Cytotoxic Compounds Derived from Marine Sponges. A Review (2010-2012).

Roberto Mioso, Francisco J Toledo Marante, Ranilson de Souza Bezerra, Flávio Valadares Pereira Borges, Bárbara V de Oliveira Santos, Irma Herrera Bravo de Laguna
{"title":"Cytotoxic Compounds Derived from Marine Sponges. A Review (2010-2012).","authors":"Roberto Mioso, Francisco J Toledo Marante, Ranilson de Souza Bezerra, Flávio Valadares Pereira Borges, Bárbara V de Oliveira Santos, Irma Herrera Bravo de Laguna","doi":"10.3390/molecules22020208","DOIUrl":null,"url":null,"abstract":"<p><p><b>Abstract</b>: This extensive review covers research published between 2010 and 2012 regarding new compounds derived from marine sponges, including 62 species from 60 genera belonging to 33 families and 13 orders of the Demospongia class (Porifera). The emphasis is on the cytotoxic activity that bioactive metabolites from sponges may have on cancer cell lines. At least 197 novel chemical structures from 337 compounds isolated have been found to support this work. Details on the source and taxonomy of the sponges, their geographical occurrence, and a range of chemical structures are presented. The compounds discovered from the reviewed marine sponges fall into mainly four chemical classes: terpenoids (41.9%), alkaloids (26.2%), macrolides (8.9%) and peptides (6.3%) which, along with polyketides, sterols, and others show a range of biological activities. The key sponge orders studied in the reviewed research were Dictyoceratida, Haplosclerida, Tetractinellida, Poecilosclerida, and Agelasida. <i>Petrosia</i>, <i>Haliclona</i> (Haplosclerida), <i>Rhabdastrella</i> (Tetractinellida), <i>Coscinoderma</i> and <i>Hyppospongia</i> (Dictyioceratida), were found to be the most promising genera because of their capacity for producing new bioactive compounds. Several of the new compounds and their synthetic analogues have shown in vitro cytotoxic and pro-apoptotic activities against various tumor/cancer cell lines, and some of them will undergo further in vivo evaluation.</p>","PeriodicalId":17203,"journal":{"name":"Journal of The American Dietetic Association","volume":"98 1","pages":""},"PeriodicalIF":0.0000,"publicationDate":"2017-01-28","publicationTypes":"Journal Article","fieldsOfStudy":null,"isOpenAccess":false,"openAccessPdf":"https://www.ncbi.nlm.nih.gov/pmc/articles/PMC6155849/pdf/","citationCount":"0","resultStr":null,"platform":"Semanticscholar","paperid":null,"PeriodicalName":"Journal of The American Dietetic Association","FirstCategoryId":"1085","ListUrlMain":"https://doi.org/10.3390/molecules22020208","RegionNum":0,"RegionCategory":null,"ArticlePicture":[],"TitleCN":null,"AbstractTextCN":null,"PMCID":null,"EPubDate":"","PubModel":"","JCR":"","JCRName":"","Score":null,"Total":0}
引用次数: 0

Abstract: This extensive review covers research published between 2010 and 2012 regarding new compounds derived from marine sponges, including 62 species from 60 genera belonging to 33 families and 13 orders of the Demospongia class (Porifera). The emphasis is on the cytotoxic activity that bioactive metabolites from sponges may have on cancer cell lines. At least 197 novel chemical structures from 337 compounds isolated have been found to support this work. Details on the source and taxonomy of the sponges, their geographical occurrence, and a range of chemical structures are presented. The compounds discovered from the reviewed marine sponges fall into mainly four chemical classes: terpenoids (41.9%), alkaloids (26.2%), macrolides (8.9%) and peptides (6.3%) which, along with polyketides, sterols, and others show a range of biological activities. The key sponge orders studied in the reviewed research were Dictyoceratida, Haplosclerida, Tetractinellida, Poecilosclerida, and Agelasida. Petrosia, Haliclona (Haplosclerida), Rhabdastrella (Tetractinellida), Coscinoderma and Hyppospongia (Dictyioceratida), were found to be the most promising genera because of their capacity for producing new bioactive compounds. Several of the new compounds and their synthetic analogues have shown in vitro cytotoxic and pro-apoptotic activities against various tumor/cancer cell lines, and some of them will undergo further in vivo evaluation.

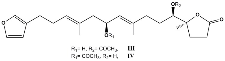
Abstract Image

Abstract Image

Abstract Image

从海洋海绵中提取的细胞毒性化合物。综述(2010-2012 年)。
摘要:这篇内容广泛的综述涵盖了 2010 年至 2012 年间发表的有关从海洋海绵中提取的新化合物的研究,其中包括隶属于多孔类(Demospongia)33 科 13 目 60 属 62 个物种。重点是海绵中的生物活性代谢物对癌细胞株可能具有的细胞毒性活性。从分离出的 337 种化合物中发现了至少 197 种新型化学结构,为这项工作提供了支持。文中详细介绍了海绵的来源和分类、出现的地理位置以及一系列化学结构。从所审查的海洋海绵中发现的化合物主要分为四类:萜类(41.9%)、生物碱类(26.2%)、大环内酯类(8.9%)和肽类(6.3%),它们与多酮类、甾醇类和其他化合物一起显示出一系列生物活性。在所审查的研究中,所研究的主要海绵目包括双子叶目(Dictyoceratida)、藻类学目(Haplosclerida)、四鳃藻目(Tetractinellida)、藻类学目(Poecilosclerida)和藻类学目(Agelasida)。Petrosia 属、Haliclona 属(Haplosclerida)、Rhabdastrella 属(Tetractinellida)、Coscinoderma 属和 Hyppospongia 属(Dictyioceratida)被认为是最有前途的属,因为它们有能力产生新的生物活性化合物。几种新化合物及其合成类似物在体外对各种肿瘤/癌症细胞系显示出细胞毒性和促凋亡活性,其中一些将进一步进行体内评估。
本文章由计算机程序翻译,如有差异,请以英文原文为准。
求助全文
约1分钟内获得全文 求助全文
来源期刊
自引率
0.00%
发文量
0
审稿时长
>12 weeks
×
引用
GB/T 7714-2015
复制
MLA
复制
APA
复制
导出至
BibTeX EndNote RefMan NoteFirst NoteExpress
×
提示
您的信息不完整,为了账户安全,请先补充。
现在去补充
×
提示
您因"违规操作"
具体请查看互助需知
我知道了
×
提示
确定
请完成安全验证×
copy
已复制链接
快去分享给好友吧!
我知道了
右上角分享
点击右上角分享
0
联系我们:info@booksci.cn Book学术提供免费学术资源搜索服务,方便国内外学者检索中英文文献。致力于提供最便捷和优质的服务体验。 Copyright © 2023 布克学术 All rights reserved.
京ICP备2023020795号-1
ghs 京公网安备 11010802042870号
Book学术文献互助
Book学术文献互助群
群 号:604180095
Book学术官方微信