Is a higher frequency of esophageal dilations more effective in treating benign esophageal strictures? Retrospective, multicenter study.

IF 2.3 3区 物理与天体物理 Q2 PHYSICS, MULTIDISCIPLINARY
European Physical Journal-special Topics Pub Date : 2024-01-10 eCollection Date: 2024-01-01 DOI:10.1055/a-2117-8197
Christiana Graf, Monika Reden, Tobias Blasberg, Mate Knabe, Andrea May, Christian Ell, Edris Wedi, Nils Wetzstein, Florian Michael, Stefan Zeuzem, Jörg Bojunga, Mireen Friedrich-Rust
{"title":"Is a higher frequency of esophageal dilations more effective in treating benign esophageal strictures? Retrospective, multicenter study.","authors":"Christiana Graf, Monika Reden, Tobias Blasberg, Mate Knabe, Andrea May, Christian Ell, Edris Wedi, Nils Wetzstein, Florian Michael, Stefan Zeuzem, Jörg Bojunga, Mireen Friedrich-Rust","doi":"10.1055/a-2117-8197","DOIUrl":null,"url":null,"abstract":"<p><p><b>Background and study aims</b> There is still a lack of evidence-based recommendations concerning endoscopic bougienage in benign esophageal strictures. Our study aimed to assess the relevance of the time interval between endoscopic dilation (ED) sessions with regard to endoscopic and clinical response. <b>Patients and methods</b> We performed a retrospective study including patients treated with endoscopic bougienage for a benign esophageal stricture in two German centers. Primary endpoint was the number of ED until freedom from dysphagia was achieved. Secondary endpoints were analyses on reaching a diameter of 15 mm and on achieving clinical freedom from symptoms. <b>Results</b> Between April 2014 and March 2020, bougienage was used as the primary treatment for benign esophageal strictures in 238 patients (194 patients in Center 1; 44 patients in Center 2). Both centers differed in their endoscopic bougienage regime: Center 1 was characterized by a higher frequency of interventions compared to Center 2 (median: 2 days [range 1-28] vs. 10 days [range 1-41]; <i>P</i> <0.001). Clinical response was achieved significantly earlier using the high-frequency regimen in all patients except for those with post-radiogen strictures, who clinically benefited from a low-frequency ED program. Accordingly, patients receiving higher-frequency ED reached a significantly larger post-dilation diameter and considerably larger diameter differences. <b>Conclusions</b> The results of our study demonstrate that a treatment concept consisting of higher-frequency bougienages seems to be more effective in treating most types of esophageal stricture. Radiogenic strictures were the only types of stenoses that benefited from a lower frequency ED program.</p>","PeriodicalId":12221,"journal":{"name":"European Physical Journal-special Topics","volume":"186 1","pages":"E78-E89"},"PeriodicalIF":2.3000,"publicationDate":"2024-01-10","publicationTypes":"Journal Article","fieldsOfStudy":null,"isOpenAccess":false,"openAccessPdf":"https://www.ncbi.nlm.nih.gov/pmc/articles/PMC10781580/pdf/","citationCount":"0","resultStr":null,"platform":"Semanticscholar","paperid":null,"PeriodicalName":"European Physical Journal-special Topics","FirstCategoryId":"1085","ListUrlMain":"https://doi.org/10.1055/a-2117-8197","RegionNum":3,"RegionCategory":"物理与天体物理","ArticlePicture":[],"TitleCN":null,"AbstractTextCN":null,"PMCID":null,"EPubDate":"2024/1/1 0:00:00","PubModel":"eCollection","JCR":"Q2","JCRName":"PHYSICS, MULTIDISCIPLINARY","Score":null,"Total":0}
引用次数: 0

Abstract

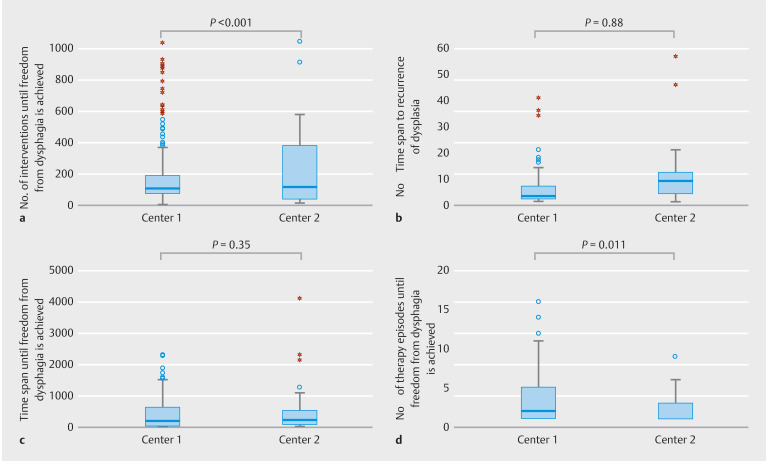
Background and study aims There is still a lack of evidence-based recommendations concerning endoscopic bougienage in benign esophageal strictures. Our study aimed to assess the relevance of the time interval between endoscopic dilation (ED) sessions with regard to endoscopic and clinical response. Patients and methods We performed a retrospective study including patients treated with endoscopic bougienage for a benign esophageal stricture in two German centers. Primary endpoint was the number of ED until freedom from dysphagia was achieved. Secondary endpoints were analyses on reaching a diameter of 15 mm and on achieving clinical freedom from symptoms. Results Between April 2014 and March 2020, bougienage was used as the primary treatment for benign esophageal strictures in 238 patients (194 patients in Center 1; 44 patients in Center 2). Both centers differed in their endoscopic bougienage regime: Center 1 was characterized by a higher frequency of interventions compared to Center 2 (median: 2 days [range 1-28] vs. 10 days [range 1-41]; P <0.001). Clinical response was achieved significantly earlier using the high-frequency regimen in all patients except for those with post-radiogen strictures, who clinically benefited from a low-frequency ED program. Accordingly, patients receiving higher-frequency ED reached a significantly larger post-dilation diameter and considerably larger diameter differences. Conclusions The results of our study demonstrate that a treatment concept consisting of higher-frequency bougienages seems to be more effective in treating most types of esophageal stricture. Radiogenic strictures were the only types of stenoses that benefited from a lower frequency ED program.

Abstract Image

Abstract Image

Abstract Image

食管扩张频率越高,治疗良性食管狭窄的效果越好吗?回顾性多中心研究。
背景和研究目的 目前仍缺乏有关食管良性狭窄内镜下扩张术的循证建议。我们的研究旨在评估内镜扩张(ED)疗程之间的时间间隔与内镜和临床反应的相关性。患者和方法 我们进行了一项回顾性研究,研究对象包括在两家德国中心接受内镜扩张术治疗的良性食管狭窄患者。主要终点是达到无吞咽困难的ED次数。次要终点是对直径达到 15 毫米和临床症状消失的分析。结果 2014 年 4 月至 2020 年 3 月期间,238 名良性食管狭窄患者(1 号中心 194 名;2 号中心 44 名)接受了 Bougienage 作为主要治疗方法。两家中心的内镜下 Bougienage 方法各不相同:与第二中心相比,第一中心的特点是干预频率更高(中位数为 2 天 [1-28] 对 1 天 [1-28] 对 1 天 [1-28] ):中位数:2 天 [1-28] vs. 10 天 [1-41]; P 结论 我们的研究结果表明,在治疗大多数类型的食管狭窄时,由较高频率的 Bougienage 组成的治疗理念似乎更为有效。放射性狭窄是唯一能从低频 ED 方案中获益的狭窄类型。
本文章由计算机程序翻译,如有差异,请以英文原文为准。
求助全文
约1分钟内获得全文 求助全文
来源期刊
CiteScore
5.10
自引率
10.70%
发文量
313
审稿时长
3-8 weeks
期刊介绍: EPJ - Special Topics (EPJ ST) publishes topical issues which are collections of review-type articles or extensive, detailed progress reports. Each issue is focused on a specific subject matter of topical interest. The journal scope covers the whole spectrum of pure and applied physics, including related subjects such as Materials Science, Physical Biology, Physical Chemistry, and Complex Systems with particular emphasis on interdisciplinary topics in physics and related fields.
×
引用
GB/T 7714-2015
复制
MLA
复制
APA
复制
导出至
BibTeX EndNote RefMan NoteFirst NoteExpress
×
提示
您的信息不完整,为了账户安全,请先补充。
现在去补充
×
提示
您因"违规操作"
具体请查看互助需知
我知道了
×
提示
确定
请完成安全验证×
copy
已复制链接
快去分享给好友吧!
我知道了
右上角分享
点击右上角分享
0
联系我们:info@booksci.cn Book学术提供免费学术资源搜索服务,方便国内外学者检索中英文文献。致力于提供最便捷和优质的服务体验。 Copyright © 2023 布克学术 All rights reserved.
京ICP备2023020795号-1
ghs 京公网安备 11010802042870号
Book学术文献互助
Book学术文献互助群
群 号:604180095
Book学术官方微信