Improving salt tolerance of bean (Phaseolus vulgaris L.) with hydrogen sulfide.

IF 1.6 4区 生物学 Q2 PLANT SCIENCES
Photosynthetica Pub Date : 2023-02-10 eCollection Date: 2023-01-01 DOI:10.32615/ps.2023.005
M Ekinci, M Turan, S Ors, A Dursun, E Yildirim
{"title":"Improving salt tolerance of bean (<i>Phaseolus vulgaris</i> L.) with hydrogen sulfide.","authors":"M Ekinci, M Turan, S Ors, A Dursun, E Yildirim","doi":"10.32615/ps.2023.005","DOIUrl":null,"url":null,"abstract":"<p><p>The current study examined the H<sub>2</sub>S applications on growth, biochemical and physiological parameters of bean seedlings under saline conditions. The findings of the study indicated that salt stress decreased plant growth and development, photosynthetic activity, and mineral and hormone content [excluding abscisic acid (ABA)] in bean seedlings. Plant and root fresh mass and dry mass with H<sub>2</sub>S applications increased as compared to the control treatment at the same salinity level. Both salinity and H<sub>2</sub>S treatments significantly affected the net assimilation rate, stomatal conductance, transpiration rate, and intercellular CO<sub>2</sub> content of bean seedlings. Significant increases occurred in H<sub>2</sub>O<sub>2</sub>, malondialdehyde (MDA), proline, sucrose content, enzyme activity, and ABA content with salt stress. However, H<sub>2</sub>S applications inhibited the effects of salinity on plant growth, photosynthetic activity, and mineral content in beans. H<sub>2</sub>S applications reduced H<sub>2</sub>O<sub>2</sub>, MDA, proline, sucrose content, enzyme activity, and ABA content in beans. As a result, exogenous H<sub>2</sub>S applications could mitigate the negative impacts of salinity in beans.</p>","PeriodicalId":20157,"journal":{"name":"Photosynthetica","volume":"37 1","pages":"25-36"},"PeriodicalIF":1.6000,"publicationDate":"2023-02-10","publicationTypes":"Journal Article","fieldsOfStudy":null,"isOpenAccess":false,"openAccessPdf":"https://www.ncbi.nlm.nih.gov/pmc/articles/PMC11515852/pdf/","citationCount":"0","resultStr":null,"platform":"Semanticscholar","paperid":null,"PeriodicalName":"Photosynthetica","FirstCategoryId":"99","ListUrlMain":"https://doi.org/10.32615/ps.2023.005","RegionNum":4,"RegionCategory":"生物学","ArticlePicture":[],"TitleCN":null,"AbstractTextCN":null,"PMCID":null,"EPubDate":"2023/1/1 0:00:00","PubModel":"eCollection","JCR":"Q2","JCRName":"PLANT SCIENCES","Score":null,"Total":0}
引用次数: 0

Abstract

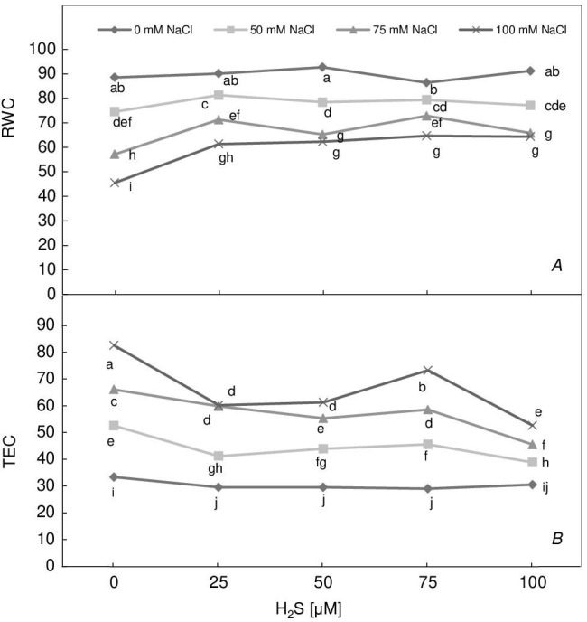
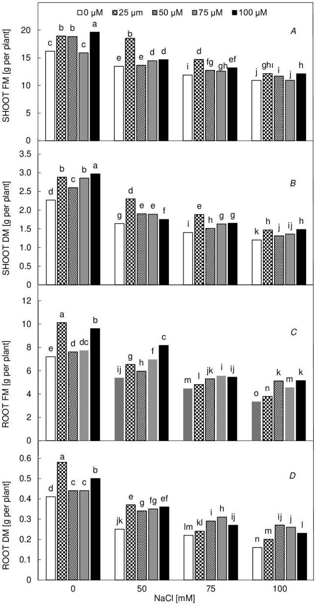
The current study examined the H2S applications on growth, biochemical and physiological parameters of bean seedlings under saline conditions. The findings of the study indicated that salt stress decreased plant growth and development, photosynthetic activity, and mineral and hormone content [excluding abscisic acid (ABA)] in bean seedlings. Plant and root fresh mass and dry mass with H2S applications increased as compared to the control treatment at the same salinity level. Both salinity and H2S treatments significantly affected the net assimilation rate, stomatal conductance, transpiration rate, and intercellular CO2 content of bean seedlings. Significant increases occurred in H2O2, malondialdehyde (MDA), proline, sucrose content, enzyme activity, and ABA content with salt stress. However, H2S applications inhibited the effects of salinity on plant growth, photosynthetic activity, and mineral content in beans. H2S applications reduced H2O2, MDA, proline, sucrose content, enzyme activity, and ABA content in beans. As a result, exogenous H2S applications could mitigate the negative impacts of salinity in beans.

Abstract Image

Abstract Image

Abstract Image

硫化氢提高菜豆耐盐性。
本研究考察了H2S在盐渍条件下对大豆幼苗生长及生化生理参数的影响。研究结果表明,盐胁迫降低了大豆幼苗的生长发育、光合活性以及矿物质和激素含量(不含脱落酸)。在相同的盐度水平下,施用H2S的植株和根系的新鲜质量和干质量都比对照处理增加。盐度和H2S处理均显著影响大豆幼苗的净同化速率、气孔导度、蒸腾速率和细胞间CO2含量。在盐胁迫下,H2O2、丙二醛(MDA)、脯氨酸、蔗糖含量、酶活性和ABA含量显著升高。然而,施用H2S抑制了盐度对植物生长、光合活性和豆类矿物质含量的影响。H2S处理降低了大豆中H2O2、丙二醛、脯氨酸、蔗糖含量、酶活性和ABA含量。因此,外源H2S的施用可以减轻盐度对大豆的负面影响。
本文章由计算机程序翻译,如有差异,请以英文原文为准。
求助全文
约1分钟内获得全文 求助全文
来源期刊
Photosynthetica
Photosynthetica 生物-植物科学
CiteScore
5.60
自引率
7.40%
发文量
55
审稿时长
3.8 months
期刊介绍: Photosynthetica publishes original scientific papers and brief communications, reviews on specialized topics, book reviews and announcements and reports covering wide range of photosynthesis research or research including photosynthetic parameters of both experimental and theoretical nature and dealing with physiology, biophysics, biochemistry, molecular biology on one side and leaf optics, stress physiology and ecology of photosynthesis on the other side. The language of journal is English (British or American). Papers should not be published or under consideration for publication elsewhere.
×
引用
GB/T 7714-2015
复制
MLA
复制
APA
复制
导出至
BibTeX EndNote RefMan NoteFirst NoteExpress
×
提示
您的信息不完整,为了账户安全,请先补充。
现在去补充
×
提示
您因"违规操作"
具体请查看互助需知
我知道了
×
提示
确定
请完成安全验证×
copy
已复制链接
快去分享给好友吧!
我知道了
右上角分享
点击右上角分享
0
联系我们:info@booksci.cn Book学术提供免费学术资源搜索服务,方便国内外学者检索中英文文献。致力于提供最便捷和优质的服务体验。 Copyright © 2023 布克学术 All rights reserved.
京ICP备2023020795号-1
ghs 京公网安备 11010802042870号
Book学术文献互助
Book学术文献互助群
群 号:604180095
Book学术官方微信