Combination of leucine-rich alpha-2 glycoprotein and fecal markers detect Crohn's disease activity confirmed by balloon-assisted enteroscopy.

IF 3.9 Q2 GASTROENTEROLOGY & HEPATOLOGY
Intestinal Research Pub Date : 2024-01-01 Epub Date: 2023-11-09 DOI:10.5217/ir.2023.00092
Ami Kawamoto, Kento Takenaka, Shuji Hibiya, Yoshio Kitazume, Hiromichi Shimizu, Toshimitsu Fujii, Eiko Saito, Kazuo Ohtsuka, Ryuichi Okamoto
{"title":"Combination of leucine-rich alpha-2 glycoprotein and fecal markers detect Crohn's disease activity confirmed by balloon-assisted enteroscopy.","authors":"Ami Kawamoto, Kento Takenaka, Shuji Hibiya, Yoshio Kitazume, Hiromichi Shimizu, Toshimitsu Fujii, Eiko Saito, Kazuo Ohtsuka, Ryuichi Okamoto","doi":"10.5217/ir.2023.00092","DOIUrl":null,"url":null,"abstract":"<p><strong>Background/aims: </strong>Endoscopic activity confirmed by enteroscopy is associated with poor clinical outcome in Crohn's disease (CD). We investigated which of the existing biomarkers best reflects endoscopic activity in CD patients including the small bowel, and whether their combined use can improve accuracy.</p><p><strong>Methods: </strong>One hundred and four consecutive patients with ileal and ileocolonic type CD who underwent balloon-assisted enteroscopy (BAE) from October 2021 to August 2022 were enrolled, with clinical and laboratory data prospectively collected and analyzed.</p><p><strong>Results: </strong>Hemoglobin, platelet count, C-reactive protein, leucine-rich alpha-2 glycoprotein (LRG), fecal calprotectin, and fecal hemoglobin all showed significant difference in those with ulcers found on BAE. LRG and fecal calprotectin showed the highest areas under the curve (0.841 and 0.853) for detecting ulcers. LRG showed a sensitivity of 78% and specificity of 80% at a cutoff value of 13 μg/mL, whereas fecal calprotectin showed a sensitivity of 91% and specificity of 67% at a cutoff value of 151 μg/g. Dual positivity for LRG and fecal calprotectin, as well as LRG and fecal hemoglobin, both predicted ulcers with an improved specificity of 92% and 100%. A positive LRG or fecal calprotectin/hemoglobin showed an improved sensitivity of 96% and 91%. Positivity for LRG and either of the fecal biomarkers was associated with increased risk of hospitalization, surgery, and relapse.</p><p><strong>Conclusions: </strong>The biomarkers LRG, fecal calprotectin, and fecal hemoglobin can serve as noninvasive and accurate tools for assessing activity in CD patients confirmed by BAE, especially when used in combination.</p>","PeriodicalId":14481,"journal":{"name":"Intestinal Research","volume":" ","pages":"65-74"},"PeriodicalIF":3.9000,"publicationDate":"2024-01-01","publicationTypes":"Journal Article","fieldsOfStudy":null,"isOpenAccess":false,"openAccessPdf":"https://www.ncbi.nlm.nih.gov/pmc/articles/PMC10850704/pdf/","citationCount":"0","resultStr":null,"platform":"Semanticscholar","paperid":null,"PeriodicalName":"Intestinal Research","FirstCategoryId":"1085","ListUrlMain":"https://doi.org/10.5217/ir.2023.00092","RegionNum":0,"RegionCategory":null,"ArticlePicture":[],"TitleCN":null,"AbstractTextCN":null,"PMCID":null,"EPubDate":"2023/11/9 0:00:00","PubModel":"Epub","JCR":"Q2","JCRName":"GASTROENTEROLOGY & HEPATOLOGY","Score":null,"Total":0}
引用次数: 0

Abstract

Background/aims: Endoscopic activity confirmed by enteroscopy is associated with poor clinical outcome in Crohn's disease (CD). We investigated which of the existing biomarkers best reflects endoscopic activity in CD patients including the small bowel, and whether their combined use can improve accuracy.

Methods: One hundred and four consecutive patients with ileal and ileocolonic type CD who underwent balloon-assisted enteroscopy (BAE) from October 2021 to August 2022 were enrolled, with clinical and laboratory data prospectively collected and analyzed.

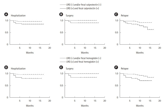
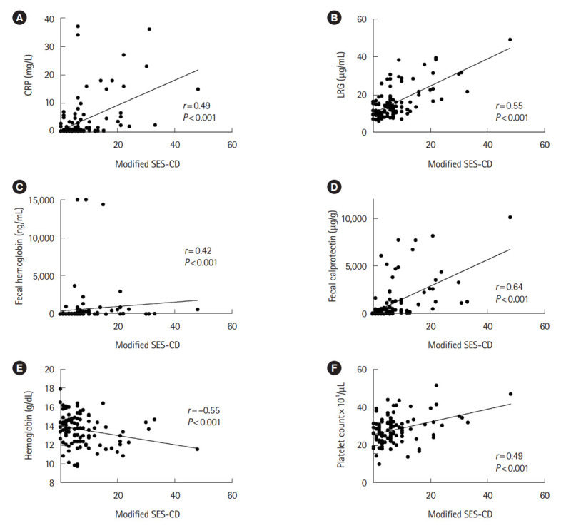
Results: Hemoglobin, platelet count, C-reactive protein, leucine-rich alpha-2 glycoprotein (LRG), fecal calprotectin, and fecal hemoglobin all showed significant difference in those with ulcers found on BAE. LRG and fecal calprotectin showed the highest areas under the curve (0.841 and 0.853) for detecting ulcers. LRG showed a sensitivity of 78% and specificity of 80% at a cutoff value of 13 μg/mL, whereas fecal calprotectin showed a sensitivity of 91% and specificity of 67% at a cutoff value of 151 μg/g. Dual positivity for LRG and fecal calprotectin, as well as LRG and fecal hemoglobin, both predicted ulcers with an improved specificity of 92% and 100%. A positive LRG or fecal calprotectin/hemoglobin showed an improved sensitivity of 96% and 91%. Positivity for LRG and either of the fecal biomarkers was associated with increased risk of hospitalization, surgery, and relapse.

Conclusions: The biomarkers LRG, fecal calprotectin, and fecal hemoglobin can serve as noninvasive and accurate tools for assessing activity in CD patients confirmed by BAE, especially when used in combination.

Abstract Image

Abstract Image

Abstract Image

富含亮氨酸的α-2糖蛋白和粪便标志物的组合检测通过球囊辅助肠镜检查证实的克罗恩病活性。
背景/目的:经肠镜检查证实的内镜活动与克罗恩病(CD)的不良临床结果有关。我们研究了哪些现有的生物标志物最能反映CD患者(包括小肠)的内镜活动,以及它们的联合使用是否能提高准确性。方法:纳入2021年10月至2022年8月接受球囊辅助肠镜检查(BAE)的回肠和回肠结肠型CD患者104例,前瞻性收集和分析临床和实验室数据。结果:血红蛋白、血小板计数、C反应蛋白、富含亮氨酸的α-2糖蛋白(LRG)、粪便钙卫蛋白和粪便血红蛋白在BAE发现的溃疡患者中均显示出显著差异。LRG和粪便钙卫蛋白检测溃疡的曲线下面积最高(0.841和0.853)。LRG在13μg/mL的临界值下显示出78%的敏感性和80%的特异性,而粪便钙卫蛋白在151μg/g的临界值上显示出91%的敏感性和67%的特异性。LRG和粪便钙卫蛋白以及LRG和粪血红蛋白的双重阳性均预测溃疡,特异性分别提高了92%和100%。LRG或粪便钙卫蛋白/血红蛋白阳性显示灵敏度分别提高了96%和91%。LRG和任一粪便生物标志物的阳性与住院、手术和复发的风险增加有关。结论:生物标志物LRG、粪便钙卫蛋白和粪便血红蛋白可作为非侵入性和准确的工具,用于评估BAE确诊的CD患者的活性,尤其是在联合使用时。
本文章由计算机程序翻译,如有差异,请以英文原文为准。
求助全文
约1分钟内获得全文 求助全文
来源期刊
Intestinal Research
Intestinal Research GASTROENTEROLOGY & HEPATOLOGY-
CiteScore
7.40
自引率
10.20%
发文量
69
审稿时长
38 weeks
期刊介绍: Intestinal Research (Intest Res) is the joint official publication of the Asian Organization for Crohn''s and Colitis (AOCC), Chinese Society of IBD (CSIBD), Japanese Society for IBD (JSIBD), Korean Association for the Study of Intestinal Diseases (KASID), Taiwan Society of IBD (TSIBD) and Colitis Crohn''s Foundation (India) (CCF, india). The aim of the Journal is to provide broad and in-depth analysis of intestinal diseases, especially inflammatory bowel disease, which shows increasing tendency and significance. As a Journal specialized in clinical and translational research in gastroenterology, it encompasses multiple aspects of diseases originated from the small and large intestines. The Journal also seeks to propagate and exchange useful innovations, both in ideas and in practice, within the research community. As a mode of scholarly communication, it encourages scientific investigation through the rigorous peer-review system and constitutes a qualified and continual platform for sharing studies of researchers and practitioners. Specifically, the Journal presents up-to-date coverage of medical researches on the physiology, epidemiology, pathophysiology, clinical presentations, and therapeutic interventions of the intestinal diseases. General topics of interest include inflammatory bowel disease, colon and small intestine cancer or polyp, endoscopy, irritable bowel syndrome and other motility disorders, infectious enterocolitis, intestinal tuberculosis, and so forth. The Journal publishes diverse types of academic materials such as editorials, clinical and basic reviews, original articles, case reports, letters to the editor, brief communications, perspective, statement or commentary, and images that are useful to clinicians and researchers.
×
引用
GB/T 7714-2015
复制
MLA
复制
APA
复制
导出至
BibTeX EndNote RefMan NoteFirst NoteExpress
×
提示
您的信息不完整,为了账户安全,请先补充。
现在去补充
×
提示
您因"违规操作"
具体请查看互助需知
我知道了
×
提示
确定
请完成安全验证×
copy
已复制链接
快去分享给好友吧!
我知道了
右上角分享
点击右上角分享
0
联系我们:info@booksci.cn Book学术提供免费学术资源搜索服务,方便国内外学者检索中英文文献。致力于提供最便捷和优质的服务体验。 Copyright © 2023 布克学术 All rights reserved.
京ICP备2023020795号-1
ghs 京公网安备 11010802042870号
Book学术文献互助
Book学术文献互助群
群 号:604180095
Book学术官方微信