In situ compatibilization of thermoplastic starch/polylactic acid blends using citric acid

IF 3.4 4区 工程技术 Q2 POLYMER SCIENCE
Edwin A. Murillo
{"title":"In situ compatibilization of thermoplastic starch/polylactic acid blends using citric acid","authors":"Edwin A. Murillo","doi":"10.1007/s13233-023-00127-8","DOIUrl":null,"url":null,"abstract":"<div><p>In this study, in situ compatibilized thermoplastic starch (TPS)/polylactic acid (PLA) blends were obtained using citric acid (CA) as promoter of compatibilization. The TPS (60 wt%)/PLA (40 wt%) blends were prepared using 1 wt% of <i>p</i>-toluenesulfonic acid (<i>p</i>-TSA) as catalyst. The proportions of CA were 0, 5, 10, and 15 wt%. The effect of the CA content on the structural, thermal, rheological, morphological, mechanical, and biodegradation properties of the blends was evaluated. Using infrared analysis (IR), a reduction of stretching vibration of OH bonds with increasing CA content was observed. The formation of an in situ compatibilizing was evidenced by IR and scanning electronic microscopy (SEM) analysis. The glass transition temperature (<i>T</i><sub>g</sub>) and the crystallinity of the TPS/PLA decreased with decreasing CA content. Rheological analysis showed a transition from elastic to viscous behavior in the TPS/PLA blends prepared with CA. The presence of CA improved the miscibility and water resistance of the TPS/PLA blends and it increased with the CA content. However, the biodegradability (18.72–25.9%) and the mechanical properties (tensile modulus: 254–423 MPa and tensile strength: 9.18–13.31 MPa) followed an opposite behavior. CA acted as crosslinking and plasticizing agent, and promoter of formation of a TPS–CA–PLA structure.</p><h3>Graphical abstract</h3>\n <figure><div><div><div><picture><img></picture></div></div></div></figure>\n </div>","PeriodicalId":688,"journal":{"name":"Macromolecular Research","volume":"31 2","pages":"157 - 169"},"PeriodicalIF":3.4000,"publicationDate":"2023-02-20","publicationTypes":"Journal Article","fieldsOfStudy":null,"isOpenAccess":false,"openAccessPdf":"","citationCount":"2","resultStr":null,"platform":"Semanticscholar","paperid":null,"PeriodicalName":"Macromolecular Research","FirstCategoryId":"5","ListUrlMain":"https://link.springer.com/article/10.1007/s13233-023-00127-8","RegionNum":4,"RegionCategory":"工程技术","ArticlePicture":[],"TitleCN":null,"AbstractTextCN":null,"PMCID":null,"EPubDate":"","PubModel":"","JCR":"Q2","JCRName":"POLYMER SCIENCE","Score":null,"Total":0}
引用次数: 2

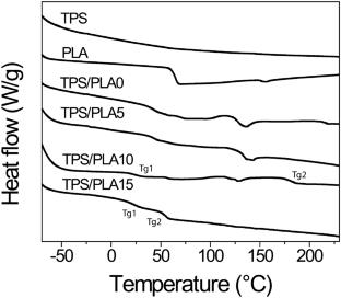
Abstract

In this study, in situ compatibilized thermoplastic starch (TPS)/polylactic acid (PLA) blends were obtained using citric acid (CA) as promoter of compatibilization. The TPS (60 wt%)/PLA (40 wt%) blends were prepared using 1 wt% of p-toluenesulfonic acid (p-TSA) as catalyst. The proportions of CA were 0, 5, 10, and 15 wt%. The effect of the CA content on the structural, thermal, rheological, morphological, mechanical, and biodegradation properties of the blends was evaluated. Using infrared analysis (IR), a reduction of stretching vibration of OH bonds with increasing CA content was observed. The formation of an in situ compatibilizing was evidenced by IR and scanning electronic microscopy (SEM) analysis. The glass transition temperature (Tg) and the crystallinity of the TPS/PLA decreased with decreasing CA content. Rheological analysis showed a transition from elastic to viscous behavior in the TPS/PLA blends prepared with CA. The presence of CA improved the miscibility and water resistance of the TPS/PLA blends and it increased with the CA content. However, the biodegradability (18.72–25.9%) and the mechanical properties (tensile modulus: 254–423 MPa and tensile strength: 9.18–13.31 MPa) followed an opposite behavior. CA acted as crosslinking and plasticizing agent, and promoter of formation of a TPS–CA–PLA structure.

Graphical abstract

Abstract Image

热塑性淀粉/聚乳酸共混物的柠檬酸原位增容
本研究以柠檬酸(CA)为增容助剂,制备了原位增容热塑性淀粉(TPS)/聚乳酸(PLA)共混物。以1 wt%的对甲苯磺酸(p-TSA)为催化剂,制备了TPS (60 wt%)/PLA (40 wt%)共混物。CA的比例分别为0、5、10和15 wt%。评价了CA含量对共混物的结构、热、流变、形态、力学和生物降解性能的影响。红外分析发现,随着CA含量的增加,羟基键的拉伸振动降低。红外光谱(IR)和扫描电镜(SEM)分析证实了原位增容的形成。随着CA含量的降低,TPS/PLA的玻璃化转变温度(Tg)和结晶度均降低。流变学分析表明,CA的加入使TPS/PLA共混体系从弹性行为向粘性行为转变。CA的存在改善了TPS/PLA共混体系的混相和耐水性,并随着CA含量的增加而增强。而生物降解性(18.72 ~ 25.9%)和力学性能(拉伸模量254 ~ 423 MPa、拉伸强度9.18 ~ 13.31 MPa)则相反。CA作为交联剂和塑化剂,促进了TPS-CA-PLA结构的形成。图形抽象
本文章由计算机程序翻译,如有差异,请以英文原文为准。
求助全文
约1分钟内获得全文 求助全文
来源期刊
Macromolecular Research
Macromolecular Research 工程技术-高分子科学
CiteScore
4.70
自引率
8.30%
发文量
100
审稿时长
1.3 months
期刊介绍: Original research on all aspects of polymer science, engineering and technology, including nanotechnology Presents original research articles on all aspects of polymer science, engineering and technology Coverage extends to such topics as nanotechnology, biotechnology and information technology The English-language journal of the Polymer Society of Korea Macromolecular Research is a scientific journal published monthly by the Polymer Society of Korea. Macromolecular Research publishes original researches on all aspects of polymer science, engineering, and technology as well as new emerging technologies using polymeric materials including nanotechnology, biotechnology, and information technology in forms of Articles, Communications, Notes, Reviews, and Feature articles.
×
引用
GB/T 7714-2015
复制
MLA
复制
APA
复制
导出至
BibTeX EndNote RefMan NoteFirst NoteExpress
×
提示
您的信息不完整,为了账户安全,请先补充。
现在去补充
×
提示
您因"违规操作"
具体请查看互助需知
我知道了
×
提示
确定
请完成安全验证×
copy
已复制链接
快去分享给好友吧!
我知道了
右上角分享
点击右上角分享
0
联系我们:info@booksci.cn Book学术提供免费学术资源搜索服务,方便国内外学者检索中英文文献。致力于提供最便捷和优质的服务体验。 Copyright © 2023 布克学术 All rights reserved.
京ICP备2023020795号-1
ghs 京公网安备 11010802042870号
Book学术文献互助
Book学术文献互助群
群 号:604180095
Book学术官方微信