impact of changing Specialist Treatment Access Rates to different treatment pathways on the future prevalence of alcohol dependence, treatment outcomes, service capacity, costs, and mortality.</p><p><strong>Method: </strong>Local Authority numbers and the prevalence of people \"potentially in need of assessment for and treatment in specialist services for alcohol dependence\" (PINASTFAD) are estimated by mild, moderate, severe, and complex needs. Administrative data were used to estimate the Specialist Treatment Access Rate per PINASTFAD person and classify 22 different treatment pathways. Other model inputs include natural remission, relapse after treatment, service costs, and mortality rates. \"What-if\" analyses assess changes to Specialist Treatment Access Rates and treatment pathways. Model outputs include the numbers and prevalence of people who are PINASTFAD, numbers treated by 22 pathways, outcomes (successful completion with abstinence, successfully moderated nonproblematic drinking, re-treatment within 6 months, dropout, transfer, custody), mortality rates, capacity requirements (numbers in contact with community services or staying in residential or inpatient places), total treatment costs, and general health care savings. Five scenarios illustrate functionality: (a) no change, (b) achieve access rates at the 70th percentile nationally, (c) increase access by 25%, (d) increase access to Scotland rate, and (e) reduce access by 25%.</p><p><strong>Results: </strong>At baseline, 14,581 people are PINASTFAD (2.43% of adults) and the Specialist Treatment Access Rate is 10.84%. The 5-year impact of scenarios on PINASTFAD numbers (vs. no change) are (B) reduced by 191 (-1.3%), (C) reduced by 477 (-3.3%), (D) reduced by almost 2,800 (-19.2%), and (E) increased by 533 (+3.6%). The relative impact is similar for other outputs.</p><p><strong>Conclusions: </strong>Decision makers can estimate the potential impact of changing Specialist Treatment Access Rates for alcohol dependence.</p>","PeriodicalId":17103,"journal":{"name":"Journal of Studies on Alcohol and Drugs. Supplement","volume":"86 1","pages":"96-109"},"PeriodicalIF":0.0000,"publicationDate":"2019-01-01","publicationTypes":"Journal Article","fieldsOfStudy":null,"isOpenAccess":false,"openAccessPdf":"https://www.ncbi.nlm.nih.gov/pmc/articles/PMC6377021/pdf/","citationCount":"0","resultStr":null,"platform":"Semanticscholar","paperid":null,"PeriodicalName":"Journal of Studies on Alcohol and Drugs. Supplement","FirstCategoryId":"1085","ListUrlMain":"https://doi.org/10.15288/jsads.2019.s18.96","RegionNum":0,"RegionCategory":null,"ArticlePicture":[],"TitleCN":null,"AbstractTextCN":null,"PMCID":null,"EPubDate":"","PubModel":"","JCR":"Q1","JCRName":"Medicine","Score":null,"Total":0}
引用次数: 0

Abstract

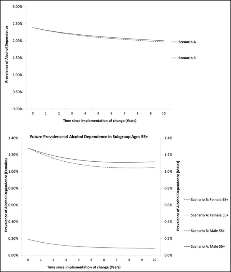
Objective: We modeled the impact of changing Specialist Treatment Access Rates to different treatment pathways on the future prevalence of alcohol dependence, treatment outcomes, service capacity, costs, and mortality.

Method: Local Authority numbers and the prevalence of people "potentially in need of assessment for and treatment in specialist services for alcohol dependence" (PINASTFAD) are estimated by mild, moderate, severe, and complex needs. Administrative data were used to estimate the Specialist Treatment Access Rate per PINASTFAD person and classify 22 different treatment pathways. Other model inputs include natural remission, relapse after treatment, service costs, and mortality rates. "What-if" analyses assess changes to Specialist Treatment Access Rates and treatment pathways. Model outputs include the numbers and prevalence of people who are PINASTFAD, numbers treated by 22 pathways, outcomes (successful completion with abstinence, successfully moderated nonproblematic drinking, re-treatment within 6 months, dropout, transfer, custody), mortality rates, capacity requirements (numbers in contact with community services or staying in residential or inpatient places), total treatment costs, and general health care savings. Five scenarios illustrate functionality: (a) no change, (b) achieve access rates at the 70th percentile nationally, (c) increase access by 25%, (d) increase access to Scotland rate, and (e) reduce access by 25%.

Results: At baseline, 14,581 people are PINASTFAD (2.43% of adults) and the Specialist Treatment Access Rate is 10.84%. The 5-year impact of scenarios on PINASTFAD numbers (vs. no change) are (B) reduced by 191 (-1.3%), (C) reduced by 477 (-3.3%), (D) reduced by almost 2,800 (-19.2%), and (E) increased by 533 (+3.6%). The relative impact is similar for other outputs.

Conclusions: Decision makers can estimate the potential impact of changing Specialist Treatment Access Rates for alcohol dependence.

Abstract Image

Abstract Image

Abstract Image

英国地方当局对酒精依赖专家治疗的访问率变化的潜在影响建模:酒精专家治疗模型(流)。
目的:我们建立了不同治疗途径专科治疗获取率的变化对未来酒精依赖患病率、治疗结果、服务能力、成本和死亡率的影响模型。方法:根据轻度、中度、重度和复杂的需求,估计地方当局的人数和“可能需要在酒精依赖专家服务中进行评估和治疗”(PINASTFAD)的流行程度。行政数据用于估计每个PINASTFAD患者的专科治疗使用率,并对22种不同的治疗途径进行分类。其他模型输入包括自然缓解、治疗后复发、服务成本和死亡率。“假设”分析评估专科治疗使用率和治疗途径的变化。模型输出包括PINASTFAD患者的人数和流行程度、通过22种途径治疗的人数、结果(成功戒酒、成功缓和无问题饮酒、6个月内重新治疗、退学、转学、拘留)、死亡率、能力要求(与社区服务机构接触或留在住宅或住院场所的人数)、总治疗费用和一般医疗保健节省。五个场景说明了功能:(a)没有变化,(b)实现全国70%的访问率,(c)增加25%的访问率,(d)增加苏格兰的访问率,(e)减少25%的访问率。结果:基线时,14,581人接受了PINASTFAD治疗(占成年人的2.43%),专科治疗接通率为10.84%。情景对PINASTFAD数量的5年影响(与无变化相比)为(B)减少191例(-1.3%),(C)减少477例(-3.3%),(D)减少近2800例(-19.2%),(E)增加533例(+3.6%)。其他产出的相对影响也类似。结论:决策者可以估计酒精依赖专科治疗获取率变化的潜在影响。
本文章由计算机程序翻译,如有差异,请以英文原文为准。
求助全文
约1分钟内获得全文 求助全文
来源期刊
CiteScore
5.30
自引率
0.00%
发文量
0
×
引用
GB/T 7714-2015
复制
MLA
复制
APA
复制
导出至
BibTeX EndNote RefMan NoteFirst NoteExpress
×
提示
您的信息不完整,为了账户安全,请先补充。
现在去补充
×
提示
您因"违规操作"
具体请查看互助需知
我知道了
×
提示
确定
请完成安全验证×
copy
已复制链接
快去分享给好友吧!
我知道了
右上角分享
点击右上角分享
0
联系我们:info@booksci.cn Book学术提供免费学术资源搜索服务,方便国内外学者检索中英文文献。致力于提供最便捷和优质的服务体验。 Copyright © 2023 布克学术 All rights reserved.
京ICP备2023020795号-1
ghs 京公网安备 11010802042870号
Book学术文献互助
Book学术文献互助群
群 号:604180095
Book学术官方微信