Total Arterial Revascularization: Evaluating the Length of the Radial Artery in a Composite Graft Configuration.

IF 1.3
Jasmin H Shahinian, Harry Lappiere, Juan Grau, David Glineur
{"title":"Total Arterial Revascularization: Evaluating the Length of the Radial Artery in a Composite Graft Configuration.","authors":"Jasmin H Shahinian, Harry Lappiere, Juan Grau, David Glineur","doi":"10.5761/atcs.oa.23-00084","DOIUrl":null,"url":null,"abstract":"<p><strong>Purpose: </strong>Reimplanting the radial artery in the left internal thoracic artery as a composite graft allows total arterial revascularization (TAR) without aortic manipulation. The limitation of this strategy is the length of the radial artery required to reach distal right coronary artery (RCA) branches. Our analysis focuses on the feasibility of this strategy.</p><p><strong>Methods: </strong>A total of 169 patients underwent TAR using the radial artery in a composite grafting configuration. Length of the radial artery, number of sequential anastomoses, heart size, target location, length of the arm, patient height, body surface area, and flow in the composite graft were prospectively collected.</p><p><strong>Results: </strong>The mean length of the radial artery was 18.02 cm. Patients with a mean length of the radial artery of 15.9 cm needed an extension of the radial artery with another conduit to reach the RCA distal branches. When T-configuration is used, the length of the radial artery should be 0.53 cm per sequential anastomosis to reach the RCA distal branches.</p><p><strong>Conclusions: </strong>Our study shows that an average length of 18.02 cm of radial artery is needed to reach targets on the RCA distal branches in composite grafting. In T-configuration, we need 0.53 cm more length per anastomosis to achieve TAR.</p>","PeriodicalId":93877,"journal":{"name":"Annals of thoracic and cardiovascular surgery : official journal of the Association of Thoracic and Cardiovascular Surgeons of Asia","volume":" ","pages":""},"PeriodicalIF":1.3000,"publicationDate":"2024-01-26","publicationTypes":"Journal Article","fieldsOfStudy":null,"isOpenAccess":false,"openAccessPdf":"https://www.ncbi.nlm.nih.gov/pmc/articles/PMC10902649/pdf/","citationCount":"0","resultStr":null,"platform":"Semanticscholar","paperid":null,"PeriodicalName":"Annals of thoracic and cardiovascular surgery : official journal of the Association of Thoracic and Cardiovascular Surgeons of Asia","FirstCategoryId":"1085","ListUrlMain":"https://doi.org/10.5761/atcs.oa.23-00084","RegionNum":0,"RegionCategory":null,"ArticlePicture":[],"TitleCN":null,"AbstractTextCN":null,"PMCID":null,"EPubDate":"2023/10/28 0:00:00","PubModel":"Epub","JCR":"","JCRName":"","Score":null,"Total":0}
引用次数: 0

Abstract

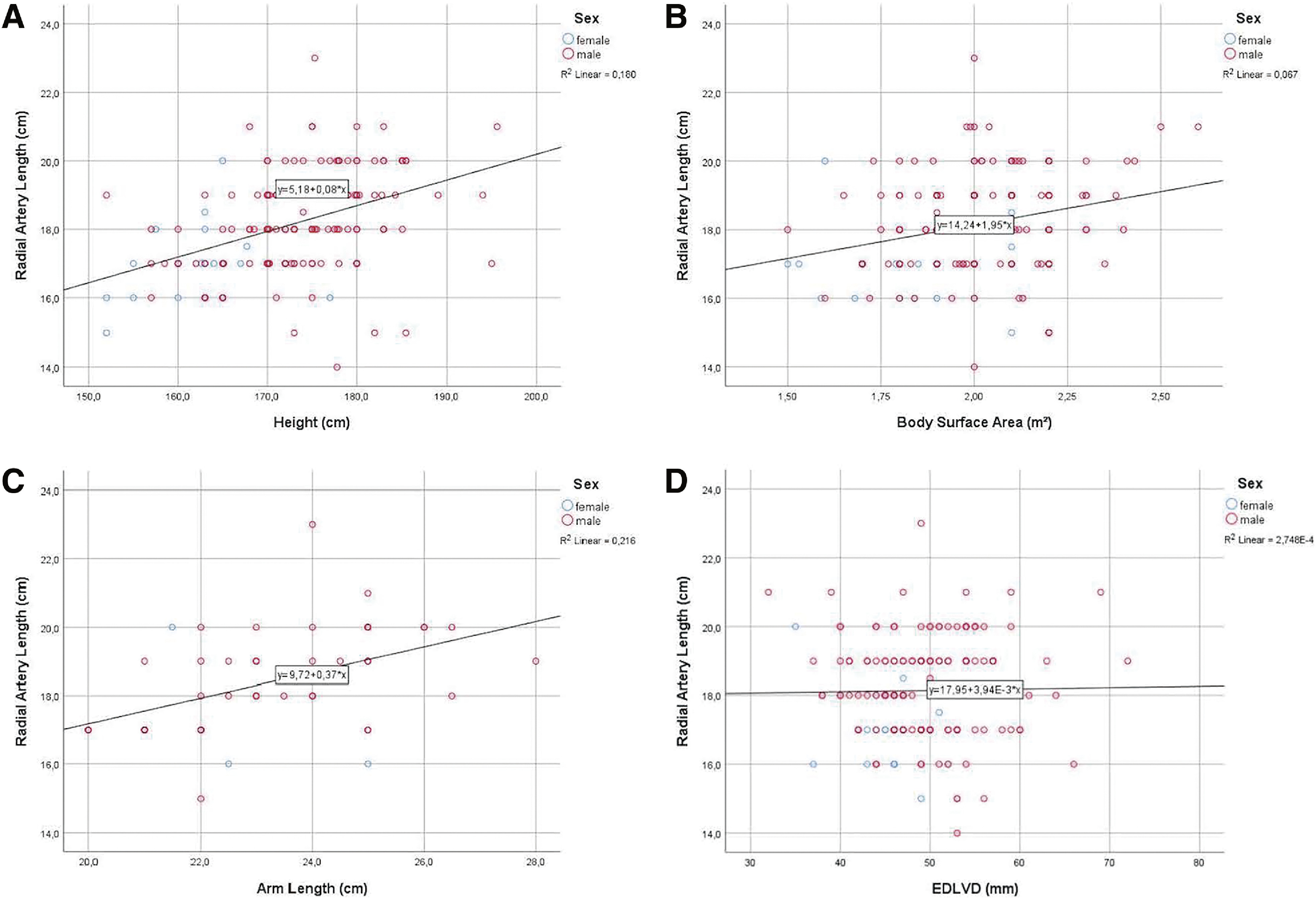
Purpose: Reimplanting the radial artery in the left internal thoracic artery as a composite graft allows total arterial revascularization (TAR) without aortic manipulation. The limitation of this strategy is the length of the radial artery required to reach distal right coronary artery (RCA) branches. Our analysis focuses on the feasibility of this strategy.

Methods: A total of 169 patients underwent TAR using the radial artery in a composite grafting configuration. Length of the radial artery, number of sequential anastomoses, heart size, target location, length of the arm, patient height, body surface area, and flow in the composite graft were prospectively collected.

Results: The mean length of the radial artery was 18.02 cm. Patients with a mean length of the radial artery of 15.9 cm needed an extension of the radial artery with another conduit to reach the RCA distal branches. When T-configuration is used, the length of the radial artery should be 0.53 cm per sequential anastomosis to reach the RCA distal branches.

Conclusions: Our study shows that an average length of 18.02 cm of radial artery is needed to reach targets on the RCA distal branches in composite grafting. In T-configuration, we need 0.53 cm more length per anastomosis to achieve TAR.

Abstract Image

Abstract Image

Abstract Image

全动脉血运重建:评估复合移植物配置中桡动脉的长度。
目的:将左胸内动脉的桡动脉作为复合移植物重新植入,可以在没有主动脉操作的情况下进行全动脉血运重建(TAR)。这种策略的局限性在于到达右冠状动脉(RCA)远端分支所需的桡动脉的长度。我们的分析重点是这一战略的可行性。方法:共有169名患者采用复合移植配置的桡动脉进行TAR。前瞻性收集桡动脉长度、顺序吻合次数、心脏大小、目标位置、手臂长度、患者身高、体表面积和复合移植物中的流量。结果:桡动脉的平均长度为18.02cm。桡动脉平均长度为15.9cm的患者需要用另一根导管延长桡动脉以到达RCA远端分支。当使用T-配置时,每次顺序吻合的桡动脉长度应为0.53cm,以到达RCA远端分支。结论:我们的研究表明,在复合移植中,平均需要18.02cm的桡动脉长度才能到达RCA远端分支上的目标。在T-构型中,我们需要每次吻合增加0.53cm的长度才能实现TAR。
本文章由计算机程序翻译,如有差异,请以英文原文为准。
求助全文
约1分钟内获得全文 求助全文
来源期刊
自引率
0.00%
发文量
0
×
引用
GB/T 7714-2015
复制
MLA
复制
APA
复制
导出至
BibTeX EndNote RefMan NoteFirst NoteExpress
×
提示
您的信息不完整,为了账户安全,请先补充。
现在去补充
×
提示
您因"违规操作"
具体请查看互助需知
我知道了
×
提示
确定
请完成安全验证×
copy
已复制链接
快去分享给好友吧!
我知道了
右上角分享
点击右上角分享
0
联系我们:info@booksci.cn Book学术提供免费学术资源搜索服务,方便国内外学者检索中英文文献。致力于提供最便捷和优质的服务体验。 Copyright © 2023 布克学术 All rights reserved.
京ICP备2023020795号-1
ghs 京公网安备 11010802042870号
Book学术文献互助
Book学术文献互助群
群 号:604180095
Book学术官方微信