Relationship between Social Capital and General Health among the Iranian University Students: A Cross-Sectional Study.

IF 0.7 Q3 Medicine
Portuguese Journal of Public Health Pub Date : 2023-01-30 eCollection Date: 2023-05-01 DOI:10.1159/000528396
Javad Yoosefi Lebni, Ahmad Ahmadi, Mohammad Ali Mohammadi Gharehghani, Ali Akbar Dehghan, Morteza Mansourian, Arash Ziapour, Seyed Fahim Irandoost
{"title":"Relationship between Social Capital and General Health among the Iranian University Students: A Cross-Sectional Study.","authors":"Javad Yoosefi Lebni, Ahmad Ahmadi, Mohammad Ali Mohammadi Gharehghani, Ali Akbar Dehghan, Morteza Mansourian, Arash Ziapour, Seyed Fahim Irandoost","doi":"10.1159/000528396","DOIUrl":null,"url":null,"abstract":"<p><p>The most basic axis of a society's economic and social growth is health, and social capital is a major factor in determining that development. The purpose of this research was to evaluate, among the student body of Iran University of Medical Sciences, the connection that exists between social capital and overall health. This study used a descriptive-analytical approach to cross-sectional research. Students attending the Iran University of Medical Sciences constituted the statistical population. The approach developed by Cochran was used to pick 367 students at random. The demographic information form, two versions of the Delaviz Social Capital Questionnaire (2006), and Goldberg and Hiller's General Health Questionnaire (1979), served as the data collection tools. Using Cronbach's alpha test, the reliability of the first two sets of questionnaires was determined to be 0.73 and 0.78, respectively. The data were analyzed using descriptive statistics, statistical tests, and regression after being loaded into SPSS version 22. It was shown that general health was significantly related to the factors of gender, location of living, and degree of education (<i>p</i> < 0.05). It was shown via the use of regression that there is a statistically significant association between social capital and the two dimensions of group involvement and relationships in networks. These two dimensions had the biggest influence on general health and explained 39% of its variations. The overall health of students was not significantly affected by factors such as age, educational level, or marital status (<i>p</i> > 0.05). It is feasible to improve students' overall health if social capital is increased, more students are encouraged to participate in group projects, and students' ties with one another inside and outside their networks are expanded.</p>","PeriodicalId":37244,"journal":{"name":"Portuguese Journal of Public Health","volume":" ","pages":"4-11"},"PeriodicalIF":0.7000,"publicationDate":"2023-01-30","publicationTypes":"Journal Article","fieldsOfStudy":null,"isOpenAccess":false,"openAccessPdf":"https://www.ncbi.nlm.nih.gov/pmc/articles/PMC11571422/pdf/","citationCount":"0","resultStr":null,"platform":"Semanticscholar","paperid":null,"PeriodicalName":"Portuguese Journal of Public Health","FirstCategoryId":"1085","ListUrlMain":"https://doi.org/10.1159/000528396","RegionNum":0,"RegionCategory":null,"ArticlePicture":[],"TitleCN":null,"AbstractTextCN":null,"PMCID":null,"EPubDate":"2023/5/1 0:00:00","PubModel":"eCollection","JCR":"Q3","JCRName":"Medicine","Score":null,"Total":0}
引用次数: 0

Abstract

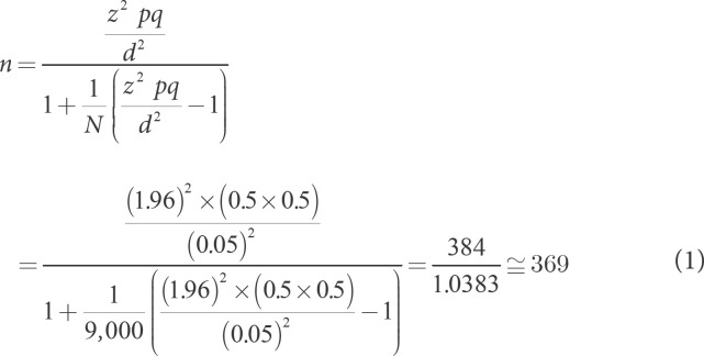
The most basic axis of a society's economic and social growth is health, and social capital is a major factor in determining that development. The purpose of this research was to evaluate, among the student body of Iran University of Medical Sciences, the connection that exists between social capital and overall health. This study used a descriptive-analytical approach to cross-sectional research. Students attending the Iran University of Medical Sciences constituted the statistical population. The approach developed by Cochran was used to pick 367 students at random. The demographic information form, two versions of the Delaviz Social Capital Questionnaire (2006), and Goldberg and Hiller's General Health Questionnaire (1979), served as the data collection tools. Using Cronbach's alpha test, the reliability of the first two sets of questionnaires was determined to be 0.73 and 0.78, respectively. The data were analyzed using descriptive statistics, statistical tests, and regression after being loaded into SPSS version 22. It was shown that general health was significantly related to the factors of gender, location of living, and degree of education (p < 0.05). It was shown via the use of regression that there is a statistically significant association between social capital and the two dimensions of group involvement and relationships in networks. These two dimensions had the biggest influence on general health and explained 39% of its variations. The overall health of students was not significantly affected by factors such as age, educational level, or marital status (p > 0.05). It is feasible to improve students' overall health if social capital is increased, more students are encouraged to participate in group projects, and students' ties with one another inside and outside their networks are expanded.

Abstract Image

伊朗大学生社会资本与总体健康关系的横断面研究
一个社会的经济和社会增长的最基本轴心是健康,而社会资本是决定这一发展的一个主要因素。本研究的目的是在伊朗医科大学的学生群体中评估社会资本与整体健康之间存在的联系。本研究采用描述性分析方法进行横断面研究。在伊朗医学大学就读的学生构成统计人口。科克伦开发的方法被用来随机挑选367名学生。人口统计信息表,即Delaviz社会资本问卷(2006)和Goldberg and Hiller一般健康问卷(1979)的两个版本,作为数据收集工具。采用Cronbach’s alpha检验,确定前两组问卷的信度分别为0.73和0.78。数据加载到SPSS version 22后,采用描述性统计、统计检验和回归分析。结果表明,一般健康状况与性别、居住地、文化程度等因素显著相关(p < 0.05)。通过回归分析表明,社会资本与群体参与和网络关系两个维度之间存在统计学上显著的关联。这两个维度对总体健康影响最大,解释了39%的健康变化。学生的整体健康状况不受年龄、文化程度、婚姻状况等因素的显著影响(p < 0.05)。增加社会资本,鼓励更多的学生参与小组项目,扩大学生在网络内外的联系,可以提高学生的整体健康水平。
本文章由计算机程序翻译,如有差异,请以英文原文为准。
求助全文
约1分钟内获得全文 求助全文
来源期刊
Portuguese Journal of Public Health
Portuguese Journal of Public Health Medicine-Health Policy
CiteScore
2.60
自引率
0.00%
发文量
20
审稿时长
55 weeks
×
引用
GB/T 7714-2015
复制
MLA
复制
APA
复制
导出至
BibTeX EndNote RefMan NoteFirst NoteExpress
×
提示
您的信息不完整,为了账户安全,请先补充。
现在去补充
×
提示
您因"违规操作"
具体请查看互助需知
我知道了
×
提示
确定
请完成安全验证×
copy
已复制链接
快去分享给好友吧!
我知道了
右上角分享
点击右上角分享
0
联系我们:info@booksci.cn Book学术提供免费学术资源搜索服务,方便国内外学者检索中英文文献。致力于提供最便捷和优质的服务体验。 Copyright © 2023 布克学术 All rights reserved.
京ICP备2023020795号-1
ghs 京公网安备 11010802042870号
Book学术文献互助
Book学术文献互助群
群 号:604180095
Book学术官方微信