Stress Induction and Release: Electroencephalography Study on Brain Networks and Cortisol.

Zahra Rezvani, Reza Khosrowabadi, Afrooz Seyedebrahimi, Golam-Hossein Meftahi, Boshra Hatef
{"title":"Stress Induction and Release: Electroencephalography Study on Brain Networks and Cortisol.","authors":"Zahra Rezvani, Reza Khosrowabadi, Afrooz Seyedebrahimi, Golam-Hossein Meftahi, Boshra Hatef","doi":"10.32598/bcn.2021.2525.1","DOIUrl":null,"url":null,"abstract":"<p><strong>Introduction: </strong>Acute stress over a long time period can drastically influence the behavioral and cognitive performances. Therefore, it is important to control and eliminate the stressor after a stressful event. In this regard, understanding of brain mechanism of stress release will help to introduce new practical approaches. In this study, we aimed to investigate the changes in the brain's functional connectivity (FC) patterns and salivary cortisol level during stress induction and release in healthy young male adults.</p><p><strong>Method: </strong>In this study, 20 healthy young male adults were exposed to stressful events using the Trier social stress paradigm in one session consisting of 23 minutes of psychological stress induction and 20 minutes of recovery, Their stress was measured by the visual analog scale (VAS). In addition, their salivary cortisol levels and electroencephalography (EEG) data were recorded. Subsequently, brain FC maps were prepared in a frequency-specific manner. Then, the effects of inducing and releasing stress on the VAS, cortisol level, and FC were assessed.</p><p><strong>Results: </strong>The inter-hemispheric FC of the right frontal lobes with other brain regions decreased, while the FC was increased in the left frontal lobes during the induction of stress. Interestingly, the release of stress presented a recovery pattern of inter-hemispheric FC. These changes in FC significantly correlated with changes in the cortisol level.</p><p><strong>Conclusion: </strong>Our findings highlight the important role of bihemispheric associations in adaptation and coping with stressful conditions.</p>","PeriodicalId":8728,"journal":{"name":"Basic and Clinical Neuroscience Journal","volume":"4 1","pages":"607-616"},"PeriodicalIF":0.0000,"publicationDate":"2024-09-01","publicationTypes":"Journal Article","fieldsOfStudy":null,"isOpenAccess":false,"openAccessPdf":"https://www.ncbi.nlm.nih.gov/pmc/articles/PMC12198744/pdf/","citationCount":"0","resultStr":null,"platform":"Semanticscholar","paperid":null,"PeriodicalName":"Basic and Clinical Neuroscience Journal","FirstCategoryId":"1085","ListUrlMain":"https://doi.org/10.32598/bcn.2021.2525.1","RegionNum":0,"RegionCategory":null,"ArticlePicture":[],"TitleCN":null,"AbstractTextCN":null,"PMCID":null,"EPubDate":"","PubModel":"","JCR":"","JCRName":"","Score":null,"Total":0}
引用次数: 0

Abstract

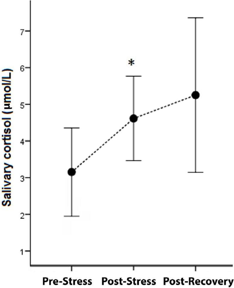
Introduction: Acute stress over a long time period can drastically influence the behavioral and cognitive performances. Therefore, it is important to control and eliminate the stressor after a stressful event. In this regard, understanding of brain mechanism of stress release will help to introduce new practical approaches. In this study, we aimed to investigate the changes in the brain's functional connectivity (FC) patterns and salivary cortisol level during stress induction and release in healthy young male adults.

Method: In this study, 20 healthy young male adults were exposed to stressful events using the Trier social stress paradigm in one session consisting of 23 minutes of psychological stress induction and 20 minutes of recovery, Their stress was measured by the visual analog scale (VAS). In addition, their salivary cortisol levels and electroencephalography (EEG) data were recorded. Subsequently, brain FC maps were prepared in a frequency-specific manner. Then, the effects of inducing and releasing stress on the VAS, cortisol level, and FC were assessed.

Results: The inter-hemispheric FC of the right frontal lobes with other brain regions decreased, while the FC was increased in the left frontal lobes during the induction of stress. Interestingly, the release of stress presented a recovery pattern of inter-hemispheric FC. These changes in FC significantly correlated with changes in the cortisol level.

Conclusion: Our findings highlight the important role of bihemispheric associations in adaptation and coping with stressful conditions.

Abstract Image

Abstract Image

Abstract Image

应激诱导与释放:脑网络与皮质醇的脑电图研究。
长期的急性应激会严重影响行为和认知表现。因此,在压力事件发生后,控制和消除压力源是很重要的。在这方面,了解压力释放的大脑机制将有助于引入新的实用方法。在这项研究中,我们旨在研究健康年轻男性在应激诱导和释放过程中大脑功能连接(FC)模式和唾液皮质醇水平的变化。方法:采用Trier社会应激范式,对20名健康青年男性进行23分钟的心理应激诱导和20分钟的应激恢复,采用视觉模拟量表(VAS)对应激事件进行测量。此外,记录他们的唾液皮质醇水平和脑电图(EEG)数据。随后,以特定频率的方式制备脑FC图。然后,评估应激诱导和释放对VAS、皮质醇水平和FC的影响。结果:应激诱导下,右额叶与其他脑区半球间FC减少,而左额叶半球间FC增加。有趣的是,应力释放呈现出半球间FC的恢复模式。这些FC的变化与皮质醇水平的变化显著相关。结论:我们的研究结果强调了双脑关联在适应和应对应激条件中的重要作用。
本文章由计算机程序翻译,如有差异,请以英文原文为准。
求助全文
约1分钟内获得全文 求助全文
来源期刊
自引率
0.00%
发文量
0
×
引用
GB/T 7714-2015
复制
MLA
复制
APA
复制
导出至
BibTeX EndNote RefMan NoteFirst NoteExpress
×
提示
您的信息不完整,为了账户安全,请先补充。
现在去补充
×
提示
您因"违规操作"
具体请查看互助需知
我知道了
×
提示
确定
请完成安全验证×
copy
已复制链接
快去分享给好友吧!
我知道了
右上角分享
点击右上角分享
0
联系我们:info@booksci.cn Book学术提供免费学术资源搜索服务,方便国内外学者检索中英文文献。致力于提供最便捷和优质的服务体验。 Copyright © 2023 布克学术 All rights reserved.
京ICP备2023020795号-1
ghs 京公网安备 11010802042870号
Book学术文献互助
Book学术文献互助群
群 号:604180095
Book学术官方微信