Pan-Immune-Inflammatory Value Predicts the 3 Months Outcome in Acute Ischemic Stroke Patients after Intravenous Thrombolysis.

IF 1.7
Shan Wang, Lulu Zhang, Huan Qi, Lulu Zhang F, Qi Fang, Lanfeng Qiu
{"title":"Pan-Immune-Inflammatory Value Predicts the 3 Months Outcome in Acute Ischemic Stroke Patients after Intravenous Thrombolysis.","authors":"Shan Wang, Lulu Zhang, Huan Qi, Lulu Zhang F, Qi Fang, Lanfeng Qiu","doi":"10.2174/0115672026276427231024045957","DOIUrl":null,"url":null,"abstract":"<p><strong>Background and purpose: </strong>Immune and inflammatory response plays a central role in the clinical outcomes of stroke. This study is aimed to explore the clinical significance of the new inflammation index named pan-immune-inflammation value (PIV) in patients with acute ischemic stroke (AIS) after intravenous thrombolysis therapy (IVT).</p><p><strong>Methods: </strong>Data were collected from 717 patients who received IVT at the First Affiliated Hospital of Soochow University. Baseline data were collected before intravenous thrombolysis. Multivariate logistic regression analysis was used to assess the association between PIV and 3 months clinical outcome after intravenous thrombolysis. We also used receiver operating characteristic (ROC) curves analysis to assess the discriminative ability of PIV, platelet to lymphocyte ratio (PLR), neutrophil to lymphocyte ratio (NLR), and systemic immune-inflammation index (SII) in predicting 3 months poor outcome.</p><p><strong>Results: </strong>Of 717 patients, 182 (25.4%) patients had poor outcomes at 3 months. Patients with 3 months of poor outcome had significantly higher PIV levels compared to those with favorable outcomes [316.32 (187.42-585.67) vs. 223.80 (131.76-394.97), p < 0.001)]. After adjusting for potential confounders, the risk of 3 months of poor outcome was significantly higher among patients whose PIV fell in the third quartile (244.21-434.49) and the fourth quartile (> 434.49) than those in the first quartile (< 139.93) (OR = 1.905, 95% CI: 1.040-3.489; OR = 2.229, 95%CI: 1.229-4.044). The area under the ROC curve of PIV to predict 3 months of poor outcome was 0.607 (95%CI: 0.560-0.654; p < 0.001). The optimal cut-off values of PIV were 283.84 (59% sensitivity and 62% specificity).</p><p><strong>Conclusion: </strong>The higher levels of PIV were independently associated with 3 months of poor outcomes in AIS patients receiving IVT. PIV like other inflammatory factors (PLR, NLR, and SII), can also predict adverse outcomes after IVT in AIS patients.</p>","PeriodicalId":93965,"journal":{"name":"Current neurovascular research","volume":" ","pages":"464-471"},"PeriodicalIF":1.7000,"publicationDate":"2023-01-01","publicationTypes":"Journal Article","fieldsOfStudy":null,"isOpenAccess":false,"openAccessPdf":"https://www.ncbi.nlm.nih.gov/pmc/articles/PMC10825792/pdf/","citationCount":"0","resultStr":null,"platform":"Semanticscholar","paperid":null,"PeriodicalName":"Current neurovascular research","FirstCategoryId":"1085","ListUrlMain":"https://doi.org/10.2174/0115672026276427231024045957","RegionNum":0,"RegionCategory":null,"ArticlePicture":[],"TitleCN":null,"AbstractTextCN":null,"PMCID":null,"EPubDate":"","PubModel":"","JCR":"","JCRName":"","Score":null,"Total":0}
引用次数: 0

Abstract

Background and purpose: Immune and inflammatory response plays a central role in the clinical outcomes of stroke. This study is aimed to explore the clinical significance of the new inflammation index named pan-immune-inflammation value (PIV) in patients with acute ischemic stroke (AIS) after intravenous thrombolysis therapy (IVT).

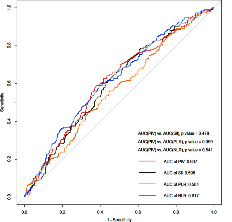
Methods: Data were collected from 717 patients who received IVT at the First Affiliated Hospital of Soochow University. Baseline data were collected before intravenous thrombolysis. Multivariate logistic regression analysis was used to assess the association between PIV and 3 months clinical outcome after intravenous thrombolysis. We also used receiver operating characteristic (ROC) curves analysis to assess the discriminative ability of PIV, platelet to lymphocyte ratio (PLR), neutrophil to lymphocyte ratio (NLR), and systemic immune-inflammation index (SII) in predicting 3 months poor outcome.

Results: Of 717 patients, 182 (25.4%) patients had poor outcomes at 3 months. Patients with 3 months of poor outcome had significantly higher PIV levels compared to those with favorable outcomes [316.32 (187.42-585.67) vs. 223.80 (131.76-394.97), p < 0.001)]. After adjusting for potential confounders, the risk of 3 months of poor outcome was significantly higher among patients whose PIV fell in the third quartile (244.21-434.49) and the fourth quartile (> 434.49) than those in the first quartile (< 139.93) (OR = 1.905, 95% CI: 1.040-3.489; OR = 2.229, 95%CI: 1.229-4.044). The area under the ROC curve of PIV to predict 3 months of poor outcome was 0.607 (95%CI: 0.560-0.654; p < 0.001). The optimal cut-off values of PIV were 283.84 (59% sensitivity and 62% specificity).

Conclusion: The higher levels of PIV were independently associated with 3 months of poor outcomes in AIS patients receiving IVT. PIV like other inflammatory factors (PLR, NLR, and SII), can also predict adverse outcomes after IVT in AIS patients.

Abstract Image

Abstract Image

Abstract Image

泛免疫炎症值预测急性缺血性卒中患者静脉溶栓后3个月的结果。
背景和目的:免疫和炎症反应在脑卒中的临床结果中起着核心作用。本研究旨在探讨新的炎症指标泛免疫炎症值(PIV)在急性缺血性脑卒中(AIS)患者静脉溶栓治疗(IVT)后的临床意义。在静脉溶栓前收集基线数据。多变量逻辑回归分析用于评估PIV与静脉溶栓后3个月临床结果之间的相关性。我们还使用受试者操作特征(ROC)曲线分析来评估PIV、血小板与淋巴细胞比率(PLR)、中性粒细胞与淋巴细胞比率和全身免疫炎症指数(SII)在预测3个月不良结局方面的辨别能力。结果:717名患者中,182名(25.4%)患者在3个月时出现不良结果。与预后良好的患者相比,3个月预后不良的患者的PIV水平显著更高[331.32(187.42-585.67)vs.223.80(131.76-394.97),p<0.001)。在调整了潜在的混杂因素后,PIV下降在第三个四分位数(244.21-434.49)和第四个四分位位数(>434.49)的患者出现3个月不良预后的风险显著更高与第一个四分位数的患者相比(<139.93)(OR=1.905,95%CI:1.040-3.489;OR=2.229,95%CI:1.229-4.044)。PIV ROC曲线下预测3个月不良结果的面积为0.607(95%CI:0.560-0.653;p<0.001)接受IVT的AIS患者的结果。PIV和其他炎症因子(PLR、NLR和SII)一样,也可以预测AIS患者IVT后的不良结果。
本文章由计算机程序翻译,如有差异,请以英文原文为准。
求助全文
约1分钟内获得全文 求助全文
来源期刊
自引率
0.00%
发文量
0
×
引用
GB/T 7714-2015
复制
MLA
复制
APA
复制
导出至
BibTeX EndNote RefMan NoteFirst NoteExpress
×
提示
您的信息不完整,为了账户安全,请先补充。
现在去补充
×
提示
您因"违规操作"
具体请查看互助需知
我知道了
×
提示
确定
请完成安全验证×
copy
已复制链接
快去分享给好友吧!
我知道了
右上角分享
点击右上角分享
0
联系我们:info@booksci.cn Book学术提供免费学术资源搜索服务,方便国内外学者检索中英文文献。致力于提供最便捷和优质的服务体验。 Copyright © 2023 布克学术 All rights reserved.
京ICP备2023020795号-1
ghs 京公网安备 11010802042870号
Book学术文献互助
Book学术文献互助群
群 号:604180095
Book学术官方微信