CO2 laser therapy for management of stress urinary incontinence in women: a systematic review and meta-analysis.

IF 3.5 4区 医学 Q2 UROLOGY & NEPHROLOGY
Therapeutic Advances in Urology Pub Date : 2023-11-10 eCollection Date: 2023-01-01 DOI:10.1177/17562872231210216
Bandr Hafidh, Saeed Baradwan, Hassan M Latifah, Abdulrahim Gari, Hussein Sabban, Hanin Hassan Abduljabbar, Afaf Tawfiq, Ghaidaa Farouk Hakeem, Alya Alkaff, Nabigah Alzawawi, Radiah Iskandarani, Kausar Khurshid, Kausar Aisha Syed, Ammar Y Alkhiary, Ibtihal Abdulaziz Bukhari, Maha Al Baalharith, Ahmed Abu-Zaid
{"title":"CO<sub>2</sub> laser therapy for management of stress urinary incontinence in women: a systematic review and meta-analysis.","authors":"Bandr Hafidh, Saeed Baradwan, Hassan M Latifah, Abdulrahim Gari, Hussein Sabban, Hanin Hassan Abduljabbar, Afaf Tawfiq, Ghaidaa Farouk Hakeem, Alya Alkaff, Nabigah Alzawawi, Radiah Iskandarani, Kausar Khurshid, Kausar Aisha Syed, Ammar Y Alkhiary, Ibtihal Abdulaziz Bukhari, Maha Al Baalharith, Ahmed Abu-Zaid","doi":"10.1177/17562872231210216","DOIUrl":null,"url":null,"abstract":"<p><strong>Background: </strong>Carbon dioxide (CO<sub>2</sub>) laser therapy is an emerging treatment for women with stress urinary incontinence (SUI).</p><p><strong>Objectives: </strong>To examine the efficacy of CO<sub>2</sub> laser therapy for management of SUI-related symptoms in women.</p><p><strong>Design: </strong>A systematic review and meta-analysis of randomized controlled trials and cohort studies.</p><p><strong>Data sources and methods: </strong>Four databases were screened until January 2023. All efficacy continuous endpoints were assessed <i>via</i> subtraction of the posttreatment from pretreatment values. The data were summarized as mean difference (MD) with 95% confidence interval (CI) using the random-effects model.</p><p><strong>Results: </strong>A total of 15 studies with 700 patients were analyzed. CO<sub>2</sub> laser therapy significantly decreased the 1-h pad weights at 3 months [<i>n</i> = 5 studies, MD = -3.656 g, 95% CI (-5.198, -2.113), <i>p</i> < 0.001], 6 months [<i>n</i> = 6 studies, MD = -6.583 g, 95% CI (-11.158, -2.008), <i>p</i> = 0.005], and 12 months [<i>n</i> = 6 studies, MD = -3.726 g, 95% CI (-6.347, -1.106), <i>p</i> = 0.005]. Moreover, CO<sub>2</sub> laser therapy significantly decreased the International Consultation of Incontinence Questionnaire-Urinary Incontinence Short Form Scores at 3 months [<i>n</i> = 10 studies, MD = -4.805, 95% CI (-5.985, -3.626), <i>p</i> < 0.001] and 12-months [<i>n</i> = 6 studies, MD = -3.726, 95% CI (-6.347, -1.106), <i>p</i> = 0.005]. Additionally, CO<sub>2</sub> laser therapy significantly decreased the Pelvic Floor Impact Questionnaire scores at 6 months [<i>n</i> = 2 studies, MD = -11.268, 95% CI (-18.671, -3.865), <i>p</i> = 0.002] and 12 months [<i>n</i> = 2 studies, MD = -10.624, 95% CI (-18.145, -3.103), <i>p</i> = 0.006]. Besides, CO<sub>2</sub> laser therapy significantly decreased the Urogenital Distress Inventory-6 scores at 3 months [<i>n</i> = 2 studies, MD = -21.997, 95% CI (-32.294, -11.699), <i>p</i> < 0.001], but not at 6 months [<i>n</i> = 3 studies, MD = -3.034, 95% CI (-7.357, 1.259), <i>p</i> = 0.169]. Lastly, CO<sub>2</sub> laser therapy significantly increased the Vaginal Health Index Score at 6 months [<i>n</i> = 2 studies, MD = 2.826, 95% CI (0.013, 5.638), <i>p</i> = 0.047] and 12 months [MD = 1.553, 95% CI (0.173, 2.934), <i>p</i> = 0.027].</p><p><strong>Conclusion: </strong>CO<sub>2</sub> laser therapy improved the SUI-related symptoms in women. To obtain solid conclusions, future studies should be well-designed with standardized settings, consistent therapeutic protocols, and long-term follow-up periods.</p>","PeriodicalId":23010,"journal":{"name":"Therapeutic Advances in Urology","volume":"15 ","pages":"17562872231210216"},"PeriodicalIF":3.5000,"publicationDate":"2023-11-10","publicationTypes":"Journal Article","fieldsOfStudy":null,"isOpenAccess":false,"openAccessPdf":"https://www.ncbi.nlm.nih.gov/pmc/articles/PMC10638870/pdf/","citationCount":"0","resultStr":null,"platform":"Semanticscholar","paperid":null,"PeriodicalName":"Therapeutic Advances in Urology","FirstCategoryId":"3","ListUrlMain":"https://doi.org/10.1177/17562872231210216","RegionNum":4,"RegionCategory":"医学","ArticlePicture":[],"TitleCN":null,"AbstractTextCN":null,"PMCID":null,"EPubDate":"2023/1/1 0:00:00","PubModel":"eCollection","JCR":"Q2","JCRName":"UROLOGY & NEPHROLOGY","Score":null,"Total":0}
引用次数: 0

Abstract

Background: Carbon dioxide (CO2) laser therapy is an emerging treatment for women with stress urinary incontinence (SUI).

Objectives: To examine the efficacy of CO2 laser therapy for management of SUI-related symptoms in women.

Design: A systematic review and meta-analysis of randomized controlled trials and cohort studies.

Data sources and methods: Four databases were screened until January 2023. All efficacy continuous endpoints were assessed via subtraction of the posttreatment from pretreatment values. The data were summarized as mean difference (MD) with 95% confidence interval (CI) using the random-effects model.

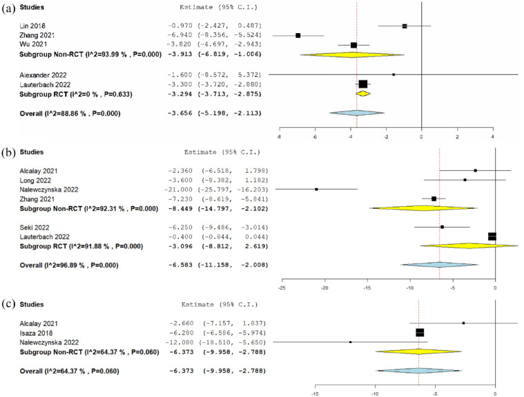
Results: A total of 15 studies with 700 patients were analyzed. CO2 laser therapy significantly decreased the 1-h pad weights at 3 months [n = 5 studies, MD = -3.656 g, 95% CI (-5.198, -2.113), p < 0.001], 6 months [n = 6 studies, MD = -6.583 g, 95% CI (-11.158, -2.008), p = 0.005], and 12 months [n = 6 studies, MD = -3.726 g, 95% CI (-6.347, -1.106), p = 0.005]. Moreover, CO2 laser therapy significantly decreased the International Consultation of Incontinence Questionnaire-Urinary Incontinence Short Form Scores at 3 months [n = 10 studies, MD = -4.805, 95% CI (-5.985, -3.626), p < 0.001] and 12-months [n = 6 studies, MD = -3.726, 95% CI (-6.347, -1.106), p = 0.005]. Additionally, CO2 laser therapy significantly decreased the Pelvic Floor Impact Questionnaire scores at 6 months [n = 2 studies, MD = -11.268, 95% CI (-18.671, -3.865), p = 0.002] and 12 months [n = 2 studies, MD = -10.624, 95% CI (-18.145, -3.103), p = 0.006]. Besides, CO2 laser therapy significantly decreased the Urogenital Distress Inventory-6 scores at 3 months [n = 2 studies, MD = -21.997, 95% CI (-32.294, -11.699), p < 0.001], but not at 6 months [n = 3 studies, MD = -3.034, 95% CI (-7.357, 1.259), p = 0.169]. Lastly, CO2 laser therapy significantly increased the Vaginal Health Index Score at 6 months [n = 2 studies, MD = 2.826, 95% CI (0.013, 5.638), p = 0.047] and 12 months [MD = 1.553, 95% CI (0.173, 2.934), p = 0.027].

Conclusion: CO2 laser therapy improved the SUI-related symptoms in women. To obtain solid conclusions, future studies should be well-designed with standardized settings, consistent therapeutic protocols, and long-term follow-up periods.

Abstract Image

Abstract Image

Abstract Image

CO2激光治疗女性压力性尿失禁:系统回顾和荟萃分析。
背景:二氧化碳激光治疗是一种治疗女性压力性尿失禁(SUI)的新方法。目的:探讨CO2激光治疗女性sui相关症状的疗效。设计:对随机对照试验和队列研究进行系统回顾和荟萃分析。数据来源和方法:筛选4个数据库至2023年1月。所有疗效连续终点均通过前处理值减去后处理值来评估。采用随机效应模型将数据汇总为95%置信区间(CI)的均值差(MD)。结果:共分析了15项研究,700例患者。CO2激光治疗显著降低3个月时1小时的pad重量[n = 5项研究,MD = -3.656 g, 95% CI (-5.198, -2.113), p n = 6项研究,MD = -6.583 g, 95% CI (-11.158, -2.008), p = 0.005]和12个月[n = 6项研究,MD = -3.726 g, 95% CI (-6.347, -1.106), p = 0.005]。此外,CO2激光治疗显著降低3个月时尿失禁国际咨询问卷-尿失禁短表评分[n = 10项研究,MD = -4.805, 95% CI (-5.985, -3.626), p n = 6项研究,MD = -3.726, 95% CI (-6.347, -1.106), p = 0.005]。此外,CO2激光治疗显著降低骨盆底影响问卷评分在6个月[n = 2项研究,MD = -11.268, 95% CI (-18.671, -3.865), p = 0.002]和12个月[n = 2项研究,MD = -10.624, 95% CI (-18.145, -3.103), p = 0.006]。此外,CO2激光治疗显著降低3个月时泌尿生殖窘迫量表-6评分[n = 2项研究,MD = -21.997, 95% CI (-32.294, -11.699), p n = 3项研究,MD = -3.034, 95% CI (-7.357, 1.259), p = 0.169]。最后,CO2激光治疗显著提高阴道健康指数评分在6个月[n = 2项研究,MD = 2.826, 95% CI (0.013, 5.638), p = 0.047]和12个月[MD = 1.553, 95% CI (0.173, 2.934), p = 0.027]。结论:CO2激光治疗可改善女性sui相关症状。为了获得可靠的结论,未来的研究应该精心设计标准化的环境、一致的治疗方案和长期的随访期。
本文章由计算机程序翻译,如有差异,请以英文原文为准。
求助全文
约1分钟内获得全文 求助全文
来源期刊
CiteScore
3.70
自引率
0.00%
发文量
39
审稿时长
10 weeks
期刊介绍: Therapeutic Advances in Urology delivers the highest quality peer-reviewed articles, reviews, and scholarly comment on pioneering efforts and innovative studies across all areas of urology. The journal has a strong clinical and pharmacological focus and is aimed at clinicians and researchers in urology, providing a forum in print and online for publishing the highest quality articles in this area. The editors welcome articles of current interest across all areas of urology, including treatment of urological disorders, with a focus on emerging pharmacological therapies.
×
引用
GB/T 7714-2015
复制
MLA
复制
APA
复制
导出至
BibTeX EndNote RefMan NoteFirst NoteExpress
×
提示
您的信息不完整,为了账户安全,请先补充。
现在去补充
×
提示
您因"违规操作"
具体请查看互助需知
我知道了
×
提示
确定
请完成安全验证×
copy
已复制链接
快去分享给好友吧!
我知道了
右上角分享
点击右上角分享
0
联系我们:info@booksci.cn Book学术提供免费学术资源搜索服务,方便国内外学者检索中英文文献。致力于提供最便捷和优质的服务体验。 Copyright © 2023 布克学术 All rights reserved.
京ICP备2023020795号-1
ghs 京公网安备 11010802042870号
Book学术文献互助
Book学术文献互助群
群 号:604180095
Book学术官方微信