Mutagenic effects of nitrogen protoxide and oryzalin on "41 B" and "Fercal" grapevine rootstocks seedlings.

IF 2.2 4区 农林科学 Q2 AGRONOMY
Breeding Science Pub Date : 2023-09-01 Epub Date: 2023-09-09 DOI:10.1270/jsbbs.23003
Zeki Kara, Osman Doğan
{"title":"Mutagenic effects of nitrogen protoxide and oryzalin on \"41 B\" and \"Fercal\" grapevine rootstocks seedlings.","authors":"Zeki Kara, Osman Doğan","doi":"10.1270/jsbbs.23003","DOIUrl":null,"url":null,"abstract":"<p><p>In this study, the mutagenic effects of different doses and exposure times of oryzalin and Nitrogen Protoxide (N<sub>2</sub>O) were tested for stimulating polyploid on 41 B and Fercal grapevine rootstocks seedlings. Ploidy changes were examined by morphological, cytological, macroscopic, and microscopic methods. Leaf thickness, chlorophyll contents, stomatal sizes, and chloroplast numbers of polyploid seedlings stimulated with mutagens increased but their stomatal densities decreased. Flow cytometry (FC) analyses were performed on 50 samples selected by morphological and microscopic preliminary determinations. In FC analyses, 1 tetraploid seedling and 4 mixoploid seedlings from Fercal offspring and 1 mixoploid seedling from 41 B offspring were verified. The nuclear DNA content of tetraploid and mixoploid seedlings were increased by 2.00 and 1.34-fold, respectively, when compared to their diploid parents. Chromosome counts in root tip samples propagated <i>in vitro</i> from the tetraploid Fercal offspring confirmed a 2-fold increase compared to the diploid parent. In polyploidy induction studies, it was deemed appropriate to use FC analysis and chromosome count together to confirm the ploidy levels of mutants. Oryzalin and N<sub>2</sub>O applications at different doses and exposure times were found to be effective for inducing polyploidy in 41 B and Fercal grapevine rootstocks.</p>","PeriodicalId":9258,"journal":{"name":"Breeding Science","volume":"1 1","pages":"355-364"},"PeriodicalIF":2.2000,"publicationDate":"2023-09-01","publicationTypes":"Journal Article","fieldsOfStudy":null,"isOpenAccess":false,"openAccessPdf":"https://www.ncbi.nlm.nih.gov/pmc/articles/PMC10722092/pdf/","citationCount":"0","resultStr":null,"platform":"Semanticscholar","paperid":null,"PeriodicalName":"Breeding Science","FirstCategoryId":"97","ListUrlMain":"https://doi.org/10.1270/jsbbs.23003","RegionNum":4,"RegionCategory":"农林科学","ArticlePicture":[],"TitleCN":null,"AbstractTextCN":null,"PMCID":null,"EPubDate":"2023/9/9 0:00:00","PubModel":"Epub","JCR":"Q2","JCRName":"AGRONOMY","Score":null,"Total":0}
引用次数: 0

Abstract

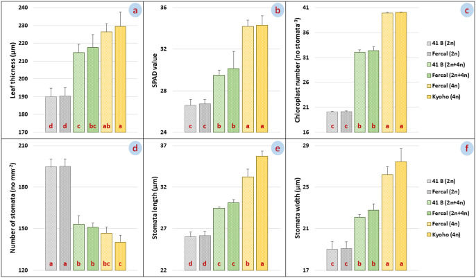
In this study, the mutagenic effects of different doses and exposure times of oryzalin and Nitrogen Protoxide (N2O) were tested for stimulating polyploid on 41 B and Fercal grapevine rootstocks seedlings. Ploidy changes were examined by morphological, cytological, macroscopic, and microscopic methods. Leaf thickness, chlorophyll contents, stomatal sizes, and chloroplast numbers of polyploid seedlings stimulated with mutagens increased but their stomatal densities decreased. Flow cytometry (FC) analyses were performed on 50 samples selected by morphological and microscopic preliminary determinations. In FC analyses, 1 tetraploid seedling and 4 mixoploid seedlings from Fercal offspring and 1 mixoploid seedling from 41 B offspring were verified. The nuclear DNA content of tetraploid and mixoploid seedlings were increased by 2.00 and 1.34-fold, respectively, when compared to their diploid parents. Chromosome counts in root tip samples propagated in vitro from the tetraploid Fercal offspring confirmed a 2-fold increase compared to the diploid parent. In polyploidy induction studies, it was deemed appropriate to use FC analysis and chromosome count together to confirm the ploidy levels of mutants. Oryzalin and N2O applications at different doses and exposure times were found to be effective for inducing polyploidy in 41 B and Fercal grapevine rootstocks.

Abstract Image

Abstract Image

Abstract Image

原氧化氮和奥利唑啉对 "41 B "和 "Fercal "葡萄砧木幼苗的诱变作用。
本研究测试了不同剂量和暴露时间的橙皮苷和氧化氮(N2O)对 41 B 和 Fercal 葡萄砧木幼苗多倍体的诱变作用。通过形态学、细胞学、宏观和微观方法检测了多倍体的变化。在诱变剂的刺激下,多倍体幼苗的叶片厚度、叶绿素含量、气孔大小和叶绿体数量都有所增加,但气孔密度却有所下降。流式细胞仪(FC)分析是通过形态学和显微镜初步测定选出的 50 个样本进行的。在流式细胞仪分析中,验证了来自 Fercal 后代的 1 株四倍体幼苗和 4 株混合二倍体幼苗,以及来自 41 B 后代的 1 株混合二倍体幼苗。与二倍体亲本相比,四倍体和混倍体幼苗的核 DNA 含量分别增加了 2.00 倍和 1.34 倍。从四倍体 Fercal 后代体外繁殖的根尖样本中进行的染色体计数证实,其染色体含量比二倍体亲本增加了 2 倍。在多倍体诱导研究中,使用 FC 分析和染色体计数来确认突变体的多倍体水平被认为是合适的。在 41 B 和 Fercal 葡萄砧木上施用不同剂量和暴露时间的奥利唑啉和氧化亚氮可有效诱导多倍体。
本文章由计算机程序翻译,如有差异,请以英文原文为准。
求助全文
约1分钟内获得全文 求助全文
来源期刊
Breeding Science
Breeding Science 农林科学-农艺学
CiteScore
4.90
自引率
4.20%
发文量
37
审稿时长
1.5 months
期刊介绍: Breeding Science is published by the Japanese Society of Breeding. Breeding Science publishes research papers, notes and reviews related to breeding. Research Papers are standard original articles. Notes report new cultivars, breeding lines, germplasms, genetic stocks, mapping populations, database, software, and techniques significant and useful for breeding. Reviews summarize recent and historical events related breeding. Manuscripts should be submitted by corresponding author. Corresponding author must have obtained permission from all authors prior to submission. Correspondence, proofs, and charges of excess page and color figures should be handled by the corresponding author.
×
引用
GB/T 7714-2015
复制
MLA
复制
APA
复制
导出至
BibTeX EndNote RefMan NoteFirst NoteExpress
×
提示
您的信息不完整,为了账户安全,请先补充。
现在去补充
×
提示
您因"违规操作"
具体请查看互助需知
我知道了
×
提示
确定
请完成安全验证×
copy
已复制链接
快去分享给好友吧!
我知道了
右上角分享
点击右上角分享
0
联系我们:info@booksci.cn Book学术提供免费学术资源搜索服务,方便国内外学者检索中英文文献。致力于提供最便捷和优质的服务体验。 Copyright © 2023 布克学术 All rights reserved.
京ICP备2023020795号-1
ghs 京公网安备 11010802042870号
Book学术文献互助
Book学术文献互助群
群 号:604180095
Book学术官方微信