Heart rate patterns predicting cerebral palsy in preterm infants

IF 3.1 3区 医学 Q1 PEDIATRICS
Lisa Letzkus, Robin Picavia, Genevieve Lyons, Jackson Brandberg, Jiaxing Qiu, Sherry Kausch, Doug Lake, Karen Fairchild
{"title":"Heart rate patterns predicting cerebral palsy in preterm infants","authors":"Lisa Letzkus, Robin Picavia, Genevieve Lyons, Jackson Brandberg, Jiaxing Qiu, Sherry Kausch, Doug Lake, Karen Fairchild","doi":"10.1038/s41390-023-02853-2","DOIUrl":null,"url":null,"abstract":"Heart rate (HR) patterns can inform on central nervous system dysfunction. We previously used highly comparative time series analysis (HCTSA) to identify HR patterns predicting mortality among patients in the neonatal intensive care unit (NICU) and now use this methodology to discover patterns predicting cerebral palsy (CP) in preterm infants. We studied NICU patients <37 weeks’ gestation with archived every-2-s HR data throughout the NICU stay and with or without later diagnosis of CP (n = 57 CP and 1119 no CP). We performed HCTSA of >2000 HR metrics and identified 24 metrics analyzed on HR data from two 7-day periods: week 1 and 37 weeks’ postmenstrual age (week 1, week 37). Multivariate modeling was used to optimize a parsimonious prediction model. Week 1 HR metrics with maximum AUC for CP prediction reflected low variability, including “RobustSD” (AUC 0.826; 0.772–0.870). At week 37, high values of a novel HR metric, “LongSD3,” the cubed value of the difference in HR values 100 s apart, were added to week 1 HR metrics for CP prediction. A combined birthweight + early and late HR model had AUC 0.853 (0.805–0.892). Using HCTSA, we discovered novel HR metrics and created a parsimonious model for CP prediction in preterm NICU patients.","PeriodicalId":19829,"journal":{"name":"Pediatric Research","volume":"97 3","pages":"1040-1046"},"PeriodicalIF":3.1000,"publicationDate":"2023-10-27","publicationTypes":"Journal Article","fieldsOfStudy":null,"isOpenAccess":false,"openAccessPdf":"","citationCount":"0","resultStr":null,"platform":"Semanticscholar","paperid":null,"PeriodicalName":"Pediatric Research","FirstCategoryId":"3","ListUrlMain":"https://www.nature.com/articles/s41390-023-02853-2","RegionNum":3,"RegionCategory":"医学","ArticlePicture":[],"TitleCN":null,"AbstractTextCN":null,"PMCID":null,"EPubDate":"","PubModel":"","JCR":"Q1","JCRName":"PEDIATRICS","Score":null,"Total":0}
引用次数: 0

Abstract

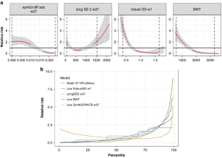
Heart rate (HR) patterns can inform on central nervous system dysfunction. We previously used highly comparative time series analysis (HCTSA) to identify HR patterns predicting mortality among patients in the neonatal intensive care unit (NICU) and now use this methodology to discover patterns predicting cerebral palsy (CP) in preterm infants. We studied NICU patients <37 weeks’ gestation with archived every-2-s HR data throughout the NICU stay and with or without later diagnosis of CP (n = 57 CP and 1119 no CP). We performed HCTSA of >2000 HR metrics and identified 24 metrics analyzed on HR data from two 7-day periods: week 1 and 37 weeks’ postmenstrual age (week 1, week 37). Multivariate modeling was used to optimize a parsimonious prediction model. Week 1 HR metrics with maximum AUC for CP prediction reflected low variability, including “RobustSD” (AUC 0.826; 0.772–0.870). At week 37, high values of a novel HR metric, “LongSD3,” the cubed value of the difference in HR values 100 s apart, were added to week 1 HR metrics for CP prediction. A combined birthweight + early and late HR model had AUC 0.853 (0.805–0.892). Using HCTSA, we discovered novel HR metrics and created a parsimonious model for CP prediction in preterm NICU patients.

Abstract Image

Abstract Image

预测早产儿脑瘫的心率模式。
背景:心率(HR)模式可以反映中枢神经系统功能障碍。我们以前使用高度比较时间序列分析(HCTSA)来确定新生儿重症监护室(NICU)患者预测死亡率的HR模式,现在使用这种方法来发现预测早产儿脑瘫(CP)的模式。方法:我们研究了新生儿重症监护室患者的2000项HR指标,并根据两个7天周期的HR数据确定了24项指标:第1周和第37周月经后年龄(第1周、第37周)。多变量建模用于优化简约预测模型。结果:CP预测的AUC最大的第1周HR指标反映了低变异性,包括“RobustSD”(AUC 0.826;0.772-0.870)。在第37周,新的HR指标“LongSD3”的高值,即HR值差异的立方值100 将除s之外的其他HR指标添加到用于CP预测的第1周HR指标中。出生体重+早期和晚期HR组合模型的AUC为0.853(0.805-0.892)。结论:使用HCTSA,我们发现了新的HR指标,并创建了一个用于早产NICU患者CP预测的简约模型。影响:我们发现了预测早产儿CP的新心率特征。使用两个7天周期的每2秒HR和高度比较的时间序列分析,我们发现了出生后第1周HR的低变异性指标,以及预测CP的足月校正年龄HR的复发性加速模式。临床和早期和晚期HR的联合特征对CP预测的AUC为0.853。
本文章由计算机程序翻译,如有差异,请以英文原文为准。
求助全文
约1分钟内获得全文 求助全文
来源期刊
Pediatric Research
Pediatric Research 医学-小儿科
CiteScore
6.80
自引率
5.60%
发文量
473
审稿时长
3-8 weeks
期刊介绍: Pediatric Research publishes original papers, invited reviews, and commentaries on the etiologies of children''s diseases and disorders of development, extending from molecular biology to epidemiology. Use of model organisms and in vitro techniques relevant to developmental biology and medicine are acceptable, as are translational human studies
×
引用
GB/T 7714-2015
复制
MLA
复制
APA
复制
导出至
BibTeX EndNote RefMan NoteFirst NoteExpress
×
提示
您的信息不完整,为了账户安全,请先补充。
现在去补充
×
提示
您因"违规操作"
具体请查看互助需知
我知道了
×
提示
确定
请完成安全验证×
copy
已复制链接
快去分享给好友吧!
我知道了
右上角分享
点击右上角分享
0
联系我们:info@booksci.cn Book学术提供免费学术资源搜索服务,方便国内外学者检索中英文文献。致力于提供最便捷和优质的服务体验。 Copyright © 2023 布克学术 All rights reserved.
京ICP备2023020795号-1
ghs 京公网安备 11010802042870号
Book学术文献互助
Book学术文献互助群
群 号:604180095
Book学术官方微信