40-Hz ASSR fusion classification system for observing sleep patterns.

EURASIP journal on bioinformatics & systems biology Pub Date : 2015-02-05 eCollection Date: 2015-12-01 DOI:10.1186/s13637-014-0021-2
Gulzar A Khuwaja, Sahar Javaher Haghighi, Dimitrios Hatzinakos
{"title":"40-Hz ASSR fusion classification system for observing sleep patterns.","authors":"Gulzar A Khuwaja, Sahar Javaher Haghighi, Dimitrios Hatzinakos","doi":"10.1186/s13637-014-0021-2","DOIUrl":null,"url":null,"abstract":"<p><p>This paper presents a fusion-based neural network (NN) classification algorithm for 40-Hz auditory steady state response (ASSR) ensemble averaged signals which were recorded from eight human subjects for observing sleep patterns (wakefulness <i>W</i><sub><i>0</i></sub> and deep sleep <i>N</i><sub><i>3</i></sub> or slow wave sleep <i>SWS</i>). In <i>SWS</i>, sensitivity to pain is the lowest relative to other sleep stages and arousal needs stronger stimuli. 40-Hz ASSR signals were extracted by averaging over 900 sweeps on a 30-s window. Signals generated during <i>N</i><sub><i>3</i></sub> deep sleep state show similarities to those produced when general anesthesia is given to patients during clinical surgery. Our experimental results show that the automatic classification system used identifies sleep states with an accuracy rate of 100% when the training and test signals come from the same subjects while its accuracy is reduced to 97.6%, on average, when signals are used from different training and test subjects. Our results may lead to future classification of consciousness and wakefulness of patients with 40-Hz ASSR for observing the depth and effects of general anesthesia (DGA).</p>","PeriodicalId":101453,"journal":{"name":"EURASIP journal on bioinformatics & systems biology","volume":"2015 ","pages":"2"},"PeriodicalIF":0.0000,"publicationDate":"2015-02-05","publicationTypes":"Journal Article","fieldsOfStudy":null,"isOpenAccess":false,"openAccessPdf":"https://sci-hub-pdf.com/10.1186/s13637-014-0021-2","citationCount":"5","resultStr":null,"platform":"Semanticscholar","paperid":null,"PeriodicalName":"EURASIP journal on bioinformatics & systems biology","FirstCategoryId":"1085","ListUrlMain":"https://doi.org/10.1186/s13637-014-0021-2","RegionNum":0,"RegionCategory":null,"ArticlePicture":[],"TitleCN":null,"AbstractTextCN":null,"PMCID":null,"EPubDate":"2015/12/1 0:00:00","PubModel":"eCollection","JCR":"","JCRName":"","Score":null,"Total":0}
引用次数: 5

Abstract

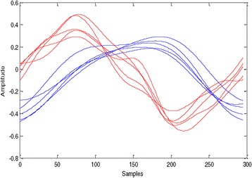
This paper presents a fusion-based neural network (NN) classification algorithm for 40-Hz auditory steady state response (ASSR) ensemble averaged signals which were recorded from eight human subjects for observing sleep patterns (wakefulness W0 and deep sleep N3 or slow wave sleep SWS). In SWS, sensitivity to pain is the lowest relative to other sleep stages and arousal needs stronger stimuli. 40-Hz ASSR signals were extracted by averaging over 900 sweeps on a 30-s window. Signals generated during N3 deep sleep state show similarities to those produced when general anesthesia is given to patients during clinical surgery. Our experimental results show that the automatic classification system used identifies sleep states with an accuracy rate of 100% when the training and test signals come from the same subjects while its accuracy is reduced to 97.6%, on average, when signals are used from different training and test subjects. Our results may lead to future classification of consciousness and wakefulness of patients with 40-Hz ASSR for observing the depth and effects of general anesthesia (DGA).

Abstract Image

Abstract Image

Abstract Image

用于观察睡眠模式的40hz ASSR融合分类系统。
本文提出了一种基于融合的神经网络(NN)分类算法,该算法对8名受试者的40 hz听觉稳态响应(ASSR)集合平均信号进行分类,这些信号来自于观察睡眠模式(清醒W0和深度睡眠N3或慢波睡眠SWS)。在SWS中,对疼痛的敏感性相对于其他睡眠阶段是最低的,唤醒需要更强的刺激。40 hz的ASSR信号通过在30秒的窗口上平均900次扫描来提取。N3深度睡眠时产生的信号与临床手术全麻时产生的信号相似。实验结果表明,当训练和测试信号来自同一受试者时,所使用的自动分类系统识别睡眠状态的准确率为100%,而当训练和测试信号来自不同受试者时,其准确率平均下降到97.6%。我们的研究结果可能为未来40 hz ASSR患者的意识和清醒分类提供依据,以观察全身麻醉(DGA)的深度和效果。
本文章由计算机程序翻译,如有差异,请以英文原文为准。
求助全文
约1分钟内获得全文 求助全文
来源期刊
自引率
0.00%
发文量
0
×
引用
GB/T 7714-2015
复制
MLA
复制
APA
复制
导出至
BibTeX EndNote RefMan NoteFirst NoteExpress
×
提示
您的信息不完整,为了账户安全,请先补充。
现在去补充
×
提示
您因"违规操作"
具体请查看互助需知
我知道了
×
提示
确定
请完成安全验证×
copy
已复制链接
快去分享给好友吧!
我知道了
右上角分享
点击右上角分享
0
联系我们:info@booksci.cn Book学术提供免费学术资源搜索服务,方便国内外学者检索中英文文献。致力于提供最便捷和优质的服务体验。 Copyright © 2023 布克学术 All rights reserved.
京ICP备2023020795号-1
ghs 京公网安备 11010802042870号
Book学术文献互助
Book学术文献互助群
群 号:604180095
Book学术官方微信