Epidemiology of Injuries during Judo Tournaments.

IF 1.9 Q3 SPORT SCIENCES
Translational sports medicine Pub Date : 2023-02-18 eCollection Date: 2023-01-01 DOI:10.1155/2023/2713614
Jeroen Mooren, Amber L von Gerhardt, Irene T J Hendriks, Johannes L Tol, Sander Koëter
{"title":"Epidemiology of Injuries during Judo Tournaments.","authors":"Jeroen Mooren, Amber L von Gerhardt, Irene T J Hendriks, Johannes L Tol, Sander Koëter","doi":"10.1155/2023/2713614","DOIUrl":null,"url":null,"abstract":"<p><strong>Objective: </strong>To determine the injury incidence proportion, distribution of injuries by anatomical location; injury type; injury severity, time loss; mechanism and situations of injuries; and the relative risk of injuries by gender, age, and weight categories during judo tournaments. <i>Study Design</i>. It is a systematic review. <i>Data Sources</i>. A systematic review of the literature was conducted via searches in PubMed, EMBASE, Web of Science, CINAHL, SPORTDiscus, Google Scholar, and PEDro. <i>Eligibility Criteria</i>. All original studies on the incidence of injuries during judo tournaments were included.</p><p><strong>Results: </strong>Twenty-five studies were included out of the 1979 studies. Using the modified AXIS tool score for quality assessment, seven were rated as having good quality, nine were rated as having fair quality, and four were rated as having poor quality. The injury incidence proportion during tournaments ranged from 2.5% to 72.5% for injuries requiring medical evaluation and 1.1% to 4.1% for injuries causing time loss (i.e., inability to continue game participation). The most commonly reported injury location was the head, followed by the hand, knee, elbow, and shoulder. The most frequent types of injury were sprains, followed by contusions, skin lacerations, strains, and fractures. In judo tournaments, injuries were more often sustained during standing fights (tachi-waza) than in ground fights (ne-waza).</p><p><strong>Conclusion: </strong>The tournament injury incidence proportion ranged from 2.5% to 72.5% for injuries requiring medical attention and 1.1% to 4.1% for injuries causing time loss. The head was the most frequently injured body part, and sprain was the most frequent injury type. However, current reports on injuries during judo tournaments are heterogeneous and inconsistent, limiting our understanding of in-match injury risks. Future studies should utilize the guidelines of the International Olympic Committee consensus meeting statement on the methodological approach to injury reporting. We recommend a judo-specific extension of this statement to fit the unique features of judo sports practice.</p>","PeriodicalId":75247,"journal":{"name":"Translational sports medicine","volume":"1 1","pages":"2713614"},"PeriodicalIF":1.9000,"publicationDate":"2023-02-18","publicationTypes":"Journal Article","fieldsOfStudy":null,"isOpenAccess":false,"openAccessPdf":"https://www.ncbi.nlm.nih.gov/pmc/articles/PMC11022761/pdf/","citationCount":"0","resultStr":null,"platform":"Semanticscholar","paperid":null,"PeriodicalName":"Translational sports medicine","FirstCategoryId":"1085","ListUrlMain":"https://doi.org/10.1155/2023/2713614","RegionNum":0,"RegionCategory":null,"ArticlePicture":[],"TitleCN":null,"AbstractTextCN":null,"PMCID":null,"EPubDate":"2023/1/1 0:00:00","PubModel":"eCollection","JCR":"Q3","JCRName":"SPORT SCIENCES","Score":null,"Total":0}
引用次数: 0

Abstract

Objective: To determine the injury incidence proportion, distribution of injuries by anatomical location; injury type; injury severity, time loss; mechanism and situations of injuries; and the relative risk of injuries by gender, age, and weight categories during judo tournaments. Study Design. It is a systematic review. Data Sources. A systematic review of the literature was conducted via searches in PubMed, EMBASE, Web of Science, CINAHL, SPORTDiscus, Google Scholar, and PEDro. Eligibility Criteria. All original studies on the incidence of injuries during judo tournaments were included.

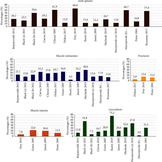
Results: Twenty-five studies were included out of the 1979 studies. Using the modified AXIS tool score for quality assessment, seven were rated as having good quality, nine were rated as having fair quality, and four were rated as having poor quality. The injury incidence proportion during tournaments ranged from 2.5% to 72.5% for injuries requiring medical evaluation and 1.1% to 4.1% for injuries causing time loss (i.e., inability to continue game participation). The most commonly reported injury location was the head, followed by the hand, knee, elbow, and shoulder. The most frequent types of injury were sprains, followed by contusions, skin lacerations, strains, and fractures. In judo tournaments, injuries were more often sustained during standing fights (tachi-waza) than in ground fights (ne-waza).

Conclusion: The tournament injury incidence proportion ranged from 2.5% to 72.5% for injuries requiring medical attention and 1.1% to 4.1% for injuries causing time loss. The head was the most frequently injured body part, and sprain was the most frequent injury type. However, current reports on injuries during judo tournaments are heterogeneous and inconsistent, limiting our understanding of in-match injury risks. Future studies should utilize the guidelines of the International Olympic Committee consensus meeting statement on the methodological approach to injury reporting. We recommend a judo-specific extension of this statement to fit the unique features of judo sports practice.

Abstract Image

Abstract Image

Abstract Image

柔道比赛中受伤的流行病学
目标。确定损伤发生比例,按解剖位置确定损伤分布;损伤类型;伤害严重,时间损失;受伤的机制和情况;以及柔道比赛中不同性别、年龄和体重类别受伤的相对风险。研究设计。这是一个系统的回顾。数据源。通过检索PubMed、EMBASE、Web of Science、CINAHL、SPORTDiscus、谷歌Scholar和PEDro对文献进行系统综述。合格标准。所有关于柔道比赛中受伤发生率的原始研究都被纳入其中。结果。1979年的研究中纳入了25项研究。使用改进的AXIS工具评分进行质量评估,7个被评为具有良好质量,9个被评为具有一般质量,4个被评为具有差质量。在比赛期间,需要医疗评估的伤病发生率为2.5%至72.5%,造成时间损失(即无法继续参加比赛)的伤病发生率为1.1%至4.1%。最常见的损伤部位是头部,其次是手、膝盖、肘部和肩部。最常见的损伤类型是扭伤,其次是挫伤、皮肤撕裂、拉伤和骨折。在柔道比赛中,在站立格斗(tachi-waza)中受伤比在地面格斗(ne-waza)中更常见。结论。在比赛中,需要医疗护理的伤害发生率为2.5%至72.5%,造成时间损失的伤害发生率为1.1%至4.1%。头部是最常见的损伤部位,扭伤是最常见的损伤类型。然而,目前关于柔道比赛中受伤的报道是不同的和不一致的,限制了我们对比赛中受伤风险的理解。未来的研究应利用国际奥委会共识会议声明关于损伤报告方法的指导方针。我们建议对这一说法进行柔道特定的扩展,以适应柔道运动实践的独特特点。
本文章由计算机程序翻译,如有差异,请以英文原文为准。
求助全文
约1分钟内获得全文 求助全文
来源期刊
CiteScore
3.00
自引率
0.00%
发文量
0
×
引用
GB/T 7714-2015
复制
MLA
复制
APA
复制
导出至
BibTeX EndNote RefMan NoteFirst NoteExpress
×
提示
您的信息不完整,为了账户安全,请先补充。
现在去补充
×
提示
您因"违规操作"
具体请查看互助需知
我知道了
×
提示
确定
请完成安全验证×
copy
已复制链接
快去分享给好友吧!
我知道了
右上角分享
点击右上角分享
0
联系我们:info@booksci.cn Book学术提供免费学术资源搜索服务,方便国内外学者检索中英文文献。致力于提供最便捷和优质的服务体验。 Copyright © 2023 布克学术 All rights reserved.
京ICP备2023020795号-1
ghs 京公网安备 11010802042870号
Book学术文献互助
Book学术文献互助群
群 号:604180095
Book学术官方微信