Can Wideband Tympanometry Predict the Prognosis of Otitis Media With Effusion?

IF 2.7 4区 材料科学 Q3 CRYSTALLOGRAPHY
Mehmet Ilhan Şahin, Duygu Demirkan Özyürek, Alperen Vural, Gökmen Zararsız, Ibrahim Ketenci, Yaşar Ünlü
{"title":"Can Wideband Tympanometry Predict the Prognosis of Otitis Media With Effusion?","authors":"Mehmet Ilhan Şahin, Duygu Demirkan Özyürek, Alperen Vural, Gökmen Zararsız, Ibrahim Ketenci, Yaşar Ünlü","doi":"10.7874/jao.2021.00633","DOIUrl":null,"url":null,"abstract":"<p><strong>Background and objectives: </strong>This study aims to evaluate the capacity of wideband tympanometry (WBT) in predicting the prognosis of otitis media with effusion (OME).</p><p><strong>Subjects and methods: </strong>Sixty-one ears with effusion and 30 healthy ears of children were enrolled. The patients were followed up monthly using WBT. After the completion of measurements, the ears were separated into four groups according to the duration of recovery; Group 1: Good prognosis (≤1-month, n=18), Group 2: Worse prognosis (>1-month, n=29), Group 3: Surgical (no recovery, n=14), and Group 4: Control (healthy ears, n=30). Tympanometric peak pressure (TPP), resonance frequency (RF), and absorbance levels were compared within and between the groups.</p><p><strong>Results: </strong>The TPP and RF values of the study group were lower than those of the controls (p<0.001). The ears with OME had lower absorbance measures than the controls at all frequencies; the differences were significant at 250, 500, and 1,000 Hz (p<0.001). However, at 2,000 Hz, the absorbance levels of the ears with OME were similar with those of the control group only in the good prognosis group (p>0.05). The receiver-operating characteristic analysis revealed that absorbance measures over 0.237 and 0.311 at 1,000 Hz and 2,000 Hz, respectively, have sensitivities and specificities over 70% for prediction of good prognosis, and the calculated odd ratio for these measures were 6 (p<0.05).</p><p><strong>Conclusions: </strong>WBT measurement is promising in predicting the recovery of OME in children.</p>","PeriodicalId":48676,"journal":{"name":"Zeitschrift Fur Kristallographie-Crystalline Materials","volume":"63 1","pages":"95-102"},"PeriodicalIF":2.7000,"publicationDate":"2025-04-01","publicationTypes":"Journal Article","fieldsOfStudy":null,"isOpenAccess":false,"openAccessPdf":"https://www.ncbi.nlm.nih.gov/pmc/articles/PMC12046198/pdf/","citationCount":"0","resultStr":null,"platform":"Semanticscholar","paperid":null,"PeriodicalName":"Zeitschrift Fur Kristallographie-Crystalline Materials","FirstCategoryId":"88","ListUrlMain":"https://doi.org/10.7874/jao.2021.00633","RegionNum":4,"RegionCategory":"材料科学","ArticlePicture":[],"TitleCN":null,"AbstractTextCN":null,"PMCID":null,"EPubDate":"2022/5/12 0:00:00","PubModel":"Epub","JCR":"Q3","JCRName":"CRYSTALLOGRAPHY","Score":null,"Total":0}
引用次数: 0

Abstract

Background and objectives: This study aims to evaluate the capacity of wideband tympanometry (WBT) in predicting the prognosis of otitis media with effusion (OME).

Subjects and methods: Sixty-one ears with effusion and 30 healthy ears of children were enrolled. The patients were followed up monthly using WBT. After the completion of measurements, the ears were separated into four groups according to the duration of recovery; Group 1: Good prognosis (≤1-month, n=18), Group 2: Worse prognosis (>1-month, n=29), Group 3: Surgical (no recovery, n=14), and Group 4: Control (healthy ears, n=30). Tympanometric peak pressure (TPP), resonance frequency (RF), and absorbance levels were compared within and between the groups.

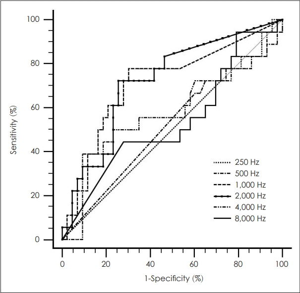
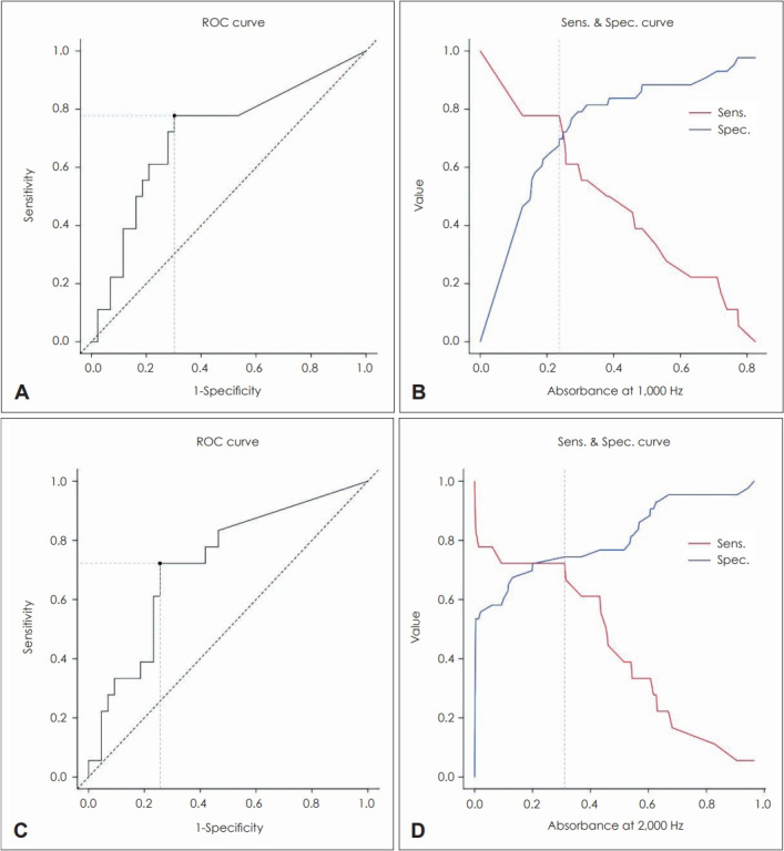
Results: The TPP and RF values of the study group were lower than those of the controls (p<0.001). The ears with OME had lower absorbance measures than the controls at all frequencies; the differences were significant at 250, 500, and 1,000 Hz (p<0.001). However, at 2,000 Hz, the absorbance levels of the ears with OME were similar with those of the control group only in the good prognosis group (p>0.05). The receiver-operating characteristic analysis revealed that absorbance measures over 0.237 and 0.311 at 1,000 Hz and 2,000 Hz, respectively, have sensitivities and specificities over 70% for prediction of good prognosis, and the calculated odd ratio for these measures were 6 (p<0.05).

Conclusions: WBT measurement is promising in predicting the recovery of OME in children.

Abstract Image

Abstract Image

Abstract Image

宽带鼓室测量法能否预测中耳炎伴渗出的预后?
背景与目的本研究旨在评估宽频鼓室测量法(WBT)在预测中耳炎伴流脓(OME)预后方面的能力:研究对象和方法:共招募了61名流脓耳患者和30名健康耳患者。使用 WBT 每月对患者进行随访。测量结束后,根据痊愈时间的长短将耳朵分为四组:第一组:预后良好(≤1 个月,18 人),第二组:预后较差(>1 个月,29 人),第三组:手术治疗(未痊愈,14 人),第四组:对照组(健康耳朵,30 人)。比较组内和组间的鼓室峰压(TPP)、共振频率(RF)和吸光度水平:研究组的 TPP 和 RF 值低于对照组(P0.05)。接收器操作特征分析显示,在 1,000 Hz 和 2,000 Hz 下,吸光度分别超过 0.237 和 0.311,对预测良好预后的灵敏度和特异度均超过 70%,这些测量值的计算奇数比为 6(pConclusions):WBT测量在预测儿童OME的恢复方面很有前景。
本文章由计算机程序翻译,如有差异,请以英文原文为准。
求助全文
约1分钟内获得全文 求助全文
来源期刊
CiteScore
2.00
自引率
16.70%
发文量
55
期刊介绍: Zeitschrift für Kristallographie – Crystalline Materials was founded in 1877 by Paul von Groth and is today one of the world’s oldest scientific journals. It offers a place for researchers to present results of their theoretical experimental crystallographic studies. The journal presents significant results on structures and on properties of organic/inorganic substances with crystalline character, periodically ordered, modulated or quasicrystalline on static and dynamic phenomena applying the various methods of diffraction, spectroscopy and microscopy.
×
引用
GB/T 7714-2015
复制
MLA
复制
APA
复制
导出至
BibTeX EndNote RefMan NoteFirst NoteExpress
×
提示
您的信息不完整,为了账户安全,请先补充。
现在去补充
×
提示
您因"违规操作"
具体请查看互助需知
我知道了
×
提示
确定
请完成安全验证×
copy
已复制链接
快去分享给好友吧!
我知道了
右上角分享
点击右上角分享
0
联系我们:info@booksci.cn Book学术提供免费学术资源搜索服务,方便国内外学者检索中英文文献。致力于提供最便捷和优质的服务体验。 Copyright © 2023 布克学术 All rights reserved.
京ICP备2023020795号-1
ghs 京公网安备 11010802042870号
Book学术文献互助
Book学术文献互助群
群 号:604180095
Book学术官方微信