Comparison of 6-month outcomes of sepsis versus non-sepsis critically ill patients receiving mechanical ventilation.

Carol L Hodgson, Alisa M Higgins, Michael Bailey, Jonathon Barrett, Rinaldo Bellomo, D James Cooper, Belinda J Gabbe, Theodore Iwashyna, Natalie Linke, Paul S Myles, Michelle Paton, Steve Philpot, Mark Shulman, Meredith Young, Ary Serpa Neto
{"title":"Comparison of 6-month outcomes of sepsis versus non-sepsis critically ill patients receiving mechanical ventilation.","authors":"Carol L Hodgson, Alisa M Higgins, Michael Bailey, Jonathon Barrett, Rinaldo Bellomo, D James Cooper, Belinda J Gabbe, Theodore Iwashyna, Natalie Linke, Paul S Myles, Michelle Paton, Steve Philpot, Mark Shulman, Meredith Young, Ary Serpa Neto","doi":"10.1186/s13054-022-04041-w","DOIUrl":null,"url":null,"abstract":"<p><strong>Background: </strong>Data on long-term outcomes after sepsis-associated critical illness have mostly come from small cohort studies, with no information about the incidence of new disability. We investigated whether sepsis-associated critical illness was independently associated with new disability at 6 months after ICU admission compared with other types of critical illness.</p><p><strong>Methods: </strong>We conducted a secondary analysis of a multicenter, prospective cohort study in six metropolitan intensive care units in Australia. Adult patients were eligible if they had been admitted to the ICU and received more than 24 h of mechanical ventilation. There was no intervention.</p><p><strong>Results: </strong>The primary outcome was new disability measured with the WHO Disability Assessment Schedule 2.0 (WHODAS) 12 level score compared between baseline and 6 months. Between enrollment and follow-up at 6 months, 222/888 (25%) patients died, 100 (35.5%) with sepsis and 122 (20.1%) without sepsis (P < 0.001). Among survivors, there was no difference for the incidence of new disability at 6 months with or without sepsis, 42/106 (39.6%) and 106/300 (35.3%) (RD, 0.00 (- 10.29 to 10.40), P = 0.995), respectively. In addition, there was no difference in the severity of disability, health-related quality of life, anxiety and depression, post-traumatic stress, return to work, financial distress or cognitive function.</p><p><strong>Conclusions: </strong>Compared to mechanically ventilated patients of similar acuity and length of stay without sepsis, patients with sepsis admitted to ICU have an increased risk of death, but survivors have a similar risk of new disability at 6 months. Trial registration NCT03226912, registered July 24, 2017.</p>","PeriodicalId":92888,"journal":{"name":"Critical care (Houten, Netherlands)","volume":" ","pages":"174"},"PeriodicalIF":0.0000,"publicationDate":"2022-06-13","publicationTypes":"Journal Article","fieldsOfStudy":null,"isOpenAccess":false,"openAccessPdf":"https://www.ncbi.nlm.nih.gov/pmc/articles/PMC9189265/pdf/","citationCount":"0","resultStr":null,"platform":"Semanticscholar","paperid":null,"PeriodicalName":"Critical care (Houten, Netherlands)","FirstCategoryId":"1085","ListUrlMain":"https://doi.org/10.1186/s13054-022-04041-w","RegionNum":0,"RegionCategory":null,"ArticlePicture":[],"TitleCN":null,"AbstractTextCN":null,"PMCID":null,"EPubDate":"","PubModel":"","JCR":"","JCRName":"","Score":null,"Total":0}
引用次数: 0

Abstract

Background: Data on long-term outcomes after sepsis-associated critical illness have mostly come from small cohort studies, with no information about the incidence of new disability. We investigated whether sepsis-associated critical illness was independently associated with new disability at 6 months after ICU admission compared with other types of critical illness.

Methods: We conducted a secondary analysis of a multicenter, prospective cohort study in six metropolitan intensive care units in Australia. Adult patients were eligible if they had been admitted to the ICU and received more than 24 h of mechanical ventilation. There was no intervention.

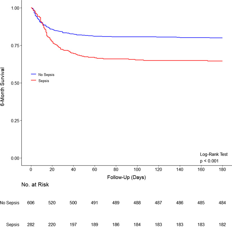
Results: The primary outcome was new disability measured with the WHO Disability Assessment Schedule 2.0 (WHODAS) 12 level score compared between baseline and 6 months. Between enrollment and follow-up at 6 months, 222/888 (25%) patients died, 100 (35.5%) with sepsis and 122 (20.1%) without sepsis (P < 0.001). Among survivors, there was no difference for the incidence of new disability at 6 months with or without sepsis, 42/106 (39.6%) and 106/300 (35.3%) (RD, 0.00 (- 10.29 to 10.40), P = 0.995), respectively. In addition, there was no difference in the severity of disability, health-related quality of life, anxiety and depression, post-traumatic stress, return to work, financial distress or cognitive function.

Conclusions: Compared to mechanically ventilated patients of similar acuity and length of stay without sepsis, patients with sepsis admitted to ICU have an increased risk of death, but survivors have a similar risk of new disability at 6 months. Trial registration NCT03226912, registered July 24, 2017.

Abstract Image

Abstract Image

Abstract Image

脓毒症与非脓毒症危重症患者接受机械通气6个月预后的比较
背景:有关脓毒症相关危重病后长期预后的数据大多来自小型队列研究,没有关于新残疾发生率的信息。我们研究了与其他类型的危重症相比,脓毒症相关危重症是否与入院后 6 个月的新增残疾独立相关:我们对澳大利亚六个大都市重症监护病房的一项多中心前瞻性队列研究进行了二次分析。只要是入住重症监护病房并接受超过 24 小时机械通气的成人患者均符合条件。研究未采取任何干预措施:主要结果是通过比较基线和 6 个月期间的世界卫生组织残疾评估表 2.0(WHODAS)12 级评分来衡量新的残疾情况。从入院到随访 6 个月期间,222/888(25%)名患者死亡,其中 100(35.5%)名患有脓毒症,122(20.1%)名未患脓毒症(P 结论:从入院到随访 6 个月期间,222/888(25%)名患者死亡:与急性期和住院时间相似的无脓毒症机械通气患者相比,入住重症监护病房的脓毒症患者死亡风险增加,但存活者在 6 个月后出现新残疾的风险相似。试验注册号NCT03226912,注册时间2017年7月24日。
本文章由计算机程序翻译,如有差异,请以英文原文为准。
求助全文
约1分钟内获得全文 求助全文
来源期刊
自引率
0.00%
发文量
0
×
引用
GB/T 7714-2015
复制
MLA
复制
APA
复制
导出至
BibTeX EndNote RefMan NoteFirst NoteExpress
×
提示
您的信息不完整,为了账户安全,请先补充。
现在去补充
×
提示
您因"违规操作"
具体请查看互助需知
我知道了
×
提示
确定
请完成安全验证×
copy
已复制链接
快去分享给好友吧!
我知道了
右上角分享
点击右上角分享
0
联系我们:info@booksci.cn Book学术提供免费学术资源搜索服务,方便国内外学者检索中英文文献。致力于提供最便捷和优质的服务体验。 Copyright © 2023 布克学术 All rights reserved.
京ICP备2023020795号-1
ghs 京公网安备 11010802042870号
Book学术文献互助
Book学术文献互助群
群 号:604180095
Book学术官方微信