TRACK & ACT: a pragmatic randomised controlled trial exploring the comparative effectiveness of pedometers and activity trackers for changing physical activity and sedentary behaviour in inactive individuals.

Daniel J Ryan, Megan H Ross, Joshua Simmich, Norman Ng, Nicola W Burton, Nick Gilson, Toby Pavey, Wendy J Brown, Sjaan R Gomersall
{"title":"TRACK & ACT: a pragmatic randomised controlled trial exploring the comparative effectiveness of pedometers and activity trackers for changing physical activity and sedentary behaviour in inactive individuals.","authors":"Daniel J Ryan, Megan H Ross, Joshua Simmich, Norman Ng, Nicola W Burton, Nick Gilson, Toby Pavey, Wendy J Brown, Sjaan R Gomersall","doi":"10.1186/s44167-023-00018-4","DOIUrl":null,"url":null,"abstract":"<p><strong>Background: </strong>Pedometers have been shown to be effective for increasing physical activity, however the potential additional effects of activity trackers, and their added capacity to simultaneously modify sedentary behaviour, has not been thoroughly explored. This study aimed to explore the comparative effectiveness of two activity trackers and a pedometer for improving daily step count and moderate-vigorous physical activity (MVPA), and reducing sedentary behaviour in inactive adults.</p><p><strong>Methods: </strong>48 inactive participants were allocated to one of three groups based on their workplace. Each group randomly received either a Fitbit ONE, Jawbone UP or Digi-Walker SW200 pedometer (PED) for 8-weeks and an orientation session to their respective device. Participants were informed about the study aims and were provided with their respective devices and where applicable, the associated Apps. Participants intentionally received no other active intervention components to simulate as closely as possible the experience of purchasing a device 'off the shelf'. Step count, MVPA and time in sedentary behaviour were measured using accelerometry (Actigraph GT3X+) at baseline and four-, eight- and 16-weeks. Analyses were conducted using linear mixed-effect regression models to compare changes from baseline. Post-hoc tests of model estimates compared each activity tracker group to the pedometer group. Model estimates are reported for baseline-16 week follow-up.</p><p><strong>Results: </strong>At baseline, average (standard deviation) step count, MVPA and time spent sedentary was 6557 (2111) steps/day, 23 (13) minutes/day and 10.3 (1.0) hours/day in the PED group, 7156 (1496) steps/day, 26 (12) minutes/day and 9.3 (1.2) hours/day in the ONE group and 6853 (1281) steps/day, 29 (10) minutes/day and 10.1 (1.0) hours/day in the UP group. At 16-weeks, based on estimates from the linear mixed-effect regression model, the ONE and UP groups increased step count by 129 steps/day (95% CI - 1497, 1754) and 504 steps/day more (95% CI - 1120, 2130), respectively, than the PED group. For MVPA, the ONE and UP groups increased by 2.3 min/day (95% CI - 10.9, 15.4) and 2.7 min/day more (95% CI - 10.5, 15.8), respectively, than the PED group. For sedentary behaviour, the ONE group had 34 min/day more in time spent sedentary than the PED group (95% CI - 35, 104), while the UP group had 53 min/day more in time spent sedentary than the PED group (95% CI - 18, 123).</p><p><strong>Conclusions: </strong>All three groups demonstrated an increase in steps and MVPA, and a decrease in time spent in sedentary behaviour, however there was substantial individual variation in these outcomes indicating considerable uncertainty about the relative effectiveness of activity trackers and pedometers in improving PA and sedentary behaviour. Randomised controlled trials with adequate sample sizes are indicated.</p><p><strong>Trial registration: </strong>ACTRN12623000027617 (retrospectively registered 11/1/2023).</p>","PeriodicalId":73581,"journal":{"name":"Journal of activity, sedentary and sleep behaviors","volume":" ","pages":"12"},"PeriodicalIF":0.0000,"publicationDate":"2023-05-01","publicationTypes":"Journal Article","fieldsOfStudy":null,"isOpenAccess":false,"openAccessPdf":"https://www.ncbi.nlm.nih.gov/pmc/articles/PMC11960358/pdf/","citationCount":"0","resultStr":null,"platform":"Semanticscholar","paperid":null,"PeriodicalName":"Journal of activity, sedentary and sleep behaviors","FirstCategoryId":"1085","ListUrlMain":"https://doi.org/10.1186/s44167-023-00018-4","RegionNum":0,"RegionCategory":null,"ArticlePicture":[],"TitleCN":null,"AbstractTextCN":null,"PMCID":null,"EPubDate":"","PubModel":"","JCR":"","JCRName":"","Score":null,"Total":0}
引用次数: 0

Abstract

Background: Pedometers have been shown to be effective for increasing physical activity, however the potential additional effects of activity trackers, and their added capacity to simultaneously modify sedentary behaviour, has not been thoroughly explored. This study aimed to explore the comparative effectiveness of two activity trackers and a pedometer for improving daily step count and moderate-vigorous physical activity (MVPA), and reducing sedentary behaviour in inactive adults.

Methods: 48 inactive participants were allocated to one of three groups based on their workplace. Each group randomly received either a Fitbit ONE, Jawbone UP or Digi-Walker SW200 pedometer (PED) for 8-weeks and an orientation session to their respective device. Participants were informed about the study aims and were provided with their respective devices and where applicable, the associated Apps. Participants intentionally received no other active intervention components to simulate as closely as possible the experience of purchasing a device 'off the shelf'. Step count, MVPA and time in sedentary behaviour were measured using accelerometry (Actigraph GT3X+) at baseline and four-, eight- and 16-weeks. Analyses were conducted using linear mixed-effect regression models to compare changes from baseline. Post-hoc tests of model estimates compared each activity tracker group to the pedometer group. Model estimates are reported for baseline-16 week follow-up.

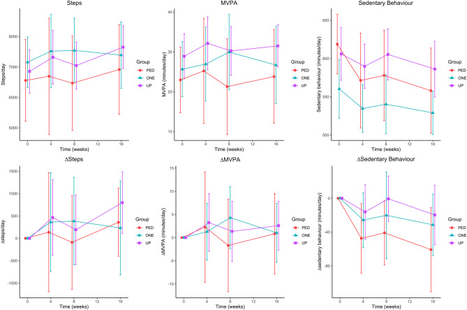
Results: At baseline, average (standard deviation) step count, MVPA and time spent sedentary was 6557 (2111) steps/day, 23 (13) minutes/day and 10.3 (1.0) hours/day in the PED group, 7156 (1496) steps/day, 26 (12) minutes/day and 9.3 (1.2) hours/day in the ONE group and 6853 (1281) steps/day, 29 (10) minutes/day and 10.1 (1.0) hours/day in the UP group. At 16-weeks, based on estimates from the linear mixed-effect regression model, the ONE and UP groups increased step count by 129 steps/day (95% CI - 1497, 1754) and 504 steps/day more (95% CI - 1120, 2130), respectively, than the PED group. For MVPA, the ONE and UP groups increased by 2.3 min/day (95% CI - 10.9, 15.4) and 2.7 min/day more (95% CI - 10.5, 15.8), respectively, than the PED group. For sedentary behaviour, the ONE group had 34 min/day more in time spent sedentary than the PED group (95% CI - 35, 104), while the UP group had 53 min/day more in time spent sedentary than the PED group (95% CI - 18, 123).

Conclusions: All three groups demonstrated an increase in steps and MVPA, and a decrease in time spent in sedentary behaviour, however there was substantial individual variation in these outcomes indicating considerable uncertainty about the relative effectiveness of activity trackers and pedometers in improving PA and sedentary behaviour. Randomised controlled trials with adequate sample sizes are indicated.

Trial registration: ACTRN12623000027617 (retrospectively registered 11/1/2023).

Abstract Image

Abstract Image

Abstract Image

TRACK&ACT:一项实用的随机对照试验,探讨计步器和活动追踪器对不活动个体改变体力活动和久坐行为的比较有效性
背景:计步器已被证明对增加身体活动是有效的,然而,活动追踪器的潜在额外影响,以及它们同时改变久坐行为的额外能力,尚未得到彻底的探索。本研究旨在探讨两种活动追踪器和计步器在改善日常步数和中等强度身体活动(MVPA)以及减少不运动成年人久坐行为方面的比较效果。方法:48名不运动的参与者根据工作场所分为三组。每组随机收到Fitbit ONE、Jawbone UP或Digi-Walker SW200计步器(PED),使用时间为8周,并接受各自设备的培训。参与者被告知研究目的,并提供了各自的设备和相关的应用程序(如果适用)。参与者故意不接受其他主动干预组件,以尽可能地模拟购买“现成”设备的体验。在基线和第4周、第8周和第16周使用加速度计(Actigraph GT3X+)测量步数、MVPA和久坐行为时间。使用线性混合效应回归模型进行分析,比较基线的变化。模型估计的事后检验比较了每个活动跟踪器组和计步器组。报告基线-16周随访的模型估计值。结果:在基线时,PED组的平均(标准差)步数、MVPA和久坐时间分别为6557(2111)步/天、23(13)分钟/天和10.3(1.0)小时/天,ONE组为7156(1496)步/天、26(12)分钟/天和9.3(1.2)小时/天,UP组为6853(1281)步/天、29(10)分钟/天和10.1(1.0)小时/天。在16周时,根据线性混合效应回归模型的估计,ONE组和UP组比PED组分别增加了129步/天(95% CI - 1497, 1754)和504步/天(95% CI - 1120, 2130)。对于MVPA, ONE组和UP组分别比PED组增加2.3分钟/天(95% CI - 10.9, 15.4)和2.7分钟/天(95% CI - 10.5, 15.8)。对于久坐行为,ONE组的久坐时间比PED组多34分钟/天(95% CI - 35,104),而UP组的久坐时间比PED组多53分钟/天(95% CI - 18,123)。结论:所有三组均表现出步数和MVPA的增加,以及久坐行为时间的减少,然而这些结果存在实质性的个体差异,表明活动追踪器和计步器在改善PA和久坐行为方面的相对有效性存在相当大的不确定性。有足够样本量的随机对照试验。试验注册:ACTRN12623000027617(回顾性注册日期:11/1/2023)。
本文章由计算机程序翻译,如有差异,请以英文原文为准。
求助全文
约1分钟内获得全文 求助全文
来源期刊
自引率
0.00%
发文量
0
×
引用
GB/T 7714-2015
复制
MLA
复制
APA
复制
导出至
BibTeX EndNote RefMan NoteFirst NoteExpress
×
提示
您的信息不完整,为了账户安全,请先补充。
现在去补充
×
提示
您因"违规操作"
具体请查看互助需知
我知道了
×
提示
确定
请完成安全验证×
copy
已复制链接
快去分享给好友吧!
我知道了
右上角分享
点击右上角分享
0
联系我们:info@booksci.cn Book学术提供免费学术资源搜索服务,方便国内外学者检索中英文文献。致力于提供最便捷和优质的服务体验。 Copyright © 2023 布克学术 All rights reserved.
京ICP备2023020795号-1
ghs 京公网安备 11010802042870号
Book学术文献互助
Book学术文献互助群
群 号:604180095
Book学术官方微信