Effect of Neurofeedback Training and Swimming Exercise on the Electroencephalographic Changes and Craving in Methamphetamine-dependent Patients.

Basic and Clinical Neuroscience Journal Pub Date : 2025-01-01 Epub Date: 2025-03-18 DOI:10.32598/bcn.2023.886.4
Atefeh Fadaei, Mahmoud Najafi, Hossein Miladi-Gorji, Mohammad Ali Tajik-Mansoury, Mohammad Afkar
{"title":"Effect of Neurofeedback Training and Swimming Exercise on the Electroencephalographic Changes and Craving in Methamphetamine-dependent Patients.","authors":"Atefeh Fadaei, Mahmoud Najafi, Hossein Miladi-Gorji, Mohammad Ali Tajik-Mansoury, Mohammad Afkar","doi":"10.32598/bcn.2023.886.4","DOIUrl":null,"url":null,"abstract":"<p><strong>Introduction: </strong>In this study, we investigated whether neurofeedback (NFB) training and swimming exercise would decrease the electroencephalographic (EEG) changes and visual image-induced craving in methamphetamine (METH)-dependent patients.</p><p><strong>Methods: </strong>This research was a randomized controlled trial. A total of 32 METH-dependent patients were allocated randomly to four groups: Control, NFB, swim, and NFB/swim. The EEG and visual image-induced craving were recorded before and after the intervention in all four groups.</p><p><strong>Results: </strong>The NFB, swim, and NFB/swim groups showed significantly lower absolute power for 4 frequency bands. Also, the swim and NFB/swim groups had less and greater relative power in the alpha and delta bands, respectively. In addition, the NFB/swim group exhibited an increase in delta/alpha power ratio compared to the control and the NFB groups. Also, the NFB/swim group showed a significant reduction in visual image-induced craving score compared to the control, swim, and NFB groups.</p><p><strong>Conclusion: </strong>This study provides novel evidence that combined NFB training and swimming exercise during METH abstinence was effective in normalizing METH-induced EEG changes, which may help patients manage their cravings.</p>","PeriodicalId":8728,"journal":{"name":"Basic and Clinical Neuroscience Journal","volume":"21 1","pages":"179-192"},"PeriodicalIF":0.0000,"publicationDate":"2025-01-01","publicationTypes":"Journal Article","fieldsOfStudy":null,"isOpenAccess":false,"openAccessPdf":"https://www.ncbi.nlm.nih.gov/pmc/articles/PMC12265441/pdf/","citationCount":"0","resultStr":null,"platform":"Semanticscholar","paperid":null,"PeriodicalName":"Basic and Clinical Neuroscience Journal","FirstCategoryId":"1085","ListUrlMain":"https://doi.org/10.32598/bcn.2023.886.4","RegionNum":0,"RegionCategory":null,"ArticlePicture":[],"TitleCN":null,"AbstractTextCN":null,"PMCID":null,"EPubDate":"2025/3/18 0:00:00","PubModel":"Epub","JCR":"","JCRName":"","Score":null,"Total":0}
引用次数: 0

Abstract

Introduction: In this study, we investigated whether neurofeedback (NFB) training and swimming exercise would decrease the electroencephalographic (EEG) changes and visual image-induced craving in methamphetamine (METH)-dependent patients.

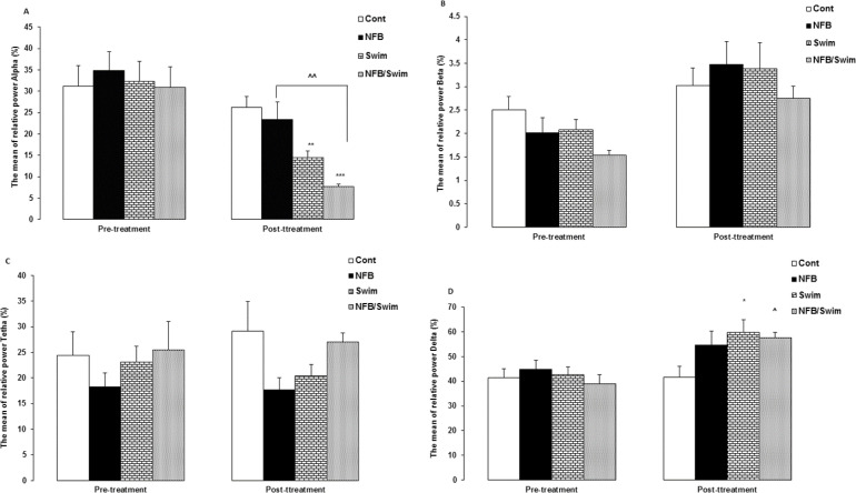
Methods: This research was a randomized controlled trial. A total of 32 METH-dependent patients were allocated randomly to four groups: Control, NFB, swim, and NFB/swim. The EEG and visual image-induced craving were recorded before and after the intervention in all four groups.

Results: The NFB, swim, and NFB/swim groups showed significantly lower absolute power for 4 frequency bands. Also, the swim and NFB/swim groups had less and greater relative power in the alpha and delta bands, respectively. In addition, the NFB/swim group exhibited an increase in delta/alpha power ratio compared to the control and the NFB groups. Also, the NFB/swim group showed a significant reduction in visual image-induced craving score compared to the control, swim, and NFB groups.

Conclusion: This study provides novel evidence that combined NFB training and swimming exercise during METH abstinence was effective in normalizing METH-induced EEG changes, which may help patients manage their cravings.

Abstract Image

Abstract Image

Abstract Image

神经反馈训练和游泳运动对甲基苯丙胺依赖患者脑电图变化和渴望的影响。
在这项研究中,我们研究了神经反馈(NFB)训练和游泳运动是否会减少甲基苯丙胺(METH)依赖患者的脑电图(EEG)变化和视觉图像诱导的渴望。方法:采用随机对照试验。32例甲基苯丙胺依赖患者被随机分为4组:Control组、NFB组、swim组和NFB/swim组。记录四组干预前后的脑电图和视觉图像诱导的渴望。结果:NFB组、swim组和NFB/swim组在4个频段的绝对功率均显著降低。此外,游泳组和NFB/游泳组在α和δ波段的相对功率分别较小和较大。此外,与对照组和NFB组相比,NFB/游泳组的δ / α功率比有所增加。此外,与对照组、游泳组和NFB组相比,NFB/游泳组在视觉图像诱导的渴望得分上显着降低。结论:本研究提供了新的证据,证明在冰毒戒断期间结合NFB训练和游泳运动可以有效地使冰毒诱导的脑电图改变正常化,这可能有助于患者控制冰毒的渴望。
本文章由计算机程序翻译,如有差异,请以英文原文为准。
求助全文
约1分钟内获得全文 求助全文
来源期刊
自引率
0.00%
发文量
0
×
引用
GB/T 7714-2015
复制
MLA
复制
APA
复制
导出至
BibTeX EndNote RefMan NoteFirst NoteExpress
×
提示
您的信息不完整,为了账户安全,请先补充。
现在去补充
×
提示
您因"违规操作"
具体请查看互助需知
我知道了
×
提示
确定
请完成安全验证×
copy
已复制链接
快去分享给好友吧!
我知道了
右上角分享
点击右上角分享
0
联系我们:info@booksci.cn Book学术提供免费学术资源搜索服务,方便国内外学者检索中英文文献。致力于提供最便捷和优质的服务体验。 Copyright © 2023 布克学术 All rights reserved.
京ICP备2023020795号-1
ghs 京公网安备 11010802042870号
Book学术文献互助
Book学术文献互助群
群 号:604180095
Book学术官方微信