Housing and Environmental Enrichment of the Domestic Ferret: A Multi-Sector Survey.

IF 1.2 3区 管理学 Q3 MANAGEMENT
Alice M M Dancer, María Díez-León, Jennifer K Bizley, Charlotte C Burn
{"title":"Housing and Environmental Enrichment of the Domestic Ferret: A Multi-Sector Survey.","authors":"Alice M M Dancer, María Díez-León, Jennifer K Bizley, Charlotte C Burn","doi":"10.3390/ani12091065","DOIUrl":null,"url":null,"abstract":"<p><p>Ferrets (<i>Mustela putorius furo</i>) are kept and used in multiple sectors of society, but little is known about how they are housed and what environmental enrichment (EE) they may benefit from. We aimed to help guide caretakers about what housing and EE can be provided for ferrets. Through an online questionnaire of ferret caretakers, including pet, laboratory, zoological collection, rescue and working animal sectors internationally, we described ferret housing, opportunities for exploration, EE provision and caretaker opinions on ferrets' preferred EE types, and problematic EE. In total, 754 valid responses from 17 countries were analysed, with most (82.4%) coming from pet owners. Most ferrets were housed socially, with housing varying across sectors from single-level cages to free-range housing in a room or outdoor enclosure; pet owners mostly used multi-level cages. The most commonly reported EE included hammocks, tunnels and tactile interaction with caretakers. Respondents reported that ferrets particularly enjoyed digging substrates, tunnels, human interaction and exploration. The most frequently reported problems were that ingestion of unsuitable chew toys and rubber items could cause internal blockages, narrow tunnels could trap ferrets, and certain fabrics that could catch claws. This suggests a need for increased awareness of the risks of these EE types and for more commercially available safety-tested ferret EE. Scent trails were relatively rarely provided but were reported to be enjoyed and harmless, so we recommend that these should be provided more commonly. Our results suggest that there is scope to improve ferret housing and EE provision to benefit ferret welfare across all sectors.</p>","PeriodicalId":51667,"journal":{"name":"Journal of Organizational Behavior Management","volume":"37 1","pages":""},"PeriodicalIF":1.2000,"publicationDate":"2022-04-20","publicationTypes":"Journal Article","fieldsOfStudy":null,"isOpenAccess":false,"openAccessPdf":"https://www.ncbi.nlm.nih.gov/pmc/articles/PMC9102951/pdf/","citationCount":"0","resultStr":null,"platform":"Semanticscholar","paperid":null,"PeriodicalName":"Journal of Organizational Behavior Management","FirstCategoryId":"97","ListUrlMain":"https://doi.org/10.3390/ani12091065","RegionNum":3,"RegionCategory":"管理学","ArticlePicture":[],"TitleCN":null,"AbstractTextCN":null,"PMCID":null,"EPubDate":"","PubModel":"","JCR":"Q3","JCRName":"MANAGEMENT","Score":null,"Total":0}
引用次数: 0

Abstract

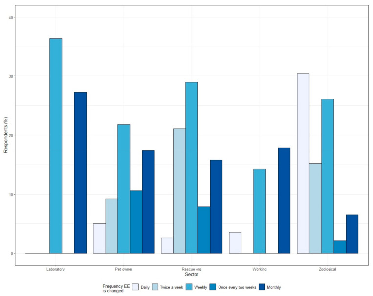
Ferrets (Mustela putorius furo) are kept and used in multiple sectors of society, but little is known about how they are housed and what environmental enrichment (EE) they may benefit from. We aimed to help guide caretakers about what housing and EE can be provided for ferrets. Through an online questionnaire of ferret caretakers, including pet, laboratory, zoological collection, rescue and working animal sectors internationally, we described ferret housing, opportunities for exploration, EE provision and caretaker opinions on ferrets' preferred EE types, and problematic EE. In total, 754 valid responses from 17 countries were analysed, with most (82.4%) coming from pet owners. Most ferrets were housed socially, with housing varying across sectors from single-level cages to free-range housing in a room or outdoor enclosure; pet owners mostly used multi-level cages. The most commonly reported EE included hammocks, tunnels and tactile interaction with caretakers. Respondents reported that ferrets particularly enjoyed digging substrates, tunnels, human interaction and exploration. The most frequently reported problems were that ingestion of unsuitable chew toys and rubber items could cause internal blockages, narrow tunnels could trap ferrets, and certain fabrics that could catch claws. This suggests a need for increased awareness of the risks of these EE types and for more commercially available safety-tested ferret EE. Scent trails were relatively rarely provided but were reported to be enjoyed and harmless, so we recommend that these should be provided more commonly. Our results suggest that there is scope to improve ferret housing and EE provision to benefit ferret welfare across all sectors.

Abstract Image

Abstract Image

Abstract Image

家养雪貂的住房和环境改善:多部门调查。
雪貂(Mustela putorius furo)在社会的多个领域中被饲养和使用,但人们对雪貂的饲养方式以及它们可能从中受益的丰富环境(EE)知之甚少。我们的目标是帮助指导饲养者为雪貂提供怎样的饲养环境和丰富的环境。通过对雪貂饲养者进行在线问卷调查,我们描述了雪貂的住房、探索机会、EE提供以及饲养者对雪貂喜欢的EE类型和有问题的EE的看法。我们总共分析了来自 17 个国家的 754 份有效回复,其中大部分(82.4%)来自宠物主人。大多数雪貂都是社会饲养,不同行业的饲养方式各不相同,有的使用单层笼子,有的在房间或室外围栏中散养;宠物饲养者大多使用多层笼子。最常见的 EE 包括吊床、隧道和与饲养者的触觉互动。受访者报告说,雪貂特别喜欢挖掘基质、隧道、人际互动和探索。最常报告的问题是,摄入不合适的咀嚼玩具和橡胶制品会导致体内堵塞,狭窄的隧道会困住雪貂,以及某些织物会夹住爪子。这表明需要提高对这些电子设备类型风险的认识,并需要更多经过安全测试的商用雪貂电子设备。提供气味小径的情况相对较少,但据报告,人们喜欢这种小径,而且这种小径无害,因此我们建议应更多地提供这种小径。我们的研究结果表明,白鼬饲养和环境教育的提供仍有改进的余地,这将有利于所有领域的白鼬福利。
本文章由计算机程序翻译,如有差异,请以英文原文为准。
求助全文
约1分钟内获得全文 求助全文
来源期刊
CiteScore
2.70
自引率
47.60%
发文量
26
期刊介绍: The Journal of Organizational Behavior Management—the official journal of the OBM Network (www.obmnetwork.com)—is a periodical devoted specifically to scientific principles to improve organizational performance through behavioral change. The journal publishes research and review articles, reports from the field, discussions, and book reviews on the topics that are critical to today"s organization development practitioners, operations managers, and human resource professionals.
×
引用
GB/T 7714-2015
复制
MLA
复制
APA
复制
导出至
BibTeX EndNote RefMan NoteFirst NoteExpress
×
提示
您的信息不完整,为了账户安全,请先补充。
现在去补充
×
提示
您因"违规操作"
具体请查看互助需知
我知道了
×
提示
确定
请完成安全验证×
copy
已复制链接
快去分享给好友吧!
我知道了
右上角分享
点击右上角分享
0
联系我们:info@booksci.cn Book学术提供免费学术资源搜索服务,方便国内外学者检索中英文文献。致力于提供最便捷和优质的服务体验。 Copyright © 2023 布克学术 All rights reserved.
京ICP备2023020795号-1
ghs 京公网安备 11010802042870号
Book学术文献互助
Book学术文献互助群
群 号:604180095
Book学术官方微信