Intraspecific variation in photosynthetic efficiency in soybean (Glycine max L.) varieties towards solar ultraviolet radiations.

IF 1.6 4区 生物学 Q2 PLANT SCIENCES
Photosynthetica Pub Date : 2022-12-21 eCollection Date: 2023-01-01 DOI:10.32615/ps.2022.048
S S Baroniya, K Jumrani, M Baroniya, K N Guruprasad, M Landi, S Kataria
{"title":"Intraspecific variation in photosynthetic efficiency in soybean (<i>Glycine max</i> L.) varieties towards solar ultraviolet radiations.","authors":"S S Baroniya, K Jumrani, M Baroniya, K N Guruprasad, M Landi, S Kataria","doi":"10.32615/ps.2022.048","DOIUrl":null,"url":null,"abstract":"<p><p>In the current study, we used four soybean varieties PK-1029, PK-472, NRC-7, and Hardee to examine the effect of exclusion of solar UV radiation on photosynthetic efficiency and to test possible variety-dependent sensitivity to ambient UV (280-400 nm). Plants that were grown under UV exclusion filters had higher chlorophyll <i>a</i> and <i>b</i>, efficiencies of PSII and more active reaction centers indicated that PSII were substantially affected by solar UV radiation. The significant increase in net photosynthesis was linked to increased stomatal conductance and lower intercellular concentration of CO<sub>2</sub> in UV-excluded plants. The exclusion of solar UV increased seed mass per plant in all soybean varieties as compared to the control; this indicates that ambient UV exclusions boost photosynthetic efficiency and improve soybean yield. The overall cumulative stress response index of four varieties implies that Hardee and PK-472 were more sensitive whereas NRC-7 and PK-1029 were resistant to ambient UV radiations.</p>","PeriodicalId":20157,"journal":{"name":"Photosynthetica","volume":"50 1","pages":"203-214"},"PeriodicalIF":1.6000,"publicationDate":"2022-12-21","publicationTypes":"Journal Article","fieldsOfStudy":null,"isOpenAccess":false,"openAccessPdf":"https://www.ncbi.nlm.nih.gov/pmc/articles/PMC11515822/pdf/","citationCount":"0","resultStr":null,"platform":"Semanticscholar","paperid":null,"PeriodicalName":"Photosynthetica","FirstCategoryId":"99","ListUrlMain":"https://doi.org/10.32615/ps.2022.048","RegionNum":4,"RegionCategory":"生物学","ArticlePicture":[],"TitleCN":null,"AbstractTextCN":null,"PMCID":null,"EPubDate":"2023/1/1 0:00:00","PubModel":"eCollection","JCR":"Q2","JCRName":"PLANT SCIENCES","Score":null,"Total":0}
引用次数: 0

Abstract

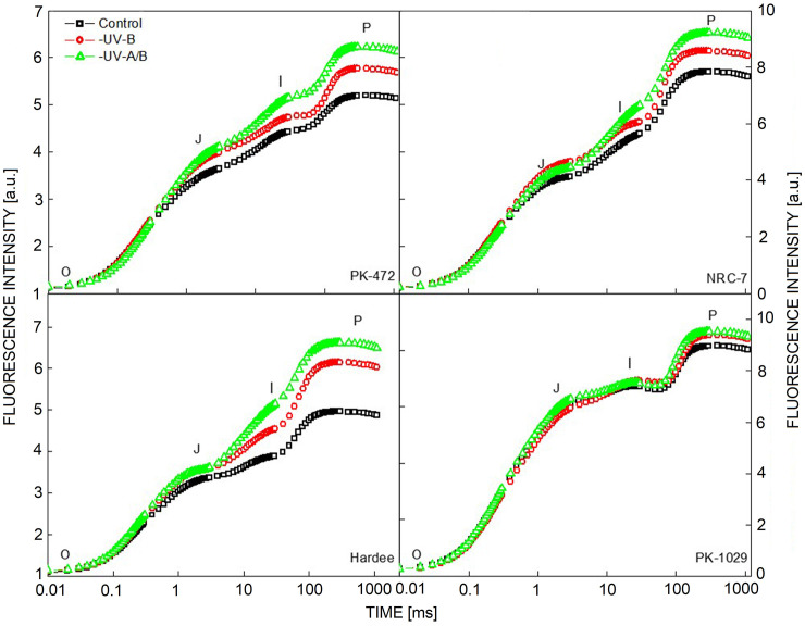
In the current study, we used four soybean varieties PK-1029, PK-472, NRC-7, and Hardee to examine the effect of exclusion of solar UV radiation on photosynthetic efficiency and to test possible variety-dependent sensitivity to ambient UV (280-400 nm). Plants that were grown under UV exclusion filters had higher chlorophyll a and b, efficiencies of PSII and more active reaction centers indicated that PSII were substantially affected by solar UV radiation. The significant increase in net photosynthesis was linked to increased stomatal conductance and lower intercellular concentration of CO2 in UV-excluded plants. The exclusion of solar UV increased seed mass per plant in all soybean varieties as compared to the control; this indicates that ambient UV exclusions boost photosynthetic efficiency and improve soybean yield. The overall cumulative stress response index of four varieties implies that Hardee and PK-472 were more sensitive whereas NRC-7 and PK-1029 were resistant to ambient UV radiations.

Abstract Image

Abstract Image

大豆(Glycine max L.)品种光合效率对太阳紫外线辐射的种内变异
在本研究中,我们以四个大豆品种PK-1029、PK-472、NRC-7和Hardee为研究对象,研究了排除太阳紫外线辐射对光合效率的影响,并测试了品种对环境紫外线(280-400 nm)的敏感性。在紫外线过滤下生长的植物叶绿素a和b较高,PSII的效率较高,反应中心更活跃,表明PSII受太阳紫外线辐射的影响较大。在不受紫外线照射的植物中,净光合作用的显著增加与气孔导度增加和细胞间CO2浓度降低有关。与对照相比,排除太阳紫外线使所有大豆品种单株种子质量增加;这表明排除环境紫外线可提高大豆的光合效率和产量。4个品种的综合累积胁迫响应指数表明,Hardee和PK-472对环境紫外线的敏感性较高,而NRC-7和PK-1029对环境紫外线的抗性较强。
本文章由计算机程序翻译,如有差异,请以英文原文为准。
求助全文
约1分钟内获得全文 求助全文
来源期刊
Photosynthetica
Photosynthetica 生物-植物科学
CiteScore
5.60
自引率
7.40%
发文量
55
审稿时长
3.8 months
期刊介绍: Photosynthetica publishes original scientific papers and brief communications, reviews on specialized topics, book reviews and announcements and reports covering wide range of photosynthesis research or research including photosynthetic parameters of both experimental and theoretical nature and dealing with physiology, biophysics, biochemistry, molecular biology on one side and leaf optics, stress physiology and ecology of photosynthesis on the other side. The language of journal is English (British or American). Papers should not be published or under consideration for publication elsewhere.
×
引用
GB/T 7714-2015
复制
MLA
复制
APA
复制
导出至
BibTeX EndNote RefMan NoteFirst NoteExpress
×
提示
您的信息不完整,为了账户安全,请先补充。
现在去补充
×
提示
您因"违规操作"
具体请查看互助需知
我知道了
×
提示
确定
请完成安全验证×
copy
已复制链接
快去分享给好友吧!
我知道了
右上角分享
点击右上角分享
0
联系我们:info@booksci.cn Book学术提供免费学术资源搜索服务,方便国内外学者检索中英文文献。致力于提供最便捷和优质的服务体验。 Copyright © 2023 布克学术 All rights reserved.
京ICP备2023020795号-1
ghs 京公网安备 11010802042870号
Book学术文献互助
Book学术文献互助群
群 号:604180095
Book学术官方微信