Effects of functional nutrients on chicken intestinal epithelial cells induced with oxidative stress.

IF 2.7 4区 材料科学 Q3 CRYSTALLOGRAPHY
Hyun Woo Kim, Seung Yun Lee, Sun Jin Hur, Dong Yong Kil, Jong Hyuk Kim
{"title":"Effects of functional nutrients on chicken intestinal epithelial cells induced with oxidative stress.","authors":"Hyun Woo Kim, Seung Yun Lee, Sun Jin Hur, Dong Yong Kil, Jong Hyuk Kim","doi":"10.5187/jast.2023.e22","DOIUrl":null,"url":null,"abstract":"<p><p>The objective of this study was to investigate the protective effects of functional nutrients including various functional amino acids, vitamins, and minerals on chicken intestinal epithelial cells (cIECs) treated with oxidative stress. The cIECs were isolated from specific pathogen free eggs. Cells were exposed to 0 mM supplement (control), 20 mM threonine (Thr), 0.4 mM tryptophan (Trp), 1 mM glycine (Gly), 10 μM vitamin C (VC), 40 μM vitamin E (VE), 5 μM vitamin A (VA), 34 μM chromium (Cr), 0.42 μM selenium (Se), and 50 μM zinc (Zn) for 24 h with 6 replicates for each treatment. After 24 h, cells were further incubated with fresh culture medium (positive control, PC) or 1 mM H<sub>2</sub>O<sub>2</sub> with different supplements (negative control, NC and each treatment). Oxidative stress was measured by cell proliferation, whereas tight junction barrier function was analyzed by fluorescein isothiocyanate (FITC)-dextran permeability and transepithelial electrical resistance (TEER). Results indicated that cell viability and TEER values were less (<i>p</i> < 0.05) in NC treatments with oxidative stress than in PC treatments. In addition, FITC-dextran values were greater (<i>p</i> < 0.05) in NC treatments with oxidative stress than in PC treatments. The supplementations of Thr, Trp, Gly, VC, and VE in cells treated with H<sub>2</sub>O<sub>2</sub> showed greater (<i>p</i> < 0.05) cell viability than the supplementation of VA, Cr, Se, and Zn. The supplementations of Trp, Gly, VC, and Se in cells treated with H<sub>2</sub>O<sub>2</sub> showed the least (<i>p</i> < 0.05) cellular permeability. In addition, the supplementation of Thr, VE, VA, Cr, and Zn in cells treated with H<sub>2</sub>O<sub>2</sub> decreased (<i>p</i> < 0.05) cellular permeability. At 48 h, the supplementations of Thr, Trp, and Gly in cells treated with H<sub>2</sub>O<sub>2</sub> showed the greatest (<i>p</i> < 0.05) TEER values among all treatments, and the supplementations of VC and VE in cells treated with H<sub>2</sub>O<sub>2</sub> showed greater (<i>p</i> < 0.05) TEER values than the supplementations of VA, Cr, Se, and Zn in cells treated with H<sub>2</sub>O<sub>2</sub>. In conclusion, Thr, Trp, Gly, and VC supplements were effective in improving cell viability and intestinal barrier function of cIECs exposed to oxidative stress.</p>","PeriodicalId":48676,"journal":{"name":"Zeitschrift Fur Kristallographie-Crystalline Materials","volume":"62 1","pages":"1040-1052"},"PeriodicalIF":2.7000,"publicationDate":"2023-09-01","publicationTypes":"Journal Article","fieldsOfStudy":null,"isOpenAccess":false,"openAccessPdf":"https://www.ncbi.nlm.nih.gov/pmc/articles/PMC10640939/pdf/","citationCount":"0","resultStr":null,"platform":"Semanticscholar","paperid":null,"PeriodicalName":"Zeitschrift Fur Kristallographie-Crystalline Materials","FirstCategoryId":"97","ListUrlMain":"https://doi.org/10.5187/jast.2023.e22","RegionNum":4,"RegionCategory":"材料科学","ArticlePicture":[],"TitleCN":null,"AbstractTextCN":null,"PMCID":null,"EPubDate":"2023/9/30 0:00:00","PubModel":"Epub","JCR":"Q3","JCRName":"CRYSTALLOGRAPHY","Score":null,"Total":0}
引用次数: 0

Abstract

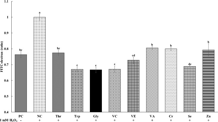
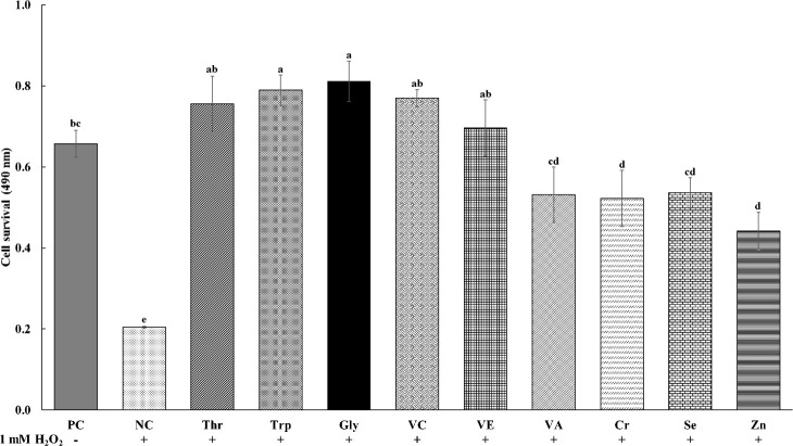
The objective of this study was to investigate the protective effects of functional nutrients including various functional amino acids, vitamins, and minerals on chicken intestinal epithelial cells (cIECs) treated with oxidative stress. The cIECs were isolated from specific pathogen free eggs. Cells were exposed to 0 mM supplement (control), 20 mM threonine (Thr), 0.4 mM tryptophan (Trp), 1 mM glycine (Gly), 10 μM vitamin C (VC), 40 μM vitamin E (VE), 5 μM vitamin A (VA), 34 μM chromium (Cr), 0.42 μM selenium (Se), and 50 μM zinc (Zn) for 24 h with 6 replicates for each treatment. After 24 h, cells were further incubated with fresh culture medium (positive control, PC) or 1 mM H2O2 with different supplements (negative control, NC and each treatment). Oxidative stress was measured by cell proliferation, whereas tight junction barrier function was analyzed by fluorescein isothiocyanate (FITC)-dextran permeability and transepithelial electrical resistance (TEER). Results indicated that cell viability and TEER values were less (p < 0.05) in NC treatments with oxidative stress than in PC treatments. In addition, FITC-dextran values were greater (p < 0.05) in NC treatments with oxidative stress than in PC treatments. The supplementations of Thr, Trp, Gly, VC, and VE in cells treated with H2O2 showed greater (p < 0.05) cell viability than the supplementation of VA, Cr, Se, and Zn. The supplementations of Trp, Gly, VC, and Se in cells treated with H2O2 showed the least (p < 0.05) cellular permeability. In addition, the supplementation of Thr, VE, VA, Cr, and Zn in cells treated with H2O2 decreased (p < 0.05) cellular permeability. At 48 h, the supplementations of Thr, Trp, and Gly in cells treated with H2O2 showed the greatest (p < 0.05) TEER values among all treatments, and the supplementations of VC and VE in cells treated with H2O2 showed greater (p < 0.05) TEER values than the supplementations of VA, Cr, Se, and Zn in cells treated with H2O2. In conclusion, Thr, Trp, Gly, and VC supplements were effective in improving cell viability and intestinal barrier function of cIECs exposed to oxidative stress.

Abstract Image

Abstract Image

Abstract Image

功能性营养素对氧化应激诱导的鸡肠上皮细胞的影响。
本研究旨在探讨各种功能性氨基酸、维生素和矿物质对氧化应激鸡肠上皮细胞(cIECs)的保护作用。ciec是从特定的无病原体卵中分离得到的。细胞分别暴露于0 mM(对照)、20 mM苏氨酸(Thr)、0.4 mM色氨酸(Trp)、1 mM甘氨酸(Gly)、10 μM维生素C (VC)、40 μM维生素E (VE)、5 μM维生素A (VA)、34 μM铬(Cr)、0.42 μM硒(Se)和50 μM锌(Zn)中24 h,每个处理6个重复。24 h后,细胞进一步用新鲜培养基(阳性对照,PC)或添加不同添加物(阴性对照,NC和各处理)的1 mM H2O2孵育。通过细胞增殖检测氧化应激,通过异硫氰酸荧光素(FITC)-葡聚糖渗透性和上皮电阻值(TEER)分析紧密连接屏障功能。结果表明,氧化应激下NC处理的细胞活力和TEER值低于PC处理(p < 0.05)。氧化应激下NC处理的fitc -葡聚糖值显著高于PC处理(p < 0.05)。在H2O2处理的细胞中,添加Thr、Trp、Gly、VC和VE的细胞存活率高于添加VA、Cr、Se和Zn的细胞存活率(p < 0.05)。在H2O2处理的细胞中,添加Trp、Gly、VC和Se的细胞通透性最低(p < 0.05)。H2O2处理细胞中添加Thr、VE、VA、Cr和Zn可降低细胞通透性(p < 0.05)。48 h时,H2O2处理细胞中Thr、Trp和Gly的TEER值最大(p < 0.05), H2O2处理细胞中VC和VE的TEER值高于H2O2处理细胞中VA、Cr、Se和Zn的TEER值(p < 0.05)。综上所述,添加Thr、Trp、Gly和VC可有效改善氧化应激下ciec的细胞活力和肠道屏障功能。
本文章由计算机程序翻译,如有差异,请以英文原文为准。
求助全文
约1分钟内获得全文 求助全文
来源期刊
CiteScore
2.00
自引率
16.70%
发文量
55
期刊介绍: Zeitschrift für Kristallographie – Crystalline Materials was founded in 1877 by Paul von Groth and is today one of the world’s oldest scientific journals. It offers a place for researchers to present results of their theoretical experimental crystallographic studies. The journal presents significant results on structures and on properties of organic/inorganic substances with crystalline character, periodically ordered, modulated or quasicrystalline on static and dynamic phenomena applying the various methods of diffraction, spectroscopy and microscopy.
×
引用
GB/T 7714-2015
复制
MLA
复制
APA
复制
导出至
BibTeX EndNote RefMan NoteFirst NoteExpress
×
提示
您的信息不完整,为了账户安全,请先补充。
现在去补充
×
提示
您因"违规操作"
具体请查看互助需知
我知道了
×
提示
确定
请完成安全验证×
copy
已复制链接
快去分享给好友吧!
我知道了
右上角分享
点击右上角分享
0
联系我们:info@booksci.cn Book学术提供免费学术资源搜索服务,方便国内外学者检索中英文文献。致力于提供最便捷和优质的服务体验。 Copyright © 2023 布克学术 All rights reserved.
京ICP备2023020795号-1
ghs 京公网安备 11010802042870号
Book学术文献互助
Book学术文献互助群
群 号:604180095
Book学术官方微信