Effect of bamboo shoot dietary fiber on gel properties, microstructure and water distribution of pork meat batters.

IF 2.2 2区 农林科学
Asian-Australasian Journal of Animal Sciences Pub Date : 2020-07-01 Epub Date: 2019-08-26 DOI:10.5713/ajas.19.0215
Ke Li, Jun-Ya Liu, Lei Fu, Ying-Ying Zhao, He Zhu, Yan-Yan Zhang, Hua Zhang, Yan-Hong Bai
{"title":"Effect of bamboo shoot dietary fiber on gel properties, microstructure and water distribution of pork meat batters.","authors":"Ke Li, Jun-Ya Liu, Lei Fu, Ying-Ying Zhao, He Zhu, Yan-Yan Zhang, Hua Zhang, Yan-Hong Bai","doi":"10.5713/ajas.19.0215","DOIUrl":null,"url":null,"abstract":"<p><strong>Objective: </strong>To develop healthier comminuted meat products to meet consumer demand, the gel properties, rheological properties, microstructure and water distribution of pork meat batters formulated with various amounts of bamboo shoot dietary fiber (BSDF) were investigated.</p><p><strong>Methods: </strong>Different levels of BSDF (0% to 4%) were added to pork batters, and the pH, color, water-holding capacity, texture and rheological properties of pork batters were determined. Then, pork batters were analyzed for their microstructure and water distribution using scanning electron microscopy (SEM) and low-field nuclear magnetic resonance (LF-NMR).</p><p><strong>Results: </strong>Compared with the control, BSDF addition into meat batters showed a significant reduction in L*-value and a significant increase in b*-value (p<0.05). BSDF addition of up to 4% reduced the pH value of pork batters by approximately 0.15 units; however, the cooking loss and expressible water loss decreased significantly (p<0.05) with the increased addition of BSDF. The hardness and gel strength were noticeably enhanced (p<0.05) as the content of BSDF increased. The rheological results showed that BSDF added into pork batters produced higher storage modulus (G') and loss modulus (G″) values. The SEM images suggested that the addition of BSDF could promote pork batters to form a more uniform and compact microstructure. The proportion of immobilized water increased significantly (p<0.05), while the population of free water was decreased (p<0.05), indicating that BSDF improved the water-holding capability of pork batters by decreasing the fraction of free water.</p><p><strong>Conclusion: </strong>BSDF could improve the gel properties, rheological properties and water distribution of pork meat batters and decrease the proportion of free water, suggesting that BSDF has great potential as an effective binder in comminuted meat products.</p>","PeriodicalId":8558,"journal":{"name":"Asian-Australasian Journal of Animal Sciences","volume":"33 1","pages":"1180-1190"},"PeriodicalIF":2.2000,"publicationDate":"2020-07-01","publicationTypes":"Journal Article","fieldsOfStudy":null,"isOpenAccess":false,"openAccessPdf":"https://www.ncbi.nlm.nih.gov/pmc/articles/PMC7322660/pdf/","citationCount":"0","resultStr":null,"platform":"Semanticscholar","paperid":null,"PeriodicalName":"Asian-Australasian Journal of Animal Sciences","FirstCategoryId":"1085","ListUrlMain":"https://doi.org/10.5713/ajas.19.0215","RegionNum":2,"RegionCategory":"农林科学","ArticlePicture":[],"TitleCN":null,"AbstractTextCN":null,"PMCID":null,"EPubDate":"2019/8/26 0:00:00","PubModel":"Epub","JCR":"","JCRName":"","Score":null,"Total":0}
引用次数: 0

Abstract

Objective: To develop healthier comminuted meat products to meet consumer demand, the gel properties, rheological properties, microstructure and water distribution of pork meat batters formulated with various amounts of bamboo shoot dietary fiber (BSDF) were investigated.

Methods: Different levels of BSDF (0% to 4%) were added to pork batters, and the pH, color, water-holding capacity, texture and rheological properties of pork batters were determined. Then, pork batters were analyzed for their microstructure and water distribution using scanning electron microscopy (SEM) and low-field nuclear magnetic resonance (LF-NMR).

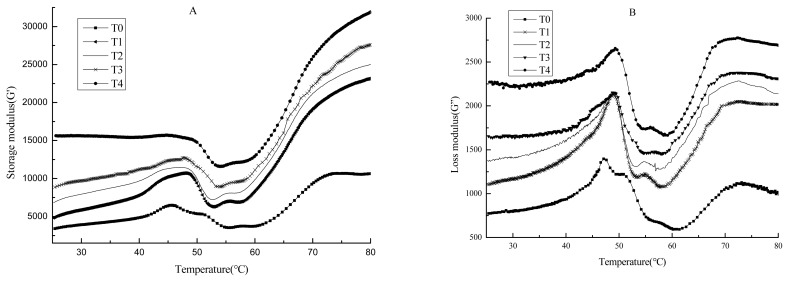
Results: Compared with the control, BSDF addition into meat batters showed a significant reduction in L*-value and a significant increase in b*-value (p<0.05). BSDF addition of up to 4% reduced the pH value of pork batters by approximately 0.15 units; however, the cooking loss and expressible water loss decreased significantly (p<0.05) with the increased addition of BSDF. The hardness and gel strength were noticeably enhanced (p<0.05) as the content of BSDF increased. The rheological results showed that BSDF added into pork batters produced higher storage modulus (G') and loss modulus (G″) values. The SEM images suggested that the addition of BSDF could promote pork batters to form a more uniform and compact microstructure. The proportion of immobilized water increased significantly (p<0.05), while the population of free water was decreased (p<0.05), indicating that BSDF improved the water-holding capability of pork batters by decreasing the fraction of free water.

Conclusion: BSDF could improve the gel properties, rheological properties and water distribution of pork meat batters and decrease the proportion of free water, suggesting that BSDF has great potential as an effective binder in comminuted meat products.

Abstract Image

Abstract Image

Abstract Image

竹笋膳食纤维对肉糜凝胶性能、微观结构和水分分布的影响
目的为了开发更健康的肉糜制品以满足消费者的需求,研究了以不同量的竹笋膳食纤维(BSDF)配制的猪肉肉糜的凝胶性能、流变性能、微观结构和水分分布。方法在肉糜中加入不同浓度(0%~4%)的BSDF,测定肉糜的pH值、色泽、持水性、质地和流变性能。然后,利用扫描电子显微镜(SEM)和低场核磁共振(LF-NMR)分析了猪肉面糊的微观结构和水分分布。结果与对照组相比,BSDF在肉糜中的L*-值显著降低,b*-值明显升高(p<0.05),添加4%的BSDF使肉糜的pH值降低约0.15个单位;随着BSDF添加量的增加,蒸煮损失和可表达水分损失显著降低(p<0.05)。随着BSDF含量的增加,硬度和凝胶强度显著提高(p<0.05)。流变学结果表明,BSDF添加到猪肉面糊中产生了较高的储能模量(G′)和损失模量(G〃)值。SEM图像表明,BSDF的加入可以促进肉糜形成更均匀、更致密的微观结构。固定化水的比例显著增加(p<0.05),而游离水的数量减少(p<0.05)。这表明BSDF通过降低游离水的比例来提高猪肉面糊的保水能力。结论BSDF能改善肉糜的凝胶性能、流变性能和水分分布,降低游离水分的比例,表明BSDF作为一种有效的肉糜粘结剂具有很大的潜力。
本文章由计算机程序翻译,如有差异,请以英文原文为准。
求助全文
约1分钟内获得全文 求助全文
来源期刊
Asian-Australasian Journal of Animal Sciences
Asian-Australasian Journal of Animal Sciences AGRICULTURE, DAIRY & ANIMAL SCIENCE-
自引率
0.00%
发文量
0
审稿时长
3 months
期刊介绍: Asian-Australasian Journal of Animal Sciences (AJAS) aims to publish original and cutting-edge research results and reviews on animal-related aspects of the life sciences. Emphasis will be placed on studies involving farm animals such as cattle, buffaloes, sheep, goats, pigs, horses, and poultry. Studies for the improvement of human health using animal models may also be publishable. AJAS will encompass all areas of animal production and fundamental aspects of animal sciences: breeding and genetics, reproduction and physiology, nutrition, meat and milk science, biotechnology, behavior, welfare, health, and livestock farming systems.
×
引用
GB/T 7714-2015
复制
MLA
复制
APA
复制
导出至
BibTeX EndNote RefMan NoteFirst NoteExpress
×
提示
您的信息不完整,为了账户安全,请先补充。
现在去补充
×
提示
您因"违规操作"
具体请查看互助需知
我知道了
×
提示
确定
请完成安全验证×
copy
已复制链接
快去分享给好友吧!
我知道了
右上角分享
点击右上角分享
0
联系我们:info@booksci.cn Book学术提供免费学术资源搜索服务,方便国内外学者检索中英文文献。致力于提供最便捷和优质的服务体验。 Copyright © 2023 布克学术 All rights reserved.
京ICP备2023020795号-1
ghs 京公网安备 11010802042870号
Book学术文献互助
Book学术文献互助群
群 号:604180095
Book学术官方微信