Effect of gum Arabic as natural prebiotic on intestinal ecosystem of post-hatched broiler chicks.

IF 3.2 3区 农林科学 Q1 AGRICULTURE, DAIRY & ANIMAL SCIENCE
Journal of Animal Science and Technology Pub Date : 2024-11-01 Epub Date: 2024-11-30 DOI:10.5187/jast.2023.e57
Hani Hasan Al-Baadani, Rashed Abdullah Alhotan, Mahmoud Mustafa Azzam, Ibrahim Abdullah Alhidary, Abdulrahman Salem Alharthi, Abdulaziz Abdullah Al-Abdullatif
{"title":"Effect of gum Arabic as natural prebiotic on intestinal ecosystem of post-hatched broiler chicks.","authors":"Hani Hasan Al-Baadani, Rashed Abdullah Alhotan, Mahmoud Mustafa Azzam, Ibrahim Abdullah Alhidary, Abdulrahman Salem Alharthi, Abdulaziz Abdullah Al-Abdullatif","doi":"10.5187/jast.2023.e57","DOIUrl":null,"url":null,"abstract":"<p><p>The purpose of the current study was to investigate the effects of gum Arabic supplementation on short-chain fatty acids, cecal microbiota, immune-related gene expression, and small intestinal morphology in post-hatched broiler chicks. On the day of hatching, four hundred thirty-two commercial male broiler chicks were randomly allocated into six treatments with twelve cages as replicates of six chicks each for 24 days. Dietary treatments (T1 to T6) were supplemented with 0.0, 0.12, 0.25, 0.50, 0.75, and 1.0% gum Arabic to the basal diet, respectively. Performance parameters, short-chain fatty acid concentration, quantification of microbiota and immune response gene expression (pre-inflammatory cytokines, mucin-2, and secretory immunoglobulin A), and histomorphometry of the small intestine were measured. According to our results, daily weight gains in T2 and the production efficiency index increased in T2 to T4, whereas daily feed intake decreased in T2, T3, T5, and T6, but feed conversion ratio improved. Concentration of lactate, acetate, butyrate, and total short-chain fatty acid increased in T2, T3, T5, and T6. Propionate ‎in T2 T3, T4, and T6 and format in T2, T5, and T6 also increased. <i>Lactobacillus</i> spp. quantitatively increased from T3 to T6, whereas <i>Bacteroides</i> spp. decreased in T3 and T5. Other microbiota quantitatively showed no effect of dietary supplements. <i>IL-1β</i>, <i>TNF-α</i>, and <i>MUC-2</i> decreased in T2 to T6 and IL-12 in T3, whereas <i>INF-Y</i> increased in T4 to T6 and <i>SIgA</i> in T4. All histometeric parameters of the duodenum, jejunum, and ileum improved with dietary supplementation. We conclude that the administration of gum Arabic resulted in an improvement in overall performance, fermentation metabolites, and modification of microbiota and immune response with improved histomorphometry in the intestines of young chicks.</p>","PeriodicalId":14923,"journal":{"name":"Journal of Animal Science and Technology","volume":"47 1","pages":"1203-1220"},"PeriodicalIF":3.2000,"publicationDate":"2024-11-01","publicationTypes":"Journal Article","fieldsOfStudy":null,"isOpenAccess":false,"openAccessPdf":"https://www.ncbi.nlm.nih.gov/pmc/articles/PMC11647399/pdf/","citationCount":"0","resultStr":null,"platform":"Semanticscholar","paperid":null,"PeriodicalName":"Journal of Animal Science and Technology","FirstCategoryId":"97","ListUrlMain":"https://doi.org/10.5187/jast.2023.e57","RegionNum":3,"RegionCategory":"农林科学","ArticlePicture":[],"TitleCN":null,"AbstractTextCN":null,"PMCID":null,"EPubDate":"2024/11/30 0:00:00","PubModel":"Epub","JCR":"Q1","JCRName":"AGRICULTURE, DAIRY & ANIMAL SCIENCE","Score":null,"Total":0}
引用次数: 0

Abstract

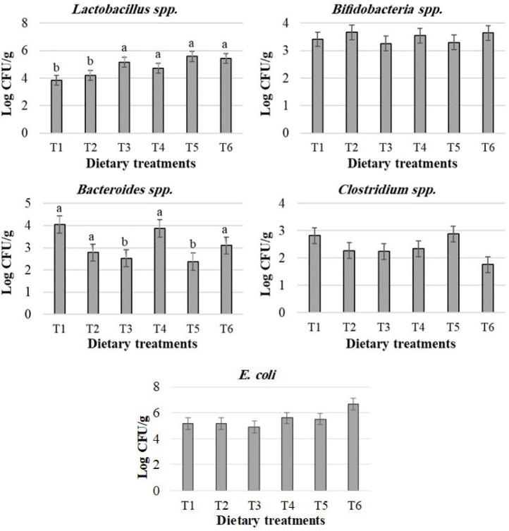
The purpose of the current study was to investigate the effects of gum Arabic supplementation on short-chain fatty acids, cecal microbiota, immune-related gene expression, and small intestinal morphology in post-hatched broiler chicks. On the day of hatching, four hundred thirty-two commercial male broiler chicks were randomly allocated into six treatments with twelve cages as replicates of six chicks each for 24 days. Dietary treatments (T1 to T6) were supplemented with 0.0, 0.12, 0.25, 0.50, 0.75, and 1.0% gum Arabic to the basal diet, respectively. Performance parameters, short-chain fatty acid concentration, quantification of microbiota and immune response gene expression (pre-inflammatory cytokines, mucin-2, and secretory immunoglobulin A), and histomorphometry of the small intestine were measured. According to our results, daily weight gains in T2 and the production efficiency index increased in T2 to T4, whereas daily feed intake decreased in T2, T3, T5, and T6, but feed conversion ratio improved. Concentration of lactate, acetate, butyrate, and total short-chain fatty acid increased in T2, T3, T5, and T6. Propionate ‎in T2 T3, T4, and T6 and format in T2, T5, and T6 also increased. Lactobacillus spp. quantitatively increased from T3 to T6, whereas Bacteroides spp. decreased in T3 and T5. Other microbiota quantitatively showed no effect of dietary supplements. IL-1β, TNF-α, and MUC-2 decreased in T2 to T6 and IL-12 in T3, whereas INF-Y increased in T4 to T6 and SIgA in T4. All histometeric parameters of the duodenum, jejunum, and ileum improved with dietary supplementation. We conclude that the administration of gum Arabic resulted in an improvement in overall performance, fermentation metabolites, and modification of microbiota and immune response with improved histomorphometry in the intestines of young chicks.

Abstract Image

Abstract Image

Abstract Image

阿拉伯胶作为天然益生元对孵化后肉鸡肠道生态系统的影响。
本研究的目的是研究阿拉伯胶对孵化后肉鸡短链脂肪酸、盲肠菌群、免疫相关基因表达和小肠形态的影响。自孵化日起,选取432只商品雄性肉鸡,随机分为6个处理,每组12个笼,每组重复6只鸡,连续24 d。饲粮处理(T1 ~ T6)分别在基础饲粮中添加0.0、0.12、0.25、0.50、0.75和1.0%阿拉伯胶。测量小肠性能参数、短链脂肪酸浓度、微生物群定量和免疫应答基因表达(炎症前细胞因子、粘蛋白-2和分泌性免疫球蛋白A)以及组织形态学。结果表明,T2 ~ T4期日增重和生产效率指数均有所提高,而T2、T3、T5和T6期日采食量均有所下降,但饲料系数有所提高。T2、T3、T5和T6时乳酸、乙酸、丁酸和总短链脂肪酸浓度升高。T2、T3、T4、T6和T2、T5、T6的丙酸酯也升高。从T3到T6,乳杆菌数量增加,而拟杆菌数量在T3和T5减少。其他微生物群定量显示膳食补充剂没有影响。T2至T6时IL-1β、TNF-α、MUC-2降低,T3时IL-12降低,T4至T6时INF-Y升高,T4时SIgA升高。饲粮添加后,十二指肠、空肠和回肠的所有组织参数均得到改善。我们得出的结论是,阿拉伯胶的添加改善了雏鸡的整体生产性能、发酵代谢产物、微生物群的改变和免疫反应,并改善了雏鸡肠道的组织形态。
本文章由计算机程序翻译,如有差异,请以英文原文为准。
求助全文
约1分钟内获得全文 求助全文
来源期刊
Journal of Animal Science and Technology
Journal of Animal Science and Technology Agricultural and Biological Sciences-Food Science
CiteScore
4.50
自引率
8.70%
发文量
96
审稿时长
7 weeks
期刊介绍: Journal of Animal Science and Technology (J. Anim. Sci. Technol. or JAST) is a peer-reviewed, open access journal publishing original research, review articles and notes in all fields of animal science. Topics covered by the journal include: genetics and breeding, physiology, nutrition of monogastric animals, nutrition of ruminants, animal products (milk, meat, eggs and their by-products) and their processing, grasslands and roughages, livestock environment, animal biotechnology, animal behavior and welfare. Articles generally report research involving beef cattle, dairy cattle, pigs, companion animals, goats, horses, and sheep. However, studies involving other farm animals, aquatic and wildlife species, and laboratory animal species that address fundamental questions related to livestock and companion animal biology will also be considered for publication. The Journal of Animal Science and Technology (J. Anim. Technol. or JAST) has been the official journal of The Korean Society of Animal Science and Technology (KSAST) since 2000, formerly known as The Korean Journal of Animal Sciences (launched in 1956).
×
引用
GB/T 7714-2015
复制
MLA
复制
APA
复制
导出至
BibTeX EndNote RefMan NoteFirst NoteExpress
×
提示
您的信息不完整,为了账户安全,请先补充。
现在去补充
×
提示
您因"违规操作"
具体请查看互助需知
我知道了
×
提示
确定
请完成安全验证×
copy
已复制链接
快去分享给好友吧!
我知道了
右上角分享
点击右上角分享
0
联系我们:info@booksci.cn Book学术提供免费学术资源搜索服务,方便国内外学者检索中英文文献。致力于提供最便捷和优质的服务体验。 Copyright © 2023 布克学术 All rights reserved.
京ICP备2023020795号-1
ghs 京公网安备 11010802042870号
Book学术文献互助
Book学术文献互助群
群 号:604180095
Book学术官方微信