Impact of salt stress on physiology, leaf mass, and nutrient accumulation in romaine lettuce.

IF 1.6 4区 生物学 Q2 PLANT SCIENCES
Photosynthetica Pub Date : 2023-07-11 eCollection Date: 2023-01-01 DOI:10.32615/ps.2023.027
B Adhikari, O J Olorunwa, S Brazel, T C Barickman, R Bheemanahalli
{"title":"Impact of salt stress on physiology, leaf mass, and nutrient accumulation in romaine lettuce.","authors":"B Adhikari, O J Olorunwa, S Brazel, T C Barickman, R Bheemanahalli","doi":"10.32615/ps.2023.027","DOIUrl":null,"url":null,"abstract":"<p><p>The impact of salt stress is becoming more prevalent each year, largely due to the effects of climate change. Limited availability of salt-free water is rising concern for hydroponics lettuce production. Despite evidence supporting salt stress-induced quality losses and physiological changes, studies on romaine lettuce salt-stress tolerance are limited. This study examined the mechanism underlying the sodium chloride (NaCl) tolerance (0, 50, 100, and 150 mM) of lettuce on its growth and nutrition at late-rosette and early head-formation stages. Results revealed 76% fresh mass reduction under increased NaCl at both stages. The study also found unchanged carbon assimilation with reduced stomatal conductance under increased NaCl. Salt-stressed lettuce accumulated more boron and iron but had reduced phosphorus and calcium. Phenolics and sugars increased linearly under salt stress, suggesting that lettuce responds to increased oxidative stress at both stages. A positive association between salt treatment and sodium to potassium ion ratio indicated lettuce sensitivity to salt stress at both stages.</p>","PeriodicalId":20157,"journal":{"name":"Photosynthetica","volume":"21 4","pages":"342-353"},"PeriodicalIF":1.6000,"publicationDate":"2023-07-11","publicationTypes":"Journal Article","fieldsOfStudy":null,"isOpenAccess":false,"openAccessPdf":"https://www.ncbi.nlm.nih.gov/pmc/articles/PMC11558591/pdf/","citationCount":"0","resultStr":null,"platform":"Semanticscholar","paperid":null,"PeriodicalName":"Photosynthetica","FirstCategoryId":"99","ListUrlMain":"https://doi.org/10.32615/ps.2023.027","RegionNum":4,"RegionCategory":"生物学","ArticlePicture":[],"TitleCN":null,"AbstractTextCN":null,"PMCID":null,"EPubDate":"2023/1/1 0:00:00","PubModel":"eCollection","JCR":"Q2","JCRName":"PLANT SCIENCES","Score":null,"Total":0}
引用次数: 0

Abstract

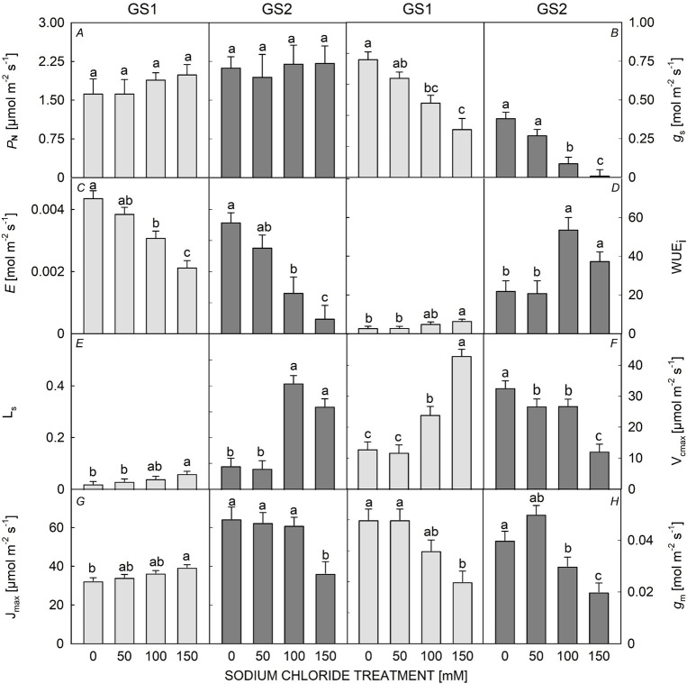
The impact of salt stress is becoming more prevalent each year, largely due to the effects of climate change. Limited availability of salt-free water is rising concern for hydroponics lettuce production. Despite evidence supporting salt stress-induced quality losses and physiological changes, studies on romaine lettuce salt-stress tolerance are limited. This study examined the mechanism underlying the sodium chloride (NaCl) tolerance (0, 50, 100, and 150 mM) of lettuce on its growth and nutrition at late-rosette and early head-formation stages. Results revealed 76% fresh mass reduction under increased NaCl at both stages. The study also found unchanged carbon assimilation with reduced stomatal conductance under increased NaCl. Salt-stressed lettuce accumulated more boron and iron but had reduced phosphorus and calcium. Phenolics and sugars increased linearly under salt stress, suggesting that lettuce responds to increased oxidative stress at both stages. A positive association between salt treatment and sodium to potassium ion ratio indicated lettuce sensitivity to salt stress at both stages.

Abstract Image

Abstract Image

Abstract Image

盐胁迫对长叶莴苣生理、叶质量和养分积累的影响。
盐胁迫的影响每年都变得越来越普遍,这主要是由于气候变化的影响。无盐水供应有限是水培莴苣生产日益关注的问题。尽管有证据支持盐胁迫引起的品质损失和生理变化,但对长叶莴苣耐盐胁迫的研究有限。本研究探讨了生菜在结花后期和结穗早期对NaCl(0、50、100和150 mM)的耐受性对其生长和营养的影响机制。结果表明,在NaCl浓度增加的两个阶段,鲜质量均降低了76%。研究还发现,在NaCl增加的情况下,碳同化不变,气孔导度降低。盐胁迫莴苣积累了更多的硼和铁,但减少了磷和钙。在盐胁迫下,酚类物质和糖呈线性增加,表明生菜在两个阶段都对氧化胁迫有响应。盐处理与钠钾离子比呈正相关,表明生菜在两个阶段对盐胁迫都敏感。
本文章由计算机程序翻译,如有差异,请以英文原文为准。
求助全文
约1分钟内获得全文 求助全文
来源期刊
Photosynthetica
Photosynthetica 生物-植物科学
CiteScore
5.60
自引率
7.40%
发文量
55
审稿时长
3.8 months
期刊介绍: Photosynthetica publishes original scientific papers and brief communications, reviews on specialized topics, book reviews and announcements and reports covering wide range of photosynthesis research or research including photosynthetic parameters of both experimental and theoretical nature and dealing with physiology, biophysics, biochemistry, molecular biology on one side and leaf optics, stress physiology and ecology of photosynthesis on the other side. The language of journal is English (British or American). Papers should not be published or under consideration for publication elsewhere.
×
引用
GB/T 7714-2015
复制
MLA
复制
APA
复制
导出至
BibTeX EndNote RefMan NoteFirst NoteExpress
×
提示
您的信息不完整,为了账户安全,请先补充。
现在去补充
×
提示
您因"违规操作"
具体请查看互助需知
我知道了
×
提示
确定
请完成安全验证×
copy
已复制链接
快去分享给好友吧!
我知道了
右上角分享
点击右上角分享
0
联系我们:info@booksci.cn Book学术提供免费学术资源搜索服务,方便国内外学者检索中英文文献。致力于提供最便捷和优质的服务体验。 Copyright © 2023 布克学术 All rights reserved.
京ICP备2023020795号-1
ghs 京公网安备 11010802042870号
Book学术文献互助
Book学术文献互助群
群 号:604180095
Book学术官方微信