Attachment patterns, self-compassion, and coping strategies in patients with chronic pain.

IF 3.1 Q2 NEUROSCIENCES
Pain Reports Pub Date : 2023-08-18 eCollection Date: 2023-09-01 DOI:10.1097/PR9.0000000000001087
Iliana-Nefeli Nasika, Catherine Wiart, Anne-Sophie Bonvarlet, Jessica Guillaume, Amélie Yavchitz, Susana Tereno
{"title":"Attachment patterns, self-compassion, and coping strategies in patients with chronic pain.","authors":"Iliana-Nefeli Nasika, Catherine Wiart, Anne-Sophie Bonvarlet, Jessica Guillaume, Amélie Yavchitz, Susana Tereno","doi":"10.1097/PR9.0000000000001087","DOIUrl":null,"url":null,"abstract":"<p><strong>Introduction: </strong>In the recent year's literature, attachment insecurity is described as a vulnerability factor among patients with chronic pain, associated with poor pain coping, anxiety, depression, catastrophizing, greater pain intensity, and disability. Self-compassion, on the other hand, is described as a protective factor, associated with lower levels of negative affect, catastrophizing, depression, and anxiety in patients with chronic pain.</p><p><strong>Methods: </strong>In this study, we aim to explore the association between attachment, self-compassion quality, and coping strategies, in patients with chronic pain. Thus, 134 eligible patients with chronic pain were recruited at the certified <i>Evaluation and Treatment Pain Center of the A. de Rothschild Foundation</i> in Paris. We used a sociodemographic questionnaire, the Relationship Scale Questionnaire (RSQ-RC), the Self-Compassion Scale, and the Brief COPE.</p><p><strong>Results: </strong>Results supported our principal hypothesis; securely attached participants reported a significantly higher global self-compassion score compared with insecurely attached ones. Secure attachment and higher self-compassion levels were positively correlated with functional coping strategies and negatively correlated with dysfunctional ones.</p><p><strong>Discussion: </strong>Attachment patterns may be the basis of someone's ability to be compassionate to himself and to cope adequately with a difficult situation, such as a chronic pain condition. An attachment-informed approach to pain management could offer a better understanding of the complexity of this clinical condition and potentially provide appropriate support for both patients and health professionals, aiming to improve the effectiveness of interventions.</p>","PeriodicalId":52189,"journal":{"name":"Pain Reports","volume":"8 1","pages":"e1087"},"PeriodicalIF":3.1000,"publicationDate":"2023-08-18","publicationTypes":"Journal Article","fieldsOfStudy":null,"isOpenAccess":false,"openAccessPdf":"https://www.ncbi.nlm.nih.gov/pmc/articles/PMC10789448/pdf/","citationCount":"0","resultStr":null,"platform":"Semanticscholar","paperid":null,"PeriodicalName":"Pain Reports","FirstCategoryId":"1085","ListUrlMain":"https://doi.org/10.1097/PR9.0000000000001087","RegionNum":0,"RegionCategory":null,"ArticlePicture":[],"TitleCN":null,"AbstractTextCN":null,"PMCID":null,"EPubDate":"2023/9/1 0:00:00","PubModel":"eCollection","JCR":"Q2","JCRName":"NEUROSCIENCES","Score":null,"Total":0}
引用次数: 0

Abstract

Introduction: In the recent year's literature, attachment insecurity is described as a vulnerability factor among patients with chronic pain, associated with poor pain coping, anxiety, depression, catastrophizing, greater pain intensity, and disability. Self-compassion, on the other hand, is described as a protective factor, associated with lower levels of negative affect, catastrophizing, depression, and anxiety in patients with chronic pain.

Methods: In this study, we aim to explore the association between attachment, self-compassion quality, and coping strategies, in patients with chronic pain. Thus, 134 eligible patients with chronic pain were recruited at the certified Evaluation and Treatment Pain Center of the A. de Rothschild Foundation in Paris. We used a sociodemographic questionnaire, the Relationship Scale Questionnaire (RSQ-RC), the Self-Compassion Scale, and the Brief COPE.

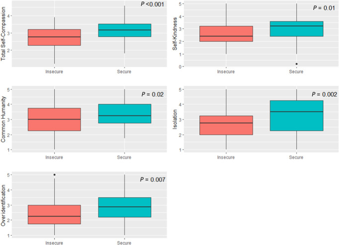
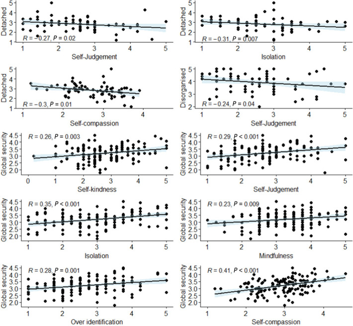
Results: Results supported our principal hypothesis; securely attached participants reported a significantly higher global self-compassion score compared with insecurely attached ones. Secure attachment and higher self-compassion levels were positively correlated with functional coping strategies and negatively correlated with dysfunctional ones.

Discussion: Attachment patterns may be the basis of someone's ability to be compassionate to himself and to cope adequately with a difficult situation, such as a chronic pain condition. An attachment-informed approach to pain management could offer a better understanding of the complexity of this clinical condition and potentially provide appropriate support for both patients and health professionals, aiming to improve the effectiveness of interventions.

Abstract Image

Abstract Image

慢性疼痛患者的依恋模式、自我同情和应对策略
补充数字内容可在文本中获得。安全依恋与较高的自我同情和功能性应对有关;慢性疼痛患者的不安全依恋、缺乏自我同情和功能失调之间存在负相关。摘要引言:近年来的文献将依恋不安全感描述为慢性疼痛患者的脆弱性因素,与疼痛应对能力差、焦虑、抑郁、灾难化、更大的疼痛强度和残疾相关。另一方面,自我同情被描述为一种保护因素,与慢性疼痛患者较低水平的负面影响、灾难化、抑郁和焦虑有关。方法:本研究旨在探讨慢性疼痛患者依恋、自我同情质量和应对策略之间的关系。因此,在巴黎A. de Rothschild基金会认证的评估和治疗疼痛中心招募了134名符合条件的慢性疼痛患者。我们使用了社会人口学问卷、关系量表问卷(RSQ-RC)、自我同情量表和简要COPE。结果:结果支持我们的主要假设;与不安全依恋的参与者相比,安全依恋的参与者报告的整体自我同情得分明显更高。安全依恋和高自我同情水平与功能性应对策略正相关,与功能失调应对策略负相关。讨论:依恋模式可能是一个人对自己有同情心的能力的基础,并且能够充分应对困难的情况,比如慢性疼痛状况。对疼痛管理的依恋知情方法可以更好地理解这种临床状况的复杂性,并可能为患者和卫生专业人员提供适当的支持,旨在提高干预措施的有效性。
本文章由计算机程序翻译,如有差异,请以英文原文为准。
求助全文
约1分钟内获得全文 求助全文
来源期刊
Pain Reports
Pain Reports Medicine-Anesthesiology and Pain Medicine
CiteScore
7.50
自引率
2.10%
发文量
93
审稿时长
8 weeks
×
引用
GB/T 7714-2015
复制
MLA
复制
APA
复制
导出至
BibTeX EndNote RefMan NoteFirst NoteExpress
×
提示
您的信息不完整,为了账户安全,请先补充。
现在去补充
×
提示
您因"违规操作"
具体请查看互助需知
我知道了
×
提示
确定
请完成安全验证×
copy
已复制链接
快去分享给好友吧!
我知道了
右上角分享
点击右上角分享
0
联系我们:info@booksci.cn Book学术提供免费学术资源搜索服务,方便国内外学者检索中英文文献。致力于提供最便捷和优质的服务体验。 Copyright © 2023 布克学术 All rights reserved.
京ICP备2023020795号-1
ghs 京公网安备 11010802042870号
Book学术文献互助
Book学术文献互助群
群 号:604180095
Book学术官方微信